Application Center - Maplesoft

App Preview:

Finding Integrating Factors of Some ODEs of Any Order

You can switch back to the summary page by clicking here.

Learn about Maple
Download Application


 

2Proc.mw

2 procedures for finding integrating factors

of some ODEs of any order

Yu.N. Kosovtsov

Lviv Radio Engineering Research Institute, Ukraine

Email: kosovtsov@escort.lviv.net

Copyright, 2004

The method for obtaining rational integrating factors of some rational ODEs of any order based on examination of structures of denominator and numerator of the ODEs' right-hand-side is presented. The method embodied in relatively fast procedure koif_1 can determine the explicit expression of an integrating factor under the following restriction:  the denominator of integrating factor is the product of co-factors each has at least one missing independent variable. The procedure koif_2 demonstrates potential of the method without the above-mentioned restriction. The experimentations with the procedures implemented in Maple confirm consistence and efficiency of proposed method.

1. The method


Introduction


If for the first order ODEs there are many different solving methods implemented in CAS, only a few approaches are known for high order non-linear ordinary differential equations, most of them suffer from a very high complexity and in practice often rather useless.


One of the promising approaches is the integrating factor method (see, e.g.,[1]). With an increase of equation order the number of independent variables and, correspondingly, dimension of PDE system for integrating factor increase and direct solving of this system even in a sense of particular solution comes problematical.


A remarkable method based on the knowledge of the general structure of the integrating factor was developed by Prelle and Singer [2] and Singer [3] for rational first order ODEs.


There are extensions of this semi-decision procedure in some directions [4]-[9] including approaches to solve ODEs with some transcendental or algebraic terms (heuristically) [10]-[12] and for second order ODEs [13].


There are other approaches for finding integrating factors. In [14] the authors demonstrate that for cases, when integrating factor of second order ODE depends only from two of its arguments, it is possible on the base of forms of the ODEs families to find integrating factor sometimes even without solving any differential equations. This method is implemented in
Maple ODETools.

The same authors implemented in
Maple ODETools another method, applicable for ODEs of any order, when integrating factor is polynomial in the (n-1)th derivative of dependent variable. Unfortunately, there are not available details of this method.

In this contribution we propose the method, based on examination of structures of denominator and numerator of the ODEs' right-hand-side,  which can determine the explicit expression of an integrating factor if its denominator is the product of co-factors each has at least one missing independent variable and consider the ways to extend the method beyond this restriction.


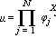
The method proposed here resembles the Prelle-Singer approach in some features. It starts from the same integrating factor structure of the form
mu = product(phi[j]^X[j], j = 1 .. N) , where phi[j]  are some functions (Darboux polynomials), X[j] are constants. But instead of finding candidates to the set of {phi[j]} by the very expensive method of undetermined parameters (coefficients of unknown Darboux polynomials), in proposed method it is used a substitution procedure, which admits the extraction of phi[j]  (for some restricted ODEs) by blocks without embedding any undetermined parameters and notorious degree bounds on this stage. The undetermined parameters arise only on final stage for obtaining constants X[j] . It results in the more compact, efficient and fast procedure for finding integrating factors which is proved to be workable for sufficiently high order ODEs.

2  The base of the method


For nth order ODE in solved form

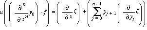
(diff(y[0], `$`(x, n)))-f(x, y[0], y[1] .. y[n-1]) = 0                                                                       (1)

where  y[0] = y(x) ,    y[j] = diff(y(x), `$`(x, j))

by standard definition [see,e.g.,1]  mu  is an integrating factor if   mu*(y[n]-f)  is a total derivative of some function  zeta(x, y[0], y[1] .. y[n-1]) , that is

mu*((diff(y[0], `$`(x, n)))-f) = (diff(zeta, x))+(sum(y[j+1]*(diff(zeta, y[j])), j = 0 .. n-1))  .                                          (2)

Let

mu = diff(zeta, y[n-1])                                                                                                           (3)

then (2) becomes

D(zeta)+f*(diff(zeta, y[n-1])) = 0                                                                                         (4)

where   D(zeta) = (diff(zeta, x))+(sum(y[j+1]*(diff(zeta, y[j])), j = 0 .. n-2)) .

So we conclude that the integrating factor of ODE (1) is  mu = diff(zeta, y[n-1])  , where the function  zeta  satisfy the linear first-order PDE (4).

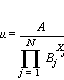
Let us suppose that ODE (1) has a rational integrating factor in the following form

mu = A/(product(B[j]^X[j], j = 1 .. N))
                                                                                                          (5)

where A and B are polynomials, X[j]  are constants. So as it follows from the well-known theory of integration of rational functions there exists the corresponding solution of PDE (4) whith the following structure

zeta = (product(P[j]^alpha[j], j = 1 .. n1))/(product(Q[k]^beta[k], k = 1 .. n2))+(sum(eta[s]*ln(p[s]), s = 1 .. m1))+(sum(theta[r]*arctan(q[r]), r = 1 .. m2))                                    (6)


where  
P[j] ,  Q[k] ,  p[s] ,  q[r]  are polynomials, and alpha[j] , beta[k] are positive constants,  eta[s] , theta[r]   are any constants.

If now express

f = -D(zeta)/(diff(zeta, y[n-1]))
                                                                                                          (7)

and mu   (3) in in terms of  P[j] ,  Q[k] ,  p[s] ,  q[r] , we obtain that (the matter is not so simple in general as it can be happened that numerator and denominator of (8) may have common factors due to corresponding interferences of items and a cancellation can occur so as a result the numerator of mu will differ from denominator of f on some co-factor which is not controlled in present approach)f = -((sum(alpha[i]*(product((j <> i)*P[j]^alpha[j], j = 1 .. n1))*(product(Q[k], k = 1 .. n2))*(product(p[s], s = 1 .. m1))*(product(q[r]^2+1, r = 1 .. m2))*P[i]^(alpha[i]-1)*D(P[i]), i = 1 .. n1))-(...f = -((sum(alpha[i]*(product((j <> i)*P[j]^alpha[j], j = 1 .. n1))*(product(Q[k], k = 1 .. n2))*(product(p[s], s = 1 .. m1))*(product(q[r]^2+1, r = 1 .. m2))*P[i]^(alpha[i]-1)*D(P[i]), i = 1 .. n1))-(...f = -((sum(alpha[i]*(product((j <> i)*P[j]^alpha[j], j = 1 .. n1))*(product(Q[k], k = 1 .. n2))*(product(p[s], s = 1 .. m1))*(product(q[r]^2+1, r = 1 .. m2))*P[i]^(alpha[i]-1)*D(P[i]), i = 1 .. n1))-(...f = -((sum(alpha[i]*(product((j <> i)*P[j]^alpha[j], j = 1 .. n1))*(product(Q[k], k = 1 .. n2))*(product(p[s], s = 1 .. m1))*(product(q[r]^2+1, r = 1 .. m2))*P[i]^(alpha[i]-1)*D(P[i]), i = 1 .. n1))-(...

                                    (8)

and integrating factor is in the case when all 1 < alpha[i] mu = denom(f)/((product(Q[k]^(beta[k]+1), k = 1 .. n2))*(product(p[s], s = 1 .. m1))*(product(q[r]^2+1, r = 1 .. m2)))

                                                          (9)

or if exist some alpha[i] < 1  (  0 < alpha[i] )

mu = denom(f)/((product((alpha[i] < 1)*P[i]^(1-alpha[i]), i = 1 .. n1))*(product(Q[k]^(beta[k]+1), k = 1 .. n2))*(product(p[s], s = 1 .. m1))*(product(q[r]^2+1, r = 1 .. m2)))
            (10)

We can conclude here, that in the case under consideration, for obtaining mu  it is sufficient to find all Q[k] ,  p[s] ,  q[r]^2+1  and beta[k]  (plus P[i]  and alpha[i]  for cases when alpha[i] < 1  (  0 < alpha[i] )).

For given ODE we know only
f as a whole. The main problem here is: how can we obtain parameters of mu from known rational f ?

Let us impose additional restriction on components in the structure of
zeta   (6):

(R)
.  Each of all components Q[k] ,  p[s] ,  q[r]^2+1   (plus P[i]  for cases when alpha[i] < 1  (  0 < alpha[i] )) do not depend at least on one of the arguments   {x, y[0], y[1] .. y[n-1]} .

If given ODE leads to PDE (4) with a solution in form (6) which parameters satisfy aforesaid condition
(R), then the procedure of finding of an integrating factor is reduced to two stages. On the first one we successively find all components of the denominator of mu , and then, on the second stage, we can find theirs powers.

Note here that if one of the parameters of the denominator of
mu (9) or (10) is a function in only y[n-1]  then this parameter is one of the co-factors of the numerator of f . And if one of such parameters does not depend on y[n-1] then it is obvious from (8) that this parameter is one of co-factors of the denominator of f .

Let us suppose here for a moment, that we know a priori one of the parameters  {
Q[k] ,  p[s] ,  q[r]^2+1 } , for example,  Q[1] = Q[1](y[0], y[1] .. y[n-1]) .  If now substitute one of the roots of equation  Q[1](y[0], y[1] .. y[n-1]) = 0 , for example,y[0] = RootOf(Q[1](y[0], y[1] .. y[n-1]), y[0])

                                                                         (11)


to the numerator of  
f  then all items of the numerator get annul except one of them , and after simplification and factorization we have

subs(y[0] = RootOf(Q[1] = 0, y[0]), numer(f)) = -beta[1]*(product(P[j]^alpha[j], j = 1 .. n1))*(product(Q[k], k = 2 .. n2))*(product(p[l], l = 1 .. m1))*(product(q[r], r = 1 .. m2))*D(Q[1])     

                                                                                                  (y[0] = RootOf(Q[1], y[0]) )        (12)

On imposed restriction (R) there may be such Q[k] ,  p[s] ,  q[r]^2+1  which do not depend on y[0] , and correspondingly the substitution (11) do not affect on them and such parameters are developed as co-factors in (12). In fact on this stage we have to consider almost all non-constant co-factors (except co-factors which do not depend on y[n-1] or which depend only on y[n-1] as they are developed directly in the denominator and numerator of f  as candidates to components to the denominator of mu  (9) or (10).

If substitute further (11) to the denominator of
f we obtain by the same way another set of candidates to components to the denominator of mu . It is seen that on this stage proper components to the denominator of mu must appear in both sets of candidates.

Analogously, if substitute further
y[1] = RootOf(Q[1](y[0], y[1] .. y[n-1]), y[1])

                                                                            (13)


to the numerator and denominator of  
f  we can obtain another set of candidates to components to the denominator of mu which do not depend on y[1] and so on.

Unfortunately among co-factors of types (12) there are nonproper candidates (phantoms) and it is very desirable to remove them as early as possible.


As it is easily seen from (8)


Proposition:  If polynomial B[i] is one of the set {Q[k] ,  p[s] ,  q[r]^2+1 } then under substitution of   z = RootOf(B[i], z)

subs(z = RootOf(B[i] = 0, z), numer(f)*(diff(B[i], y[n-1]))+denom(f)*D(B[i])) = 0                    (14)

where z is any of variables involved in B[i] .

So we can by using this proposition effectively select (remove nonproper) candidates.


For each new candidate we can repeat substitution and selection procedures until no new candidates appears. To find full set of parameters of the denominator of
mu  (9) in aforesaid condition it is sufficient to make n substitutions. As we select real candidates and the set of real candidates are finite then this procedure always terminates. It is obvious that described procedure of finding candidates to components would be very fast.

So the problem of finding an integrating factor of type (9) or (10) with condition
(R) is reduced to the problem of obtaining at least one of the parameters from the set {P[j] ,  Q[k] ,  p[s] ,  q[r]^2+1 } (which is not a function only on  y[n-1] ).

As we have stated above if  one of the parameters of the denominator of  
mu  (9) or (10) does not depend on y[n-1] then it appears as co-factor of the denominator of  f . So in second case we can start roots substitution procedure to the numerator of  f .

Are there ways to find at least one of the parameters when self-developing parameters of above mentioned type are absent?


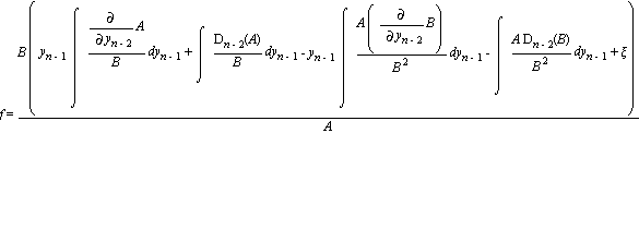
Let use a new angle on the problem .  Let  
mu = A/B .  The  mu  is an integrating factor for the following ODEs family with

f = B*(y[n-1]*int((diff(A, y[n-2]))/B, y[n-1])+int(D[n-2](A)/B, y[n-1])-y[n-1]*int(A*(diff(B, y[n-2]))/(B^2), y[n-1])-int(A*D[n-2](B)/(B^2), y[n-1])+xi)/A       (15)


where
D[n-2](zeta) = (diff(zeta, x))+(sum(y[j+1]*(diff(zeta, y[j])), j = 0 .. n-3)) ,      xi = (x, y[0], y[1] .. y[n-2]) is an arbitrary function.

We can see here that not all co-factors of denominator
f which do not depend on y[n-1] are related to the mu  ( denom(mu) = denom(f)/denom(xi) ).

Note now, that if
A and B are polynomials in y[n-1] , then all integrands are rational in y[n-1]  and as it follows from the well-known theory of rational functions integration the denominator of int(P/B^n, y[n-1]) is B^(n-1) if  1 < n and is 1 if  n = 1 . So if we annul by any way A (that is, one co-factor of the denom(f) ) in (15), then components of integrals with B in denominators annul too and we have to receive

subs(A = 0, numer(f)) = B*Y       (modulo(A = 0) )                                                          (16)

where Y = Y(x, y[0], y[1] .. y[n-1]) is some rational function.
That is on condition
(R) we can find as co-factor of numer(f) under substitution, for example, x = RootOf(denom(f) = 0, x) the component of B which does not depend on x . Successive substitution of all possible roots of denom(f)  (y[i] = RootOf(denom(f) = 0, y[i]) ) to the numerator of f supplies us a set of initial candidates to components of the denominator of mu . This procedure is workable only when denominator of  f  is different from unity (see comment before eq.(8)).

The similar procedure suits for rational  
f  for obtaining candidates when we substitute roots of numerator to the denominator of  f . It can be proved analogously to considered case. If we solve for zeta (solvable) equation D(zeta) = C/B , where C and B are polynomials in all variables, we can receive that f = C/(B*I) , where I  has the similar integral structure as in numerator of f in (15). So we can conclude the same.

As it follows from (8) and from procedure of finding of parameters in some cases we could automatically obtain some of the exponents
alpha[i]  and beta[k] . But generally speaking in described procedure of roots substitutions we do not able to find all needed exponents. And what is more we really do not know a priori whether the given candidate is a part of particular mu structure. That is on the first stage we are able only to form a hypothesis on the structure of the integrating factor of the type

mu = denom(f)/(product(B[i]^X[i], i = 1 .. N))                                                                                                                 (17)

where B[i]  are all found and remained after selections N  candidates to components of the denominator of mu , include co-factors of the denominator of  f  which do not depend on  y[n-1]  and co-factors of numerator of f  which depend only on  y[n-1] ,   X[i]  are unknown constants which we need to obtain on the following stage.

We can find unknown  
X[i]  on the base of PDE system for integrating factor. As this PDE system have to be satisfied by  mu  under any x, y[0], y[1] .. y[n-1] ,  then substitution (17) to the PDE system will lead to relatively simple system of algebraic equations for X[i] . If the solution of this algebraic system exists, then this is automatically the test that mu  in form (17) with obtained values of X[i] is an integrating factor of given ODE.

The method described above is implemented in demonstration procedure koif_1. Although in principle the method can find an integrating factor for any of above mentioned type of ODEs, in practice the procedure koif_1 heavily relies on some basic Maple procedures  such as factor, simplify and so on and in some cases fails. As a result sometimes it is observed different outputs in different Maple versions for the same ODE.

3  Short remarks on extension of the method

It is very essential that in the process of obtaining the integrating factor we treat only algebraic (non differential) objects. In fact in previous section we obtain the set of projections of candidates for mu structure and then the restriction (R) guarantees that real candidate coincide with some of its projection.

So to extend the method beyond restriction (R) and remain in algebraic framework we have to recover the candidates from available set of its projections. The main problem here is ambiguities in dealing with multivariate polynomials.

There are some different strategies to overcome obstacles on this way. In demonstration procedure koif_2 we use the simplified version of such process to show that the extended method can be fruitful.

4 Conclusion


The aim here has been to present the simple and relatively fast method for finding an integrating factor of some rational high order ODEs without solving any differential equations. The experimentations with procedures implemented in
Maple confirmed consistence and efficiency of proposed method for sufficiently high order ODEs. We can conclude that our procedures are workable for rational ODEs (and for koif_1 surprisingly for many transcendental ODEs) (even with symbolic constant parameters) of orders from n=1 to n=4-5. The first stage - finding candidates and hypothesis on structure of integrating factor is very fast. The relatively resource consuming is the second stage - finding the unknown parameters X[i] of the structure of integrating factor. Sufficiently often our procedures produce more than one integrating factor (for example, the output may contain set of mu s or mu with arbitrary parameters _X[i] ) and sometimes they are lead to independent first integrals.

This method allows Maple to extend their solving abilities to solve high order ODEs missed by their own in-house solvers.



References


[1]  P.J. Olver, Applications of Lie Groups to Differential Equations, Springer-Verlag, New York, (1993).


[2]  M. Prelle, and M. Singer, Elementary first integral of differential equations.  
Trans. Amer. Math. Soc.,  279(1), 215-229 (1983).

[3]  M. Singer, Liouvillian first integrals of differential equations.
Trans. Amer. Math. Soc.,   333(2), 673-688 (1992).

[4]  Y.K. Man and M.A.H. MacCallum, A rational approach to the Prelle-Singer algorithm J. Symb. Comp. 24, 31-43 (1997).


[5]  Y.K. Man, First integrals of autonomous systems of differential equations and Prelle-Singer procedure.
J.Phys.A: Math.Gen.,  27, L329-L332 (1994).

[6]  L.G.S. Duarte, S.E.S. Duarte and L.A.C.P. da Mota, Analyzing the Structure  of the Integrating Factor for First Order Differential Equations with Liouvillian  Functions  in the Solutions.
J. Phys. A: Math. Gen.  35, 1001-1006 (2002).

[7]  L.G.S. Duarte, S.E.S. Duarte and L.A.C.P. da Mota, A Method to  tackle first-order ordinary differential equations with Liouvillian functions  in the solution.
J. Phys. A: Math. Gen.},  35, issue 17, 3899-3910 (2002).

[8]  Yu.N. Kosovtsov, The structure of general solutions and integrability conditions for rational first-order ODEs.
arXiv:math-ph/0207032v1 24 Jul 2002.

[9]  Yu.N. Kosovtsov, The rational generalized integrating factors for first-order ODEs.
arXiv:math-ph/0211069v1 29 Nov 2002.

[10] R. Shtokhamer, N. Glinos, B.F. Caviness, Computing elementary first integrals of differential equations. In
Computers and Mathematic Conference Manuscript. Stanford (1986).

[11] Y.K. Man, Computing closed form solutions of first order ODEs using the Prelle-Singer procedure.
J. Symbolic Computation,  16, 423-443 (1993).

[12] L.G.S. Duarte, S.E.S. Duarte, L.A.C.P. da Mota and J.E. Skea, An Extension  of the Prelle-Singer Method and a MAPLE implementation.
Computer Physics  Communications,  144(1), 46-62, (2002).

[13] L.G.S. Duarte, L.A. da Mota and J.E.F. Skea, Solving second order equations by extending the PS method.
arXiv:math-ph/0001004v1 3 Jan 2000.

[14]  E.S. Cheb-Terrab and A.D. Roche, Integrating factors for second order ODEs,
J.Symb. Comp. 27, No. 5, pp. 501-519, (1999).

2. Procedures description

koif_1 and koif_2 -look for an integrating factor for rational ODEs of any order

Calling Sequences

koif_1(ode,y(x),con);

koif_2(ode,y(x),con);

Parameters

ode                              - ordinary differential equation (any order).

                                  NOTE: In present implementation of koif_2 ode must be rational.

y(x)                             - ODE's dependent variable. The first argument of y(x) must be ODE`s independent variable.

con                           - (optional) if there stands str the procedure is ended after calculation of hypothesis of integrating

                                   factor structure only.

Output

      - computed integrating factor(s) of given ODE .  The output may contain set of integrating factors or integrating factor with arbitrary parameters _X[i]

with option str        - hypothesis of integrating  factor structure .

3. Procedures

> restart;

koif_1

> koif_1 :=proc(ode,y,con)
local f1,nu,num,d,_x,n,Largs,Sargs,F,f,j0,CC,B,a1,b1,c1,s1,SEL,Cand_Sel,nu1,nu2,i,d1,d2,j,den,F1,F2,F3,k,ard1,i1,a,k1,ard2,j1,b,BB,FF,v,k2,ard3,i2,c,s,BB1,ard4,j2,din,did,din1,did1,A,mu1,hyp1,unn,sols2,ik,mu,ode1;

option `Copyright (c) 2003-2004 by Yuri N. Kosovtsov. All rights reserved.`;


CC :=proc(Q,P,ar)

 factor(a_a*simplify(subs(ar=RootOf(Q,ar),P))); RETURN(%);

end proc;


 SEL :=proc(Ar,n)

  local Ar2,i,j,B1;

      Ar2 :={};

    B1 :={};

    for i to nops (Ar) do

      if type(op(i,Ar),`^`)=true then Ar2 :=Ar2 union {op(1,op(i,Ar))}

      else Ar2 :=Ar2 union {op(i,Ar)};

      fi;

    od;

    for j to nops (Ar2) do

      if  select(type,indets(op(j,Ar2)),name)<>{op(n+1,Largs)} and select(type,indets(op(j,Ar2)),name)intersect{op(n+1,Largs)}<>{} then  

        B1 :=B1 union {op(j,Ar2)};

      fi;

    od;

    RETURN(B1);

 end proc:


Cand_Sel := proc(FF, nu,d,n)

local a,aa,ab,B2,Br,EQ,dd,jj,R1;

 B2 :={};

 for jj to nops(FF) do

     Br :=op(jj,FF);

     a :=diff(Br,op(n+1,Largs));

     ab := [seq(diff(Br,op(g,Largs)),g=2..n)];

     dd := diff(Br,op(1,Largs))+sum(op(gg+2,Largs)*op(gg,ab),gg=1..n-1);

     aa :=op(n+1,Largs);

     if select(type,indets(Br),name) intersect {aa} <>{} then

        R1 :=aa=RootOf(Br,aa);

        EQ :=simplify(numer(factor(subs(R1,nu*a+d*dd))));

         if EQ=0 then B2 :=B2 union {Br} fi;

     fi;

 od;

RETURN(B2);

end proc;



_x :=op(1,select(type,indets(y),name));

n :=PDEtools[difforder](ode);

Largs :=[_x,seq(_y[m],m=0..n-1)];

Sargs :=convert(Largs,set);

F :=subs({seq(diff(y,`$`(_x,i0))=_y[i0],i0=1..n),y=_y[0]},ode);

f :=[solve(F,_y[n])];

for j0 from 1 to nops(f) do

 f1 :=op(j0,f);

 nu :=numer(f1);

 d :=denom(f1);

 B :={};

 F :={};

 a1 :={};

 b1 :={};

 c1 :={};

 s1 :={};


if type(nu,`*`)=true then nu1 :={op(nu)} else nu1 :={nu}; fi;

 nu2 :=nu1;

 for i to nops(nu1) do

     if select(type,indets(op(i,nu1)),name)={op(n+1,Largs)} then

     nu2 :=nu2 minus {op(i,nu1)};

       if type(op(i,nu1),`^`) then B :=B union {op(1,op(i,nu1))};

     else B :=B union {op(i,nu1)};

       fi;

     fi;

 od;

 num :=convert(nu2,`*`);

 if type(d,`*`)=true then d1 :={op(d)}; else d1 :={d}; fi;

 d2 :=d1;

 for j to nops(d1) do

     if type(op(j,d1),constant) then d2 :=d2 minus {op(j,d1)}; fi;

     if select(type,indets(op(j,d1)),name) intersect {op(n+1,Largs)}={}

     and not type(op(j,d1),constant) then

       if type(op(j,d1),`^`) then B :=B union {op(1,op(j,d1))};

     else B :=B union {op(j,d1)};

       fi;

     fi;

 od;

 den :=convert(d2,`*`);


#1

 F1 :={};

 F2 :={};


 for k to nops(d2) do

 ard1 := select(type,indets(op(k,d2)),name)minus{op(n+1,Largs)};

   for i1 to nops(ard1) do

     a :=CC(op(k,d2),num, op(i1,ard1));

     if type(a,`*`)=true then a1 :={op(a)}; else a1 :={a}; fi;

     F1 :=F1 union SEL(a1,n);

   od;

 od;

 for k1 to nops(nu2) do

 ard2 := select(type,indets(op(k1,nu2)),name) minus {op(n+1,Largs)};

   for j1 to nops(ard2) do

     b :=CC(op(k1,nu2),den, op(j1,ard2));

     if type(b,`*`)=true then b1 :={op(b)}; else b1 :={b}; fi;

      F2 :=F2 union SEL(b1,n);

   od;

 od;

F3 :=F1 intersect F2;

BB :=Cand_Sel(F3, nu,d,n);

B :=B union BB; F :=F union BB;

#2

FF[1]:=F;

for v from 1 by 1 to 3 do

  if FF[v]<>{} then

    F1 :={};

    F2 :={};

    FF[v+1] :={};

    for k2 to nops(FF[v]) do

     ard3 :=         select(type,indets(op(k2,FF[v])),name)minus{op(n+1,Largs)};

       for i2 to nops(ard3) do     

         c :=CC(op(k2,FF[v]),num, op(i2,ard3));

         s :=CC(op(k2,FF[v]),den, op(i2,ard3));

         if type(c,`*`)=true then c1 :={op(c)}; else c1 :={c}; fi;

         if type(s,`*`)=true then s1 :={op(s)}; else s1 :={s}; fi;

         F1 :=F1 union SEL(c1,n);

         F2 :=F2 union SEL(s1,n);

       od;

    od;

    F3 :=F1 intersect F2;

    BB :=Cand_Sel(F3, nu,d,n); BB1 :=B; B :=B union BB;

    FF[v+1] :=FF[v+1] union (B minus BB1);

  fi;

od;

#3

if B={} then

 F1 :={};

 F2 :={};

 ard4 := Sargs minus {op(n+1,Largs)};

 for j2 to nops(ard4) do

  din :=factor(a_a*simplify(diff(num,op(j2,ard4))));

  did :=factor(a_a*simplify(diff(den,op(j2,ard4))));

  if type (din,`*`)=true then din1 :={op(din)}; else din1 :={din}; fi;

  if type (did,`*`)=true then did1 :={op(did)}; else did1 :={did}; fi;

  F1 :=F1 union SEL(din1,n);

  F2 :=F2 union SEL(did1,n);

 od;


 BB :=Cand_Sel(F1, nu,d,n); B :=B union BB;

 BB :=Cand_Sel(F2, nu,d,n); B :=B union BB;

fi;

A :=product(op(l,B)^_X[l],l=1..nops(B));

mu1 :=d/A;

hyp1 :=subs(seq(_y[i3]=diff(y,`$`(_x,i3)),i3=1..(n-1)),_y[0]=y,mu1);

ode1 :=diff(y,`$`(_x,n))-subs(seq(_y[i3]=diff(y,`$`(_x,i3)),i3=1..(n-1)),_y[0]=y,f1);

if args[nargs]<>str then

  unn :={seq(_X[l1],l1=1..nops(B))};

  sols2 :={solve({ODETools[gensys](ode1, _mu = hyp1)},unn)};

  for ik from 1 to nops(sols2) do

    if has(op(ik,sols2),Largs)=false then

      mu:=subs(op(ik,sols2),hyp1);

    RETURN(mu)

    fi;

  od;

 else print(mu_hyp=hyp1);

 fi;

od;

end proc:


koif_2

> koif_2 :=proc(ode,y,con)
local f1,nu,num,d,den,Pro_Cand_Sel,Cand_Sel,Min_Ord,G_Cand,A,B,B1,B2,B3,F,d1,d2,nu1,nu2,ar1,ar10,a1,b,f,g,j,j0,i,ik,k,kk,kmm,km,s,ss,n,_x,hyp1,mu,mu1,ode1,unn,sols2,mug,L,Largs,Sargs;

option `Copyright (c) 2004 by Yuri N. Kosovtsov. All rights reserved.`;


Pro_Cand_Sel :=proc(Q,P,ar1,Sargs,Min_Ord)

local a_a,i,ii,ar2,ar20,KK,KK1,KK2,RR;

KK :={};

KK2 :={};

RR :=simplify(subs(ar1=RootOf(Q,ar1),P));

ar20 :=select(type,indets(RR),name) intersect Sargs;

if ar20<>{} then

 ar2 :=Min_Ord(P,ar20,0);

 if simplify(diff(RR,ar2))<>0 then

   KK1 :=factor(a_a*lhs(ODETools[remove_RootOf](ar2=RootOf(RR,ar2))));

   if type(KK1,`*`)=true then

    for i from 1 to nops(KK1) do

     if select(type,indets(op(i,KK1)),name) intersect Sargs <> {}

and has(op(i,KK1),RootOf)=false then

       KK2 :=KK2 union {op(i,KK1)}

     fi;

    od;

    for ii from 1 to nops(KK2) do

      if type(op(ii,KK2),`^`)=true then

        KK :=KK union {op(1,op(ii,KK2))} else KK :=KK union {op(ii,KK2)};

      fi;

    od;

     else KK :=KK union {KK2}

   fi;

 fi;

fi;

RETURN(KK)

end proc:


Cand_Sel :=proc(Q,nu,d,Largs,Min_Ord,n)

local a_a,aaa,ar11,A,k,jjj,sols1,R1,DD,EQ1,YY,W,Can,Cand,RD_Cand;

Cand :={};

YY :={seq(Y[j], j=1..nops(Q))};

W :=sum(Y[ik]*op(ik,Q), ik=1..nops(Q));

RD_Cand :=diff(W,op(nops(Largs),Largs));

A :=[seq(diff(W,op(g,Largs)), g=2..n)];

DD :=diff(W,op(1,Largs))+sum(op(gg+2,Largs)*op(gg,A),gg=1..n-1);

aaa :=select(type,indets(W),name)  intersect convert(Largs,set);

if aaa<>{}then

 ar11 :=Min_Ord(W,aaa,0);

 R1 :=ar11=RootOf(W,ar11);

 EQ1 :=numer(factor(subs(R1,nu*RD_Cand+d*DD)));

 sols1 :={solve({EQ1},YY)};

 for k from 1 to nops(sols1) do

   if has(op(k,sols1),Largs)=false then

     Can :=factor(a_a*subs(seq(Y[jj]=1,jj=1..nops(Q)),subs(op(k,sols1),W)));

     for jjj from 1 to nops(Can) do

       if (select(type,indets(op(jjj,Can)),name) intersect convert(Largs,set))<>{} then

         Cand := Cand union {op(jjj,Can)};

       fi;

     od;

   fi;

 od;

fi;

RETURN(Cand)

end proc:



Min_Ord :=proc(Q,Sargs,Ra)

local A,C,Args;

Args :=(Sargs minus {Ra}) intersect select(type,indets(Q),name);

if Args <> {} then

 A :=sort(convert({seq(op(l,Args)^degree(Q,op(l,Args)),l=1..nops(Args))},`+`));

 if nops(Args)>1 then

   if type(op(nops(A),A),`^`)=true then

     C :=op(1,op(nops(A),A))

     else C :=op(nops(A),A)

   fi;

   else C :=op(1,Args);

 fi;

 else C :=NULL

fi;

RETURN(C)

end proc:


G_Cand :=proc(PC,num,d,Sargs,Pro_Cand_Sel,Min_Ord,n)

local a,ar11,G;

G :={};

ar11 :=Min_Ord(PC,Sargs,0);

if {ar11}<>{} then

 a :=Pro_Cand_Sel(PC,num,ar11,Sargs,Min_Ord) intersect   Pro_Cand_Sel(PC,d,ar11,Sargs,Min_Ord);

 G :={PC} union a;

fi;

RETURN(G)

end proc:


_x :=op(1,select(type,indets(y),name));

n :=PDEtools[difforder](ode);

Largs :=[_x,seq(_y[m],m=0..n-1)];

Sargs :=convert(Largs,set);

F :=subs({seq(diff(y,`$`(_x,i0))=_y[i0],i0=1..n),y=_y[0]},ode);

f :=[solve(F,_y[n])];

for j0 from 1 to nops(f) do

 f1 :=op(j0,f);

 nu :=numer(f1);

 d :=denom(f1);

 B :={};  

 if type(nu,`*`)=true then nu1 :={op(nu)} else nu1 :={nu}; fi;

   nu2 :=nu1;

   for i to nops(nu1) do

     if select(type,indets(op(i,nu1)),name)={op(n+1,Largs)} then

     nu2 :=nu2 minus {op(i,nu1)};

       if type(op(i,nu1),`^`) then B :=B union {op(1,op(i,nu1))};

     else B :=B union {op(i,nu1)};

       fi;

     fi;

   od;

   num :=convert(nu2,`*`);

   if type(d,`*`)=true then d1 :={op(d)}; else d1 :={d}; fi;

   d2 :=d1;

     for j to nops(d1) do

       if type(op(j,d1),constant) then d2 :=d2 minus {op(j,d1)}; fi;

       if select(type,indets(op(j,d1)),name) intersect {op(n+1,Largs)}={}

         and not type(op(j,d1),constant) then

         if type(op(j,d1),`^`) then B :=B union {op(1,op(j,d1))};

          else B :=B union {op(j,d1)};

         fi;

       fi;

     od;

   den :=convert(d2,`*`);


#1

 B1 :={};

 for k from 1 to nops(d2) do

   B2 :={};

   ar10 :=(select(type,indets(op(k,d2)),name) intersect     select(type,indets(num),name) ) intersect Sargs;

     if ar10<>{} then

       for km from 1 to nops(ar10) do

         ar1 :=op(km,ar10);

         a1 :=sort(convert(Pro_Cand_Sel(op(k,d2),num,ar1,Sargs,Min_Ord),list),length);

         for kk from 1 to nops(a1)-1 do

           if select(type,indets(op(kk,a1)),name) intersect Sargs <>{}

             then

             g :=G_Cand(op(kk,a1),num,d,Sargs,Pro_Cand_Sel,Min_Ord);

             B2 :=B2 union Cand_Sel(g,nu,d,Largs,Min_Ord,n);

             B1 :=B1 union B2;

           fi;

         od;

       od;

     fi;

   od;

 B :=B union B1;


#2

 for L from 1 to 2 do

   B3 :={};

   for s from 1 to nops(B1) do

     ar10 :=((select(type,indets(op(s,B1)),name) intersect select(type,indets(num),name) )intersect select(type,indets(d),name)) intersect Sargs;

     if ar10 <>{} then

       for kmm from 1 to nops(ar10) do

         ar1 :=op(kmm,ar10);

         B2 :={};

         a1 :=Pro_Cand_Sel(op(s,B1),num,ar1,Sargs,Min_Ord) intersect Pro_Cand_Sel(op(s,B1),d,ar1,Sargs,Min_Ord);

         for ss from 1 to nops(a1) do

           g :=G_Cand(op(ss,a1),num,d,Sargs,Pro_Cand_Sel,Min_Ord);

           B2 :=B2 union Cand_Sel(g,nu,d,Largs,Min_Ord,n);

           B3 :=B3 union B2;

         od;

       od;

     fi;

   od;

   B1 :=B3;

   B :=B union B3;

 od;


 A :=product(op(l,B)^_X[l],l=1..nops(B));

 mu1 :=d/A;

 hyp1 :=subs(seq(_y[i3]=diff(y,`$`(_x,i3)),i3=1..(n-1)),_y[0]=y,mu1);

 ode1 :=diff(y,`$`(_x,n))-subs(seq(_y[i3]=diff(y,`$`(_x,i3)),i3=1..(n-1)),_y[0]=y,f1);

 if args[nargs]<>str then

   unn :={seq(_X[l1],l1=1..nops(B))};

   sols2 :={solve({ODETools[gensys](ode1, _mu = hyp1)},unn)};

   for ik from 1 to nops(sols2) do

     if has(op(ik,sols2),Largs)=false then

       mu:=subs(op(ik,sols2),hyp1);

       RETURN(mu)

     fi;

   od;

   else

   print(mu_hyp=hyp1);

 fi;

od;

end proc:


>

Execute p.3 before runing examples!

Examples

> PDEtools[declare](y(x),prime=x);

y(x)*`will now be displayed as`*y

`derivatives with respect to`*x*`of functions of one variable will now be displayed with '`

2nd order ODE (koif_1)

> ode := diff(y(x),`$`(x,2)) = diff(y(x),x)*(-2*diff(y(x),x)-y(x)-2+2*x^2*diff(y(x),x)+x^2-x*diff(y(x),x))/x/(-y(x)-2+2*x+2*x*y(x));

ode := `y''` = `y'`*(-2*`y'`-y-2+2*x^2*`y'`+x^2-x*`y'`)/(x*(-y-2+2*x+2*x*y))

> mu :=koif_1(ode,y(x));

mu := x*(-y-2+2*x+2*x*y)/((2*`y'`+y+2)^(2-_X[2])*(2*x*`y'`+x-`y'`)^_X[2]*x^(2-_X[2]))

> ODETools[mutest](mu,ode);

0

>

3rd order ODE (koif_1)

> ode := diff(y(x),`$`(x,3)) = -(-x*alpha*diff(y(x),x)*diff(y(x),`$`(x,2))+y(x)*diff(y(x),`$`(x,2))^2+y(x)*beta+diff(y(x),x)*x^3+diff(y(x),x)*x*diff(y(x),`$`(x,2))^2+diff(y(x),x)*x*beta+diff(y(x),`$`(x,2))^2*alpha*x^2+diff(y(x),`$`(x,2))^4*alpha+diff(y(x),`$`(x,2))^2*alpha*beta)/(-diff(y(x),`$`(x,2))*x*y(x)+alpha*diff(y(x),x)*x^2+alpha*diff(y(x),x)*beta);

ode := `y'''` = -(-x*alpha*`y'`*`y''`+y*`y''`^2+y*beta+`y'`*x^3+`y'`*x*`y''`^2+`y'`*x*beta+`y''`^2*alpha*x^2+`y''`^4*alpha+`y''`^2*alpha*beta)/(-`y''`*x*y+alpha*`y'`*x^2+alpha*`y'`*beta)

> mu :=koif_1(ode,y(x));

mu := (`y''`*x*y-alpha*`y'`*x^2-alpha*`y'`*beta)/((`y''`^2+beta+x^2)^(3/2-1/2*_X[2])*(x*y+`y''`*`y'`*alpha)^_X[2])

> ODETools[mutest](mu,ode);

0

>

2nd order ODE with trigonometric functions (koif_1)

> ode := diff(y(x),`$`(x,2)) = -(cos(y(x)+diff(y(x),x))*(x^2+2*x*diff(y(x),x)+beta*diff(y(x),x)^2)+(x+diff(y(x),x))*x*sin(y(x)+diff(y(x),x))*diff(y(x),x)*(beta*diff(y(x),x)+x))/(cos(y(x)+diff(y(x),x))*x*(beta-1)+sin(y(x)+diff(y(x),x))*(x+diff(y(x),x))*(beta*diff(y(x),x)+x))/x;

ode := `y''` = -(cos(y+`y'`)*(x^2+2*x*`y'`+beta*`y'`^2)+(x+`y'`)*x*sin(y+`y'`)*`y'`*(beta*`y'`+x))/((cos(y+`y'`)*x*(beta-1)+sin(y+`y'`)*(x+`y'`)*(beta*`y'`+x))*x)

> mu :=koif_1(ode,y(x));

mu := (cos(y+`y'`)*x*beta-cos(y+`y'`)*x+sin(y+`y'`)*`y'`*x*beta+sin(y+`y'`)*x^2+sin(y+`y'`)*beta*`y'`^2+x*sin(y+`y'`)*`y'`)*x/(x^(2-_X[2])*cos(y+`y'`)^_X[2]*(x+`y'`)^_X[2]*(beta*`y'`+x)^(2-_X[2]))

> ODETools[mutest](mu,ode);

0

>

2nd order ODE with an arbitrary function (koif_1)

> ode := diff(y(x),`$`(x,2)) = -(g(y(x)+diff(y(x),x))*(2*x+beta*diff(y(x),x))+diff(y(x),x)*D(g)(y(x)+diff(y(x),x)))/(beta*x*g(y(x)+diff(y(x),x))+D(g)(y(x)+diff(y(x),x)));

ode := `y''` = -(g(y+`y'`)*(2*x+beta*`y'`)+`y'`*D(g)(y+`y'`))/(beta*x*g(y+`y'`)+D(g)(y+`y'`))

> mu :=koif_1(ode,y(x));

mu := (beta*x*g(y+`y'`)+D(g)(y+`y'`))/g(y+`y'`)

> ODETools[mutest](mu,ode);

0

>

2nd order ODE (koif_2)

> ode := diff(y(x),`$`(x,2)) = -(-x^2-2*y(x)*x-2*x*diff(y(x),x)^2+y(x)+diff(y(x),x)-diff(y(x),x)*x-diff(y(x),x)^3+diff(y(x),x)*x^2+diff(y(x),x)^2)/(-x-y(x)+diff(y(x),x)^2+2*diff(y(x),x)*x^2+2*diff(y(x),x)*y(x));

ode := `y''` = -(-x^2-2*x*y-2*x*`y'`^2+y+`y'`-`y'`*x-`y'`^3+`y'`*x^2+`y'`^2)/(-x-y+`y'`^2+2*`y'`*x^2+2*`y'`*y)

> mu :=koif_2(ode,y(x));

mu := (-x-y+`y'`^2+2*`y'`*x^2+2*`y'`*y)/((x^2+y+`y'`)^(2-_X[3]-_X[4])*(x-1+`y'`)^_X[4]*(`y'`^2+y+x)^_X[3]*(x-`y'`)^_X[4])

> ODETools[mutest](mu,ode);

0

>

3rd order ODE (koif_2)

> ode := diff(y(x),`$`(x,3)) = -(-x^2*y(x)-2*x*diff(y(x),x)*diff(y(x),`$`(x,2))+y(x)^2*diff(y(x),x)+y(x)*diff(y(x),`$`(x,2))^2-diff(y(x),x)^3*diff(y(x),`$`(x,2))+diff(y(x),x)*x^3+diff(y(x),x)*x*diff(y(x),`$`(x,2))^2-diff(y(x),`$`(x,2))*x*y(x)^2+x^2*diff(y(x),`$`(x,2))^2+diff(y(x),`$`(x,2))^4)/(-2*diff(y(x),`$`(x,2))*x*y(x)-diff(y(x),x)*diff(y(x),`$`(x,2))^2+x^2*diff(y(x),x)+y(x)*diff(y(x),x)^2);

ode := `y'''` = -(-y*x^2-2*x*`y'`*`y''`+y^2*`y'`+y*`y''`^2-`y'`^3*`y''`+`y'`*x^3+`y'`*x*`y''`^2-`y''`*x*y^2+x^2*`y''`^2+`y''`^4)/(-2*`y''`*x*y-`y'`*`y''`^2+`y'`*x^2+y*`y'`^2)

> mu :=koif_2(ode,y(x));

mu := (2*`y''`*x*y+`y'`*`y''`^2-`y'`*x^2-y*`y'`^2)/(`y'`*y+x^2+`y''`^2)^2

> ODETools[mutest](mu,ode);

0

>

4th order ODE (koif_2)

> ode := diff(y(x),`$`(x,4)) = (x*diff(y(x),x)^2*diff(y(x),`$`(x,2))*diff(y(x),`$`(x,3))+y(x)*diff(y(x),x)*diff(y(x),`$`(x,2))*diff(y(x),`$`(x,3))+diff(y(x),`$`(x,2))^2*x*y(x)*diff(y(x),`$`(x,3))+diff(y(x),`$`(x,3))^2*x*y(x)*diff(y(x),x)+diff(y(x),`$`(x,3))*x*y(x)^2*diff(y(x),x)+diff(y(x),`$`(x,3))*x^2*y(x)*diff(y(x),x)+diff(y(x),`$`(x,3))*x*y(x)*diff(y(x),x)^2+x*diff(y(x),x)^3*diff(y(x),`$`(x,2))+x^2*diff(y(x),x)^2*diff(y(x),`$`(x,2))+y(x)*diff(y(x),x)*diff(y(x),`$`(x,2))^2+y(x)*diff(y(x),x)^2*diff(y(x),`$`(x,2))+y(x)^2*diff(y(x),x)*diff(y(x),`$`(x,2))+x*y(x)*diff(y(x),`$`(x,2))^3+diff(y(x),`$`(x,2))^2*x*y(x)^2+diff(y(x),`$`(x,2))^2*x^2*y(x)+x*diff(y(x),x)^2*diff(y(x),`$`(x,2))^2-diff(y(x),`$`(x,3))-alpha-diff(y(x),`$`(x,3))*alpha-diff(y(x),`$`(x,2))*diff(y(x),`$`(x,3))-diff(y(x),`$`(x,2))*alpha-diff(y(x),x)*alpha-diff(y(x),x)*diff(y(x),`$`(x,3))-diff(y(x),`$`(x,3))^2)/(x*y(x)*diff(y(x),x)*diff(y(x),`$`(x,2))+alpha-x-y(x)-diff(y(x),x)-diff(y(x),`$`(x,2)));

ode := `y''''` = (x*`y'`^2*`y''`*`y'''`+y*`y'`*`y''`*`y'''`+`y''`^2*x*y*`y'''`+`y'''`^2*x*y*`y'`+`y'''`*x*y^2*`y'`+`y'''`*x^2*y*`y'`+`y'''`*x*y*`y'`^2+x*`y'`^3*`y''`+x^2*`y'`^2*`y''`+y*`y'`*`y''`^2+y*...ode := `y''''` = (x*`y'`^2*`y''`*`y'''`+y*`y'`*`y''`*`y'''`+`y''`^2*x*y*`y'''`+`y'''`^2*x*y*`y'`+`y'''`*x*y^2*`y'`+`y'''`*x^2*y*`y'`+`y'''`*x*y*`y'`^2+x*`y'`^3*`y''`+x^2*`y'`^2*`y''`+y*`y'`*`y''`^2+y*...

> mu :=koif_2(ode,y(x));

mu := 1/(x*y*`y'`*`y''`+alpha-x-y-`y'`-`y''`)

> ODETools[mutest](mu,ode);

0

>

Disclaimer: While every effort has been made to validate the solutions in this worksheet, Waterloo Maple Inc. and the contributors are not responsible for any errors contained and are not liable for any damages resulting from the use of this material.