Chapter 9: Vector Calculus
Section 9.4: Differential Identities
Example 9.4.10
For a sufficiently well-behaved scalar fx,y,z and vector field F=ux,y,z i+ux,y,z j+wx,y,z k, verify Identity 7 in Table 9.4.1.
Solution
Mathematical Solution
Identity 7: ∇×f F=f ∇×F+∇f×F
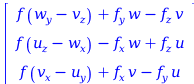
Its left side is
∇×f F=ijk∂x∂y∂zf uf vf w = ∂y(f w)−∂z(f v)∂z(f u)−∂x(f w)∂x(f v)−∂y(f u) = f wy+w fy−f vz−v fzf uz+u fz−f wx−w fxf vx+v fx−f uy−u fy
and its right side is
f ∇×F+∇f×F
=f wy−vzuz−wxvx−uy+|ijkfxfyfzuvw|
=f wy−vzuz−wxvx−uy+w fy−v fzu fz−w fxv fx−u fy
=f wy−f vz+w fy−v fzf uz−f wx+u fz−w fxf vx−f uy+v fx−u fy
=f wy+w fy−f vz−v fzf uz+u fz−f wx−w fxf vx+v fx−f uy−u fy
The left and right sides are identical.
Maple Solution
Initialize
Tools≻Load Package: Student Vector Calculus
Loading Student:-VectorCalculus
Tools≻Tasks≻Browse: Calculus - Vector≻ Vector Algebra and Settings≻ Display Format for Vectors
Press the Access Settings button and select "Display as Column Vector"
Display Format for Vectors
Additional notational devices
The Suppress command in the Typesetting package allows suppression of arguments on input, as well as on output.
The declare command in the PDEtools package suppresses arguments on output, and sets partial derivatives as subscripts. Because the Suppress command acts first, the arguments can be suppressed in the ensuing declare command.
Typesetting:-Suppressfx,y,z,ux,y,z,vx,y,z,wx,y,z
PDEtools:-declaref,u,v,w,quiet
Define the vector field F
Write the free vector whose components are those of F. Context Panel: Evaluate and Display Inline
Context Panel: Student Vector Calculus≻Conversions≻To Vector Field
Context Panel: Assign to a Name≻F
u,v,w = →to Vector Field →assign to a nameF
Implement Identity 7: ∇×f F=f ∇×F+ ∇f×F
Common Symbols palette: Del and cross-product operators Press the Enter key.
Context Panel: Map Command Onto≻expand
∇×f F
f ∇×F+∇f×F
→
Alternative demonstration of equality
Write the difference of the left-and right-hand sides. Context Panel: Evaluate and Display Inline
Context Panel: Simplify≻Simplify
∇×f F−f ∇×F+∇f×F = = simplify
<< Previous Example Section 9.4 Next Example >>
© Maplesoft, a division of Waterloo Maple Inc., 2025. All rights reserved. This product is protected by copyright and distributed under licenses restricting its use, copying, distribution, and decompilation.
For more information on Maplesoft products and services, visit www.maplesoft.com
Download Help Document