Nine Calculations Every Power Systems Engineer Should Know - Maplesoft

Nine Calculations Every Power Systems Engineer Should Know

Introduction

Power systems engineers are critical to power supply and generation. They work at utility companies, wind turbine manufacturers, as well as aerospace and defence companies. Electrical power systems engineers find fault failures in power networks, design substations, work on power system protection, do load flow analysis, protect against arc flashes and more.

These engineers need validated tools that help them solve complex problems – and a mathematics tool is central to this work. Math and data analysis tools may be used for simple design calculations, data analysis, and more intensive mathematical tasks.

This whitepaper explores a variety of applications within electrical power systems engineering. Each application is created using Maple, with sections of each Maple document displayed to show the mathematics and algorithms required for a solution.

Outline of Power Systems Engineering Applications

In this whitepaper, a total of 9 applications are outlined, covering a wide range of important tasks that an electrical power system engineer might face:



Load Flow Analysis of a Five-Bus Power System

This application analyzes a five-bus power system, and calculates the voltages and powers (real and reactive) at each bus.

For larger power systems, there can potentially be thousands of buses, and efficient numerical techniques are needed to solve the system nonlinear equations. Dedicated tools are available to define and simulate larger power flow systems.

Smaller systems can be modeled and studied in Maple, to reinforce theory, investigate numerical techniques, or to try out different topologies.

This application demonstrates two approaches to numerically solving the load flow equations:

  • The symbolic real and reactive load flow equations are generated, and solved with fsolve (a powerful numerical equation solver). This is quick to set up, but may be slower for larger systems. This approach also symbolically generates the real and reactive power flow equations.
  • The system Jacobian is constructed, and solved with Newton-Raphson iteration (this method requires more initial setup, but may be faster for larger systems).

See the full application online on the Maple Application Center.

Load Flow Analysis of a Five-Bus Power System Example

Cable Ampacity using the Nehers-McGrath Method

Heat is generated when current flows through a cable. The ampacity of a cable is the amount of current a cable can carry without exceeding its temperature rating. Accurately estimating ampacity is critical to minimizing the total lifetime cost of a cable installation, and minimizing maintenance issues.

Nehers and McGrath (1957) published a steady-state method to compute the temperature rise in cables. This method forms the basis of the cable ampacity tables in The National Electrical Code (NEC) 2017 and IEEE 399-1997.
This application implements the Nehers-McGrath equations and cross-checks the results against those tabulated in the NEC; the good agreement means that this worksheet can be the basis of more complex cable ampacity calculations.
The NEC gives cable ampacity for a range of standard conductors, cable arrangements and duct configurations, and assumes

  • a soil temperature of 20°C at a depth of 36 inches and thermal resistivity of 90 K cm/W
  • 100% load factor
  • one of several duct configurations
  • a burial depth of 36 inches and cable separation of 7.5 inches
  • all cables have the same ampacity

This narrow range of conditions is not always applicable. For example, the southern US states often  reach a soil temperature of 25°C at a depth of 36 inches, reducing the ampacity by 5% or more.

Implementing the Nehers-McGrath method in Maple can assist electrical power systems engineers with modeling non-standard configurations.

See the full application online on the Maple Application Center.

Cable Ampacity using the Nehers-McGrath Method Example

Cross-Section of Metallic Tape for Substation Earthing

Substation earthing systems are a grid of buried conductors, known as an earth mat. The grounding of substations is very important for both personnel safety and to provide a discharge route for the overall power system.

This application calculates the cross-section of metallic tape to earth a conductor for a 110/30 kV substation.

Using Maple, the application follows EN 50522:2010 and IEC 60287-3-1 to gather soil resistivity data and current calculation equations, and features natural math notation and units throughout the calculations.

The Maple worksheet can also be converted to an interactive application with buttons and sliders, and can be deployed free of charge using the Maple Player.

See the full application online on the Maple Application Center, including the interactive calculator.

Cross-Section of Metallic Tape for Substation Earthing Example

Power Swing Analysis for Out-Of-Step Protection

Power swings are disturbances in a power system, and are caused by caused by load changes, line switching, loss of generation, and other power faults. These can result in potentially dangerous spikes in current.

Electrical power engineers need tools and methods to analyze power swings. This assists them in devising preventative measures that eliminate the potential for costly whole system failures.

Power swings result in a loss of synchronism between the interconnected generators, and these generators run out of step. In that case, out-of-step protection schemes are used to protect the entire power system.

For example, if power swing and the condition of out-of-step are severe, certain transmission lines are tripped on the system. This separates parts of the grid into sub-grids.

As an example, consider this two machine system.

Power Swing Analysis for Out-Of-Step Protection Example

The Swing equation describes the behavior of the rotor dynamics.

Power Swing Analysis for Out-Of-Step Protection Example

The total equivalent momentum, M, is subsequently calculated, along with the line electrical power, Pe. The trajectory of equivalent impedance (which is detected by the relay in the system placed close the Bus S) will be in the protective region of the relay. So, if power swing is stable, the impedance due to the swing will return and exit the region. On the other hand, it will traverse the relay characteristic when the swing is unstable.

By analyzing the impedance behavior and transient state of the Swing equation, the required information to determine the appropriate settings for the protection can be obtained.

See the full application online on the Maple Application Center.


Power Swing Analysis for Out-Of-Step Protection Example

Induction Motor Analysis for Start-up Protection

Large currents are generated when induction motors are started. This is called the inrush current, and is much larger than the rated current. After start up, the inrush current gradually reduces and the motor begins to rotate. The current falls to the normal operating level when the motor reaches the full running speed.

The motor needs several levels of protection to guard against out-of-specification start up conditions

The overcurrent relay or the impedance relay protects the motor from an abnormal current due to short-to-ground faults and motor overload conditions. However, the relay needs to withstand the extreme current spike of inrush current during start-up for a short period.

Thus, by analyzing the transient trajectories and the impedance of the motor, the appropriate relay settings can be determined.

This application shows how to analyze the transient behavior of a motor with impedance and torque characteristics, obtained from an equivalent circuit model of an induction motor. The application also demonstrates a protection scheme study based on these result of analysis.

Key topics covered in this application are below. The full calculations can be found in the Maple application online.

  • Equivalent Circuits of Induction Motors
  • Transient Analysis of Equivalent Circuit Model
  • Protection Schemes – Overcurrent Relays and Impedance Relay

See the full application online on the Maple Application Center.


Induction Motor Analysis for Start-up Protection Example

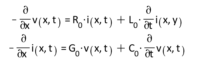
Transmission Line Simulation via Numerical Inversion of Laplace Transforms

In this application, you can numerically invert the Laplace transforms that describe the voltage and current in a transmission line. This requires fast, efficient numerical algorithms, fluidly connected to a broader toolset of plots and documentation.

The calculations begin with a lumped parameter model of a transmission line, which can be represented as coupled, partial differential equations after applying Kirchoff’s voltage and current laws. The Laplace transforms are based on these resulting differential equations which are known as the Telegrapher’s Equations, as seen below.


Transmission Line Simulation via Numerical Inversion of Laplace Transforms Example

The results describe the transient variation of current and voltage at any point on the transmission line.

See the full application online on the Maple Application Center.

Transmission Line Simulation via Numerical Inversion of Laplace Transforms Example

Per Unit Analysis of a Three-Phase Power Distribution System

This application analyzes the power flows in a three-phase system on a per unit basis.


Per Unit Analysis of a Three-Phase Power Distribution System Example

Power system parameters (such as voltage, current and impedance) are often normalized to a base power and voltage before an analysis. This simplifies the analysis of the power flow in the system; for example, for a transformer, you can ignore turns ratios of transformers.

The units generally used in power systems studies are built into Maple. For example, Maple understands what volts, amps and ohms are, and correctly converts units into derived quantities. Custom units can also be defined in Maple, and are used in this application to simplify the mathematics.

See the full application online on the Maple Application Center.

Per Unit Analysis of a Three-Phase Power Distribution System Example

Arc Flash Calculation (IEEE 1584 – 2018)

An arc flash is a violent eruption of heat and light caused by an electrical explosion. Arc flashes can seriously injure electricians, with fierce burns posing a significant risk to life. Other hazards include shrapnel and a pressure wave (often called an arc blast).

The electrical explosion results from an unwanted electrical connection through the air, perhaps to ground or another conductor.

To protect from the effects of an arc flash, electricians working on high-power equipment must wear protective clothing when within the hazard zone, and be aware of how far that zone stretches.

This application determines the minimum safe working distance from an arc flash, following the empirical methodology presented in IEEE 1584 - 2018. Specifically, the application calculates the:

  • intermediate average arcing current
  • arcing current variation factor
  • box size variation factor
  • incident energy - amount of thermal energy on a surface at a specific distance (2nd degree burns are caused by an incident energy of 5 J/cm2)
  • arc flash boundary - minimum distance from an arc flash to prevent 2nd degree burns

The system studied is a high voltage 15 kV switchgear. The electrode configuration can be switched between VCB (vertical conductors in a metal box, VCBB (vertical conductors terminated into a metal box's insulation barrier), HCB (horizontal conductors in a metal box), VOA (vertical conductors in open air) and HOA (horizontal conductors in open air).

See the full application online on the Maple Application Center.


Arc Flash Calculation (IEEE 1584 – 2018) Example

Unbalanced Three-Phase Wye-Connected Load

An unbalanced 3-phase Wye-connected load is connected to a balanced 3-phase four-wire source. The load impedances and line voltage are known.

This application calculates the currents in the system, and the total power drawn by the load. This requires a calculation of the relevant amplitude and phase voltages of each system component.

The built-in units system in Maple is used to define the load impedances and line voltage, in order to simplify the need for additional calculations the engineer might be required to perform.

See the full application online on the Maple Application Center.


Unbalanced Three-Phase Wye-Connected Load Example