Application Center - Maplesoft

App Preview:

Tetrads and Weyl scalars in canonical form

You can switch back to the summary page by clicking here.

Learn about Maple
Download Application




Tetrads and Weyl scalars in canonical form

 

The material below is about a new development that didn't arrive in time for the launch of Maple 2016 (March) and that complements in a relevant way the ones introduced in Physics in Maple 2016. It is at topic in general relativity, the computation of a canonical form of a tetrad, so that, generally speaking (skipping a technical description) the Weyl scalars are fixed as much as possible (either equal to 0 or to 1) regarding transformations that leave invariant the tetrad metric in a tetrad system of references. Bringing a tetrad in canonical form is a relevant step in the tackling of the equivalence problem between two spacetime metrics, and it is relevant in connection with the digitizing in Maple 2016 of the database of solutions to Einstein's equations of the book Exact Solutions to Einstein Field Equations.

The reference for this development is the book "General Relativity, an Einstein century survey", edited by S.W. Hawking (Cambridge) and W. Israel (U. Alberta, Canada), specifically Chapter 7 written by S. Chandrasekhar, and more specifically exploring what is said in page 388 about the Petrov classification.


A canonical form for the tetrad and Weyl scalars admits alternate forms; the implementation is as implicit in page 388:

 

`Ψ__0`

`Ψ__1`

`Ψ__2`

`Ψ__3`

`Ψ__4`

Residual invariance

Petrov type I

0

"<>0"

"<>0"

1

0

none

Petrov type II

0

0

"<>0"

1

0

none

Petrov type III

0

0

0

1

0

none

Petrov type D

0

0

"<>0"

0

0

`&Psi;__2`  remains invariant under rotations of Class III

Petrov type N

0

0

0

0

1

`&Psi;__4` remains invariant under rotations of Class II

The transformations (rotations of the tetrad system of references) used are of Class I, II and III as defined in Chandrasekar's chapter - equations (7.79) in page 384, (7.83) and (7.84) in page 385. Transformations of Class I can be performed with the command Physics:-Tetrads:-TransformTetrad using the optional argument nullrotationwithfixedl_, of Class II using nullrotationwithfixedn_ and of Class III by calling TransformTetrad(spatialrotationsm_mb_plan, boostsn_l_plane), so with the two optional arguments simultaneously.

 

In this development, a new optional argument, canonicalform got implemented to TransformTetrad so that the whole sequence of three transformations of Classes I, II and III is performed automatically, in one go. Regarding the canonical form of the tetrad, the main idea is that from the change in the Weyl scalars one can derive the parameters entering tetrad transformations that result in a canonical form of the tetrad. 

 

with(Physics); with(Tetrads)

`Setting lowercaselatin letters to represent tetrad indices `

0, "%1 is not a command in the %2 package", Tetrads, Physics

0, "%1 is not a command in the %2 package", Tetrads, Physics

[IsTetrad, NullTetrad, OrthonormalTetrad, PetrovType, SimplifyTetrad, TransformTetrad, e_, eta_, gamma_, l_, lambda_, m_, mb_, n_]

(1)

(Note the Tetrads:-PetrovType command, unfinished in the first release of Maple 2016.) To run the following computations you need to update your Physics library to the latest version from the Maplesoft R&D Physics webpage, so with this datestamp or newer:

Physics:-Version()

"/Users/ecterrab/Maple/lib/Physics2016.mla", `2016, April 20, 12:56 hours`

(2)

An Example of Petrov type I

There are six Petrov types: I, II, III, D, N and O. Start with a spacetime metric of Petrov type "I"  (the numbers always refer to the equation number in the "Exact solutions to Einstein's field equations" textbook)

g_[[12, 21, 1]]

`Systems of spacetime Coordinates are: `*{X = (t, x, y, phi)}

`Default differentiation variables for d_, D_ and dAlembertian are: `*{X = (t, x, y, phi)}

`The McLenaghan, Tariq (1975), Tupper (1976) metric in coordinates `[t, x, y, phi]

`Parameters: `[a, k, kappa0]

"`Comments: `_k parametrizes the most general electromagnetic invariant with respect to the last 3 Killing vectors"

`Resetting the signature of spacetime from "+ - - -" to \`- + + +\` in order to match the signature in the database of metrics:`

g[mu, nu] = (Matrix(4, 4, {(1, 1) = -1, (1, 2) = 0, (1, 3) = 0, (1, 4) = 2*y, (2, 1) = 0, (2, 2) = a^2/x^2, (2, 3) = 0, (2, 4) = 0, (3, 1) = 0, (3, 2) = 0, (3, 3) = a^2/x^2, (3, 4) = 0, (4, 1) = 2*y, (4, 2) = 0, (4, 3) = 0, (4, 4) = x^2-4*y^2}))

(3)

The Weyl scalars

Weyl[scalars]

psi__0 = (1/4)*((4*I)*x^3*abs(x)^3-abs(x)^6+abs(x)^4*x^2+abs(x)^2*x^4-x^6)/(a^2*abs(x)^4*x^2), psi__1 = 0, psi__2 = -(1/4)*(x^2+abs(x)^2)*(x^4+abs(x)^4)/(a^2*abs(x)^4*x^2), psi__3 = 0, psi__4 = (1/4)*((4*I)*x^3*abs(x)^3-abs(x)^6+abs(x)^4*x^2+abs(x)^2*x^4-x^6)/(a^2*abs(x)^4*x^2)

(4)

... there is abs around. Let's assume everything is positive to simplify formulas, use Capital Physics:-Assume  (the lower case assume  command redefines the assumed variables, so it is not compatible with Physics, DifferentialGeometry and VectorCalculus among others).

Assume(x > 0, y > 0, a > 0)

{a::(RealRange(Open(0), infinity))}, {x::(RealRange(Open(0), infinity))}, {y::(RealRange(Open(0), infinity))}

(5)

The scalars are now simpler, although still not in "canonical form" because `&Psi;__4` <> 0 and `&Psi;__3` <> 1.

Weyl[scalars]

psi__0 = I/a^2, psi__1 = 0, psi__2 = -1/a^2, psi__3 = 0, psi__4 = I/a^2

(6)

The Petrov type

PetrovType()

"I"

(7)

The  call to Tetrads:-TransformTetrad two lines below transforms the current tetrad ,

e_[]

Physics:-Tetrads:-e_[a, mu] = Matrix(%id = 18446744078512745638)

(8)

into another tetrad such that the Weyl scalars are in canonical form, which for Petrov "I" type happens when `&Psi;__0` = 0, `&Psi;__4` = 0 and `&Psi;__3` = 1.

TransformTetrad(canonicalform)

Matrix(%id = 18446744078500192254)

(9)

Despite the fact that the result is a much more complicated tetrad, this is an amazing result in that the resulting Weyl scalars are all fixed (see below).  Let's first verify that this is indeed a tetrad, and that now the Weyl scalars are in canonical form

"IsTetrad(?)"

`Type of tetrad: null `

true

(10)

Set (9) to be the tetrad in use and recompute the Weyl scalars

"Setup(tetrad = ?):"

Inded we now have `&Psi;__0` = 0, `&Psi;__4` = 0 and `&Psi;__3` = 1 

simplify([Weyl[scalars]])

[psi__0 = 0, psi__1 = (-1/2-(3/2)*I)/a^4, psi__2 = (-1+I)/a^2, psi__3 = 1, psi__4 = 0]

(11)

So Weyl scalars computed after setting the canonical tetrad (9) to be the tetrad in use are in canonical form. Great! NOTE: computing the canonicalWeyl scalars is not really the difficult part, and within the code, these scalars (11) are computed before arriving at the tetrad (9). What is really difficult (from the point of view of computational complexity and simplifications) is to compute the actual canonical form of the tetrad (9).

 

An Example of Petrov type II

Consider this other solution to Einstein's equation (again, the numbers in g_[[24,37,7]] always refer to the equation number in the "Exact solutions to Einstein's field equations" textbook)

g_[[24, 37, 7]]

`Systems of spacetime Coordinates are: `*{X = (u, v, x, y)}

`Default differentiation variables for d_, D_ and dAlembertian are: `*{X = (u, v, x, y)}

`The Stephani metric in coordinates `[u, v, x, y]

`Parameters: `[f(x), a, Psi1(u, x, y)]

"`Comments: `Case 6 from Table 24.1:_Psi1(u,x,y): diff(_Psi1(u,x,y),x,x)+diff(_Psi1(u,x,y),y,y)=0, diff(x*diff(_M(u,x,y),x),x)+x*diff(_M(u,x,y),y,y)=_kappa0*(diff(_Psi(u,x,y),x)^2+diff(_Psi(u,x,y),y)^2)"

g[mu, nu] = (Matrix(4, 4, {(1, 1) = -2*x*(f(x)+y*a), (1, 2) = -x, (1, 3) = 0, (1, 4) = 0, (2, 2) = 0, (2, 3) = 0, (2, 4) = 0, (3, 3) = 1/x^(1/2), (3, 4) = 0, (4, 4) = 1/x^(1/2)}, storage = triangular[upper], shape = [symmetric]))

(12)

Check the Petrov type

PetrovType()

"II"

(13)

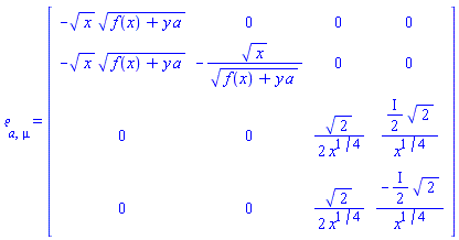
The starting tetrad

e_[]

Physics:-Tetrads:-e_[a, mu] = Matrix(%id = 18446744078835577550)

(14)

results in Weyl scalars not in canonical form:

Weyl[scalars]

psi__0 = 0, psi__1 = 0, psi__2 = (1/8)/x^(3/2), psi__3 = 0, psi__4 = -((3*I)*a-2*x*(diff(diff(f(x), x), x))-3*(diff(f(x), x)))/(x^(1/2)*(4*y*a+4*f(x)))

(15)

For Petrov type "II", the canonical form is as for type "I" but in addition `&Psi;__1` = 0. Again let's assume positive, not necessary, but to get simpler formulas around

Assume(f(x) > 0, x > 0, y > 0, a > 0)

{a::(RealRange(Open(0), infinity))}, {x::(RealRange(Open(0), infinity)), (-f(x))::(RealRange(-infinity, Open(0))), (f(x))::(RealRange(Open(0), infinity))}, {y::(RealRange(Open(0), infinity))}

(16)

Compute now a canonical form for the tetrad, to be used instead of (14)

TransformTetrad(canonicalform)

Matrix(%id = 18446744078835949430)

(17)

Set this tetrad and check the Weyl scalars again

"Setup(tetrad = ?):"

Weyl[scalars]

psi__0 = 0, psi__1 = 0, psi__2 = (1/8)/x^(3/2), psi__3 = 1, psi__4 = 0

(18)

This result (18) is fantastic. Compare these Weyl scalars with the ones (15) before transforming the tetrad.

 

An Example of Petrov type III

g_[[12, 35, 1]]

`Systems of spacetime Coordinates are: `*{X = (u, x, y, z)}

`Default differentiation variables for d_, D_ and dAlembertian are: `*{X = (u, x, y, z)}

`The Kaigorodov (1962), Cahen (1964), Siklos (1981), Ozsvath (1987) metric in coordinates `[u, x, y, z]

`Parameters: `[Lambda]

g[mu, nu] = (Matrix(4, 4, {(1, 1) = 0, (1, 2) = exp(-2*z), (1, 3) = 0, (1, 4) = 0, (2, 2) = exp(4*z), (2, 3) = 2*exp(z), (2, 4) = 0, (3, 3) = 2*exp(-2*z), (3, 4) = 0, (4, 4) = 3/abs(Lambda)}, storage = triangular[upper], shape = [symmetric]))

(19)

Assume(z > 0, Lambda > 0)

{Lambda::(RealRange(Open(0), infinity))}, {z::(RealRange(Open(0), infinity))}

(20)

The Petrov type and the original tetrad

PetrovType()

"III"

(21)

e_[]

Physics:-Tetrads:-e_[a, mu] = Matrix(%id = 18446744078349449926)

(22)

This tetrad results in the following scalars

Weyl[scalars]

psi__0 = -2*Lambda*2^(1/2)+(11/4)*Lambda, psi__1 = -(1/2)*Lambda*2^(1/2)+(3/4)*Lambda, psi__2 = (1/4)*Lambda, psi__3 = -(1/2)*Lambda*2^(1/2)-(3/4)*Lambda, psi__4 = 2*Lambda*2^(1/2)+(11/4)*Lambda

(23)

that are not in canonical form, which for Petrov type III is as in Petrov type II but in addition we should have `&Psi;__2` = 0.

Compute now a canonical form for the tetrad

TransformTetrad(canonicalform)

Matrix(%id = 18446744078500057566)

(24)

Set this one to be the tetrad in use and recompute the Weyl scalars

"Setup(tetrad = ?):"

Weyl[scalars]

psi__0 = 0, psi__1 = 0, psi__2 = 0, psi__3 = 1, psi__4 = 0

(25)

Great!``

An Example of Petrov type N

g_[[12, 6, 1]]

`Systems of spacetime Coordinates are: `*{X = (u, v, y, z)}

`Default differentiation variables for d_, D_ and dAlembertian are: `*{X = (u, v, y, z)}

`The Defrise (1969) metric in coordinates `[u, v, y, z]

`Parameters: `[Lambda, kappa0]

"`Comments: `_Lambda < 0 required for a pure radiation solution"

g[mu, nu] = (Matrix(4, 4, {(1, 1) = 0, (1, 2) = -(3/2)/(y^2*Lambda), (1, 3) = 0, (1, 4) = 0, (2, 2) = -3/(y^4*Lambda), (2, 3) = 0, (2, 4) = 0, (3, 3) = 3/(y^2*Lambda), (3, 4) = 0, (4, 4) = 3/(y^2*Lambda)}, storage = triangular[upper], shape = [symmetric]))

(26)

Assume(y > 0, Lambda > 0)

{Lambda::(RealRange(Open(0), infinity))}, {y::(RealRange(Open(0), infinity))}

(27)

PetrovType()

"N"

(28)

The original tetrad and related Weyl scalars are not in canonical form:

e_[]

Physics:-Tetrads:-e_[a, mu] = Matrix(%id = 18446744078404437406)

(29)

Weyl[scalars]

psi__0 = -(1/4)*Lambda, psi__1 = -((1/4)*I)*Lambda, psi__2 = (1/4)*Lambda, psi__3 = ((1/4)*I)*Lambda, psi__4 = -(1/4)*Lambda

(30)

For Petrov type "N", the canonical form has `&Psi;__4` <> 0 and all the other `&Psi;__n` = 0.

Compute a canonical form, set it to be the tetrad in use and recompute the Weyl scalars

TransformTetrad(canonicalform)

Matrix(%id = 18446744078518486190)

(31)

"Setup(tetrad = ?):"

Weyl[scalars]

psi__0 = 0, psi__1 = 0, psi__2 = 0, psi__3 = 0, psi__4 = 1

(32)

All as expected.

An Example of Petrov type D

 

g_[[12, 8, 4]]

`Systems of spacetime Coordinates are: `*{X = (t, x, y, z)}

`Default differentiation variables for d_, D_ and dAlembertian are: `*{X = (t, x, y, z)}

`The  metric in coordinates `[t, x, y, z]

`Parameters: `[A, B]

"`Comments: `k = 0, kprime = 1, not an Einstein metric"

g[mu, nu] = (Matrix(4, 4, {(1, 1) = -B^2*sin(z)^2, (1, 2) = 0, (1, 3) = 0, (1, 4) = 0, (2, 2) = A^2, (2, 3) = 0, (2, 4) = 0, (3, 3) = A^2*x^2, (3, 4) = 0, (4, 4) = B^2}, storage = triangular[upper], shape = [symmetric]))

(33)

Assume(A > 0, B > 0, x > 0, 0 <= z and z <= (1/4)*Pi)

{A::(RealRange(Open(0), infinity))}, {B::(RealRange(Open(0), infinity))}, {x::(RealRange(Open(0), infinity))}, {z::(RealRange(0, (1/4)*Pi))}

(34)

PetrovType()

"D"

(35)

The default tetrad and related Weyl scalars are not in canonical form, which for Petrov type "D" is with `&Psi;__2` <> 0 and all the other `&Psi;__n` = 0

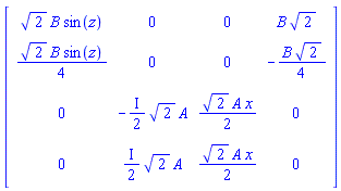
e_[]

Physics:-Tetrads:-e_[a, mu] = Matrix(%id = 18446744078503920694)

(36)

Weyl[scalars]

psi__0 = (1/4)/B^2, psi__1 = 0, psi__2 = (1/12)/B^2, psi__3 = 0, psi__4 = (1/4)/B^2

(37)

Transform the  tetrad, set it and recompute the Weyl scalars

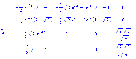
TransformTetrad(canonicalform)

Matrix(%id = 18446744078814996830)

(38)

"Setup(tetrad=?):"

Weyl[scalars]

psi__0 = 0, psi__1 = 0, psi__2 = -(1/6)/B^2, psi__3 = 0, psi__4 = 0

(39)

Again the expected canonical form of the Weyl scalars, and `&Psi;__2` <> 0 remains invariant under transformations of Class III.

 

An Example of Petrov type O

 

Finally an example of type "O". This corresponds to a conformally flat spacetime, for which the Weyl tensor (and with it all the Weyl scalars) vanishes. So the code just interrupts with "not implemented for conformally flat spactimes of Petrov type O"

g_[[8, 33, 1]]

`Systems of spacetime Coordinates are: `*{X = (t, x, y, z)}

`Default differentiation variables for d_, D_ and dAlembertian are: `*{X = (t, x, y, z)}

`The  metric in coordinates `[t, x, y, z]

`Parameters: `[K]

"`Comments: `_K=3*_Lambda, _K>0 de Sitter, _K<0 anti-de Sitte"

g[mu, nu] = z

(40)

PetrovType()

"O"

(41)

The Weyl tensor and its scalars all vanish:

Weyl[nonzero]

Physics:-Weyl[mu, nu, alpha, beta] = {}

(42)

simplify(evala([Weyl[scalars]]))

[psi__0 = 0, psi__1 = 0, psi__2 = 0, psi__3 = 0, psi__4 = 0]

(43)

TransformTetrad(canonicalform)

Error, (in Tetrads:-CanonicalForm) canonical form is not implemented for flat or conformally flat spacetimes of Petrov type "O"

NULL