Chapter 1: Limits
Section 1.6: Continuity
Example 1.6.5
Where is the function Fx=tan(4−x3/4+4⁢x2−2⁢x+3x2+1) continuous?
Solution
Solution Overview
Because of the term x3/4, the interval −∞,0 is excluded from the domain of F.
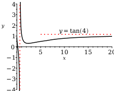
The graph of F in Figure 1.6.5(a) shows the vertical asymptote whose equation is x=x^≐0.6400732558 and the horizontal asymptote y=tan4≐1.157821282.
Thus, F is continuous on −∞,x^⋃x^,∞.
restart; G := (abs(4-x^(3/4)) + 4*x^2-2*x+3)/(x^2+1): X:=fsolve(G=3*Pi/2,x): F := tan(G): p1:=plot(F,x=0..20,view=[0..20,-4..4],discont=[usefdiscont=true],color=black): p2:=plot([X,t,t=-4..4],color=red,linestyle=dot): p3:=plot(tan(4),x=5..20,color=red,linestyle=dot): p4:=plots:-textplot([12,1.5,typeset(y=tan(4))],font=[Times,12]): plots:-display(p||(1..4),labels=[x,y]);
Figure 1.6.5(a) Graph of Fx for x≥0
Detailed Solution
Recognize Fx as the composition Fx=tangx, where gx=4−x3/4+4⁢x2−2⁢x+3x2+1
Control-drag (or type) gx=… Context Panel: Assign Function
gx=4−x3/4+4⁢x2−2⁢x+3x2+1→assign as functiong
Find the horizontal asymptote: y=limx→∞Fx
Expression palette: Limit operator Context Panel: Evaluate and Display Inline
Context Panel: Approximate≻10
limx→∞tangx = tan⁡4→at 10 digits1.157821282
Find the vertical asymptote
Figure 1.6.5(b) is a graph of gx along with the lines y=k π/2,k=1,3,5. The vertical asymptotes for tanx occur at the odd half-multiples of π, so Figure 1.6.5(b) is drawn to see where gx, the argument of tangx, assumes one of these values. The only one is 3 π/2.
It is also useful to know that g0 = 7, and that the minimum of gx is approximately 3.45, found by applying the Optimization≻Minimize option from the Context Panel:
gx = −4+x3/4+4⁢x2−2⁢x+3x2+1→minimize3.44835673863100434,x=2.36115843528260
G:=(abs(4-x^(3/4)) + 4*x^2-2*x+3)/(x^2+1): p1:=plot([G,Pi/2,3*Pi/2,5*Pi/2],x=0..20,color=[black,red,red,red],view=[0..20,0..8]): p2:=plots:-textplot({[10,2,typeset(y=Pi/2)],[10,5.2,typeset(y=3*Pi/2)],[10,7.3,typeset(y=5*Pi/2)]}): plots:-display(p1,p2);
Figure 1.6.5(b) Graph of gx and y=k π/2,k=1,2,3
Write the equation gx=3 π/2 Context Panel: Solve≻Numerically Solve
gx=3 π/2→solve0.6400732558
The solution of the equation gx=3 π/2 is x^≐0.6400732558, so the location of the vertical asymptote has been determined. The details shown in Figure 1.7.5 have now been confirmed, as has been the conclusion that F is continuous on −∞,x^⋃x^,∞.
<< Previous Example Section 1.6 Next Example >>
© Maplesoft, a division of Waterloo Maple Inc., 2025. All rights reserved. This product is protected by copyright and distributed under licenses restricting its use, copying, distribution, and decompilation.
For more information on Maplesoft products and services, visit www.maplesoft.com
Download Help Document