Do not display this message again
Close window
Construction of Wilkie's fundamental regions for NEC groups - Maple Application Center
Contact Maplesoft
Request Quote
Products
Maple
Powerful math software that is easy to use
• Maple for Academics
• Maple for Students
• Maple Learn
• Maple Calculator App
• Maple for Industry and Government
• Maple for Individuals
Maple Add-Ons
• E-Books & Study Guides for Students
• Maple Toolboxes
• MapleNet
• Free Maple Player
Math Success Platform
Improving Retention Rates
Maple Flow
Engineering calculations & documentation
• Maple Flow
• Maple Flow Migration Assistant
MapleSim
Advanced System Level Modeling
• MapleSim
• MapleSim for Web Converting Systems
• MapleSim for Digital Twins
• MapleSim for Education
• Add-on Libraries and Connectors
• MapleSim Insight
Consulting Services
• Engineering Services
• Training
• Turnkey Solutions
Maple T.A. and Möbius
Looking for Maple T.A. or Möbius?
DigitalEd, a Maplesoft technology partner, now offers these products. Learn more.
Solutions
Education
• Mathematics Education
• Engineering Education
• High Schools & Two-Year Colleges
• Students
• Remote Learning Resources
Industries
Automotive and Aerospace
• Electric & Hybrid-Electric Vehicles
• Powertrain
• Vehicle Dynamics
• Heavy Mobile Machinery
• Aircraft Systems
• Space Systems
Robotics
• Robotics Research
• Motion Control/Mechatronics
Machine Design & Industrial Automation
• Machine Design
• Manufacturing
• Mining & Oil Production Equipment
• Web Handling
Other
• Power Industries
• Finance
• Medical Devices
• Life Sciences
Application Areas
• Power Systems Engineering
• Electrical Engineering Calculations
• Mechanical Engineering Calculations
• System Simulation & Analysis
• Virtual Commissioning
• Battery Modeling and Design
• Heat Transfer Modeling
• Dynamic Analysis of Mechanisms
• Calculation Management
• Model development for HIL
• Vibration Analysis & Attenuation
Purchase
Product Pricing
• Maple
• Maple Flow
• MapleSim
• Add-Ons and Connectors
• Request a Quote
Purchasing
• Purchase & Download Immediately
• Upgrade to the Latest Version
• Contact Sales
Institutional Student Licensing
• Virtualization
• Student Licensing & Distribution Options
Maplesoft Elite Maintenance (EMP)
• EMP Overview
• EMP FAQ
Support & Resources
Support
• Tech Support & Customer Service
• Frequently Asked Questions
• Product Documentation
• Download Product Updates
Product Training
• Student Help Center
• Online Product Training
• On-Site Training
Online Product Help
• Maple Online Help
• MapleSim Online Help
Webinars & Events
• Live Webinars
• Recorded Webinars
• Upcoming Events
Publications
• Technical Whitepapers
• E-Mail Newsletters
• Maple Books
• Math Matters
Content Hubs
• Teacher Resource Center
• Student Help Center
• Remote Learning Resources
Examples & Applications
• Maple Application Center
• MapleSim Model Gallery
• User Case Studies
• Exploring Engineering Fundamentals
• Teaching Concepts with Maple
Community
• MaplePrimes
• MapleCloud
• Maple Conference
Company
About Maplesoft
• Company Overview
• Management
• Customers
• Partnerships and OEM Opportunities
Media Center
• Media Releases
• User Case Studies
• Media Coverage
User Community
• MaplePrimes
• Maple Ambassador Program
• Maple Conference
Contact
• Global Contact Details
• Careers
Home
Products
Maple
Maple Add-Ons
Maple Learn
Maple Calculator App
Maple Flow
MapleSim
MapleSim Add-Ons
Consulting Services
Online Education Products
Solutions
Education
Industries
Application Areas
Purchase
Product Pricing
Purchasing
Institutional Student Licensing
Maplesoft Elite Maintenance (EMP)
Support & Resources
Support
Product Training
Online Product Help
Webinars & Events
Publications
Content Hubs
Examples & Applications
Community
Company
About Maplesoft
Media Center
User Community
Contact
Toggle navigation
Sign in
Register
Submit your work
Application Center
Applications
Construction of Wilkie's fundamental regions for NEC groups
Construction of Wilkie's fundamental regions for NEC groups
Author
:
Prof. jose luis heras
1
Download
PDF Preview
This Application runs in Maple.
Don't have Maple? No problem!
Try Maple free for 15 days!
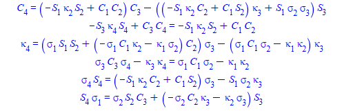
This worksheet computes the Wilkie's fundamental region for a NEC group;, the generators of the group; and the corresponding tessellation of hyperbolic plane with copies of the region.
Application Details
Publish Date
:
September 15, 2021
Created In
:
Maple 2022
Language
:
English
Share
Copy URL
Tweet
This app is not in any
Collections
Add to a Collection
You must be logged in to add to a collection
Tags
poincaré-disc
More Like This
Polígonos hiperbólicos regulares convexos y estrellados. Relaciones y representación
Prof. jose luis heras
0
geometry
Relaciones entre los elementos de un polígono hiperbólico
Prof. jose luis heras
0
geometry
Resolución y construcción de polígonos hiperbólicos convexos y autointersectantes
Prof. jose luis heras
0
geometry
polygon
Polígonos hiperbólicos rectángulos regulares convexos y estrellados. Relaciones y representación
Prof. jose luis heras
0
geometry
Resolución y construcción de polígonos hiperbólicos rectángulos convexos
Prof. jose luis heras
0
geometry
×
Create a Collection
Name:
Description (optional):
Collections
×
Collections are user-defined, publicly available groups of applications. Add applications to your own Collections, and share them with other Maple users.