Chapter 9: Vector Calculus
Section 9.7: Conservative and Solenoidal Fields
Example 9.7.11
Show that F=x z i+x2−y z j+y2 k is solenoidal but not conservative, and find a vector potential both with Maple's VectorPotential command and by Recipe 2 in Table 9.7.4. If these differ, show that the difference is a gradient and find a scalar potential for this gradient.
Solution
Mathematical Solution
To show F is solenoidal, show that its divergence is zero. Hence, make the following calculation.
∇·F
=∂xx z+∂yx2−y z+∂zy2
=z−z+0
=0
To show F is not conservative, show that its curl is not the zero vector. Hence, make the following calculation.
∇×F=ijk∂x∂y∂zx zx2−y zy2 = 3 yx2 x≠0
Maple's VectorPotential command gives the vector
A=x2⁢z−12⁢y⁢z2−13⁢y3−12⁢x⁢z20
as a vector potential.
Recipe 2 in Table 9.7.4 gives
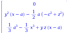
B=0∫axy2 dt−∫cza⁢t dt−∫axt2−y⁢z dt = 0y2⁢x−a−12⁢a⁢−c2+z213⁢a3−13⁢x3+y⁢z⁢x−a
The curl of the difference C=A−B=x2⁢z−12⁢y⁢z2−13⁢y3−12⁢x⁢z2−y2⁢x−a+12⁢a⁢−c2+z2−13⁢a3+13⁢x3−y⁢z⁢x−a
is
∇×C=−z⁢x−a−a⁢z+x⁢z00=000
so that the difference C is a gradient. A scalar potential for this gradient is
ux,y,z=13⁢x3⁢z−12⁢y⁢z2⁢x−13⁢y3⁢x+13⁢y3⁢a−12⁢a⁢c2⁢y+12⁢a⁢z2⁢y−13⁢a3⁢z
Indeed, the gradient of u is C, as can be verified by the appropriate, but tedious, differentiations.
Maple Solution - Interactive
Table 9.7.11(a) shows that F is solenoidal because its divergence vanishes (∇·F=0) and that F is not conservative because its curl does not vanish (∇×F≠0). In addition, Table 9.7.11(a) provides Maple's vector potential for F.
Initialize
Tools≻Load Package: Student Vector Calculus
Loading Student:-VectorCalculus
Tools≻Tasks≻Browse: Calculus - Vector≻ Vector Algebra and Settings≻ Display Format for Vectors
Press the Access Settings button and select "Display as Column Vector"
Display Format for Vectors
Define the vector field F
Enter the components of F in a free vector. Context Panel: Evaluate and Display Inline
Context Panel: Student Vector Calculus≻Conversions≻To Vector Field
Context Panel: Assign to a Name≻F
x z,x2−y z,y2 = →to Vector Field →assign to a nameF
Show ∇·F=0 and ∇×F≠0
Common Symbols palette: Del and dot-product or Del and cross-product operators Context Panel: Evaluate and Display Inline
∇·F = 0
∇×F =
Obtain Maple's vector potential for F
Write the name F. Context Panel: Evaluate and Display Inline
Context Panel: Student Vector Calculus≻Vector Potential
Context Panel: Assign to a Name≻A
F = →vector potential →assign to a nameA
Table 9.7.11(a) F is solenoidal but not conservative, and A is Maple's vector potential for F
Table 9.7.11(b) applies Recipe 2 in Table 9.7.4 to obtain a vector potential for F. This result will differ from A, and the difference is shown to be a gradient vector.
Define the components of F as the functions f,g,h
Context Panel: Assign Function
fx,y,z=F1→assign as functionf
gx,y,z=F2→assign as functiong
hx,y,z=F3→assign as functionh
Apply Recipe 2, Table 9.7.4
Calculus palette: Definite-integral template Press the Enter key.
Context Panel: Assign to a Name≻B
0,∫axht,y,z ⅆt−∫czfa,y,t ⅆt,−∫axgt,y,z ⅆt
→to Vector Field
→assign to a name
B
Show ∇×A−B=0 so that C=A−B is a gradient vector
Common Symbols palette: Del and cross-product operators Context Panel: Evaluate and Display Inline
Context Panel: Simplify≻Simplify
∇×A−B = = simplify
Table 9.7.11(b) Recipe 2 in Table 9.7.4 and a vector potential for F
A scalar potential u for the difference C=A−B is found in Table 9.7.11(c) where it is also verified that ∇u=C.
Obtain u, a scalar potential for the difference A−B
Write the difference A−B and press the Enter key.
Context Panel: Student Vector Calculus≻Scalar Potential
Context Panel: Assign to a Name≻u
A−B
→scalar potential
13⁢x3⁢z−12⁢y⁢z2⁢x−13⁢y3⁢x+13⁢y3⁢a−12⁢a⁢c2⁢y+12⁢a⁢z2⁢y−13⁢a3⁢z
u
Verify that u is a scalar potential for C=A−B by showing ∇u=C
Calculus palette: Partial-derivative operator Context Panel: Evaluate and Display Inline
∂∂ x u,∂∂ y u,∂∂ z u =
Table 9.7.11(c) Scalar potential u for C=A−B and verification that ∇u=C
Maple Solution - Coded
Table 9.7.11(d) shows that F is solenoidal because its divergence vanishes (∇·F=0) and that F is not conservative because its curl does not vanish (∇×F≠0). In addition, Table 9.7.11(d) provides Maple's vector potential for F and applies Recipe 2 in Table 9.7.4, obtaining a different vector potential. The difference between the two vector potentials is shown to be a gradient vector.
Install the Student VectorCalculus package.
withStudent:-VectorCalculus:
Set display of vectors via BasisFormat.
BasisFormatfalse:
Define F via the VectorField command.
F≔VectorFieldx z,x2−y z,y2:
Apply the Divergence command.
DivergenceF = 0
Apply the Curl command.
CurlF =
Apply the VectorPotential command.
A≔VectorPotentialF
Implement Recipe 2 in Table 9.7.4
Use the unapply command to define the components of F as the functions f,g,h
f≔unapplyF1,x,y,z:
g≔unapplyF2,x,y,z:
h≔unapplyF3,x,y,z:
Use the VectorField and int commands to implement Recipe 2 in Table 9.7.4
B≔VectorField0,intht,y,z,t=a..x−intfa,y,t,t=c..z,−intgt,y,z,t=a..x
Apply the simplify command to the result produced by the Curl command.
simplifyCurlA−B =
Table 9.7.11(d) F is solenoidal but not conservative; a vector potential for F is unique up to an additive gradient
A scalar potential u for the difference C=A−B is found in Table 9.7.11(e) where it is also verified that ∇u=C.
Obtain a scalar potential for A−B by applying the ScalarPotential command.
u≔ScalarPotentialA−B
Use the Gradient command to obtain ∇u and compare to A−B Use the map command to apply the expand command to each component of A−B
Gradientu,x,y,z,mapexpand,A−B
Table 9.7.11(e) Scalar potential u for A−B and ∇u=A−B
<< Previous Example Section 9.7 Next Example >>
© Maplesoft, a division of Waterloo Maple Inc., 2025. All rights reserved. This product is protected by copyright and distributed under licenses restricting its use, copying, distribution, and decompilation.
For more information on Maplesoft products and services, visit www.maplesoft.com
Download Help Document