Do not display this message again
Close window
Differential Equation Solver - Maple Application Center
Contact Maplesoft
Request Quote
Products
Maple
Powerful math software that is easy to use
• Maple for Academics
• Maple for Students
• Maple Learn
• Maple Calculator App
• Maple for Industry and Government
• Maple for Individuals
Maple Add-Ons
• E-Books & Study Guides for Students
• Maple Toolboxes
• MapleNet
• Free Maple Player
Math Success Platform
Improving Retention Rates
Maple Flow
Engineering calculations & documentation
• Maple Flow
• Maple Flow Migration Assistant
MapleSim
Advanced System Level Modeling
• MapleSim
• MapleSim for Web Converting Systems
• MapleSim for Digital Twins
• MapleSim for Education
• Add-on Libraries and Connectors
• MapleSim Insight
Consulting Services
• Engineering Services
• Training
• Turnkey Solutions
Maple T.A. and Möbius
Looking for Maple T.A. or Möbius?
DigitalEd, a Maplesoft technology partner, now offers these products. Learn more.
Solutions
Education
• Mathematics Education
• Engineering Education
• High Schools & Two-Year Colleges
• Students
• Remote Learning Resources
Industries
Automotive and Aerospace
• Electric & Hybrid-Electric Vehicles
• Powertrain
• Vehicle Dynamics
• Heavy Mobile Machinery
• Aircraft Systems
• Space Systems
Robotics
• Robotics Research
• Motion Control/Mechatronics
Machine Design & Industrial Automation
• Machine Design
• Manufacturing
• Mining & Oil Production Equipment
• Web Handling
Other
• Power Industries
• Finance
• Medical Devices
• Life Sciences
Application Areas
• Power Systems Engineering
• Electrical Engineering Calculations
• Mechanical Engineering Calculations
• System Simulation & Analysis
• Virtual Commissioning
• Battery Modeling and Design
• Heat Transfer Modeling
• Dynamic Analysis of Mechanisms
• Calculation Management
• Model development for HIL
• Vibration Analysis & Attenuation
Purchase
Product Pricing
• Maple
• Maple Flow
• MapleSim
• Add-Ons and Connectors
• Request a Quote
Purchasing
• Purchase & Download Immediately
• Upgrade to the Latest Version
• Contact Sales
Institutional Student Licensing
• Virtualization
• Student Licensing & Distribution Options
Maplesoft Elite Maintenance (EMP)
• EMP Overview
• EMP FAQ
Support & Resources
Support
• Tech Support & Customer Service
• Frequently Asked Questions
• Product Documentation
• Download Product Updates
Product Training
• Student Help Center
• Online Product Training
• On-Site Training
Online Product Help
• Maple Online Help
• MapleSim Online Help
Webinars & Events
• Live Webinars
• Recorded Webinars
• Upcoming Events
Publications
• Technical Whitepapers
• E-Mail Newsletters
• Maple Books
• Math Matters
Content Hubs
• Teacher Resource Center
• Student Help Center
• Remote Learning Resources
Examples & Applications
• Maple Application Center
• MapleSim Model Gallery
• User Case Studies
• Exploring Engineering Fundamentals
• Teaching Concepts with Maple
Community
• MaplePrimes
• MapleCloud
• Maple Conference
Company
About Maplesoft
• Company Overview
• Management
• Customers
• Partnerships and OEM Opportunities
Media Center
• Media Releases
• User Case Studies
• Media Coverage
User Community
• MaplePrimes
• Maple Ambassador Program
• Maple Conference
Contact
• Global Contact Details
• Careers
Home
Products
Maple
Maple Add-Ons
Maple Learn
Maple Calculator App
Maple Flow
MapleSim
MapleSim Add-Ons
Consulting Services
Online Education Products
Solutions
Education
Industries
Application Areas
Purchase
Product Pricing
Purchasing
Institutional Student Licensing
Maplesoft Elite Maintenance (EMP)
Support & Resources
Support
Product Training
Online Product Help
Webinars & Events
Publications
Content Hubs
Examples & Applications
Community
Company
About Maplesoft
Media Center
User Community
Contact
Toggle navigation
Sign in
Register
Submit your work
Application Center
Applications
Differential Equation Solver
Differential Equation Solver
Author
:
Maplesoft
1
Download
PDF Preview
This Application runs in Maple.
Don't have Maple? No problem!
Try Maple free for 15 days!
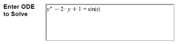
The application allows you to solve Ordinary Differential Equations. Enter an ODE, provide initial conditions and then click solve.
An online version of this
Differential Equation Solver
is also available in the MapleCloud.
Application Details
Publish Date
:
May 17, 2016
Created In
:
Maple 2016
Language
:
English
Share
Copy URL
Tweet
This app is not in any
Collections
Add to a Collection
You must be logged in to add to a collection
More Like This
Pricing Arithmetic Average Asian Options
Maplesoft
6
economics
finance
monte-carlo
laplace-transform
Creating Maple Documents: Deriving the Rocket Equation
Maplesoft
8
Editors Choice
mechanics
astrophysics
Heating an Oil Stream Through Three Steam-Heated Tanks
Maplesoft
25
electrical
chemical-engineering
fluid-dynamics
heat-transfer
The VectorCalculus Package
Maplesoft
9
engineering
pde
differential-geometry
linear-algebra
vector-calculus
Solving Differential-Algebraic Equations in Maple 9.5
Maplesoft
13
ode
Solving ordinary differential equations using Maple
Maplesoft
5
engineering
chemistry
ode
FFT with the DiscreteTransforms Package
Maplesoft
5
mechanics
civil-engineering
image-processing
arraytools
fft
discretetransforms
Applications of the Global Optimization Toolbox
Maplesoft
2
optimization
electrical
optimization
globaloptimization
Tips on Using Units and Dimensions in Maple
Maplesoft
11
relativity
Improving Your Maple Code with map and seq
Maplesoft
14
map
seq
programming
Color Plate: Icosahedron
Maplesoft
2
Color Plate: Dirichlet Problem for a circle
Maplesoft
0
×
Create a Collection
Name:
Description (optional):
Collections
×
Collections are user-defined, publicly available groups of applications. Add applications to your own Collections, and share them with other Maple users.