Application Center - Maplesoft

App Preview:

Dispersion of arterial pulse waves

You can switch back to the summary page by clicking here.

Learn about Maple
Download Application




Dispersion of arterial pulse waves

© 2013 G.P.Chuiko,  gp47@mail.ru  and S.I. Shiyan shyiansi@gmail.com,

Petro Mohyla BlackSea State University, Department of medical devices and systems

Mykolayiv, Ukraine

1. Model and problem formulation

Model of fluid flow along the elastic channel with thin walls is used to describe the flow of blood in the large blood vessels  [1,2].  

 

 

 

 

 

Fig.1  The popular model of the arterial blood flow  

The development of a fluid flow in a thin elastic tube may be conditionally dividing into several relatively independent hydrodynamic processes[1,2]:

Stationary transfer of fluid along the tube (channel);

Spread of waves of pressure and deformation of the walls of the tube at a speed that significantly exceeds the stationary velocity of the fluid. These commonly referred as arterial pulse waves (APW);

Occurrence of self-excited oscillations (i.e flutter) because of the instability of the system "stream - elastic walls"

All of these phenomena can be described within the theoretical basis of hydrodynamics -   Navier-Stokes  and continuity equations.

In this paper, we are primarily focusing on the arterial pulse waves, more exactly even their dispersion. It is important because presence of this together with the non-linearity generates the conditions of existence of localized waveforms. Thus, we would like to obtain here the dispersion law for pulse waves with Maple.

2. Dimensional analysis and the law of dispersion

Some problems, like above outlined, were successfully solvable by methods of dimensional analysis [3].  

To do this, let  set the so-called leading control options (variables and constants), which significantly affect the spread of pulse waves. TTo do this, set the so-called lead control parameters (variables and constants), which significantly affect the spread of arterial pulse waves. The following control parameters can form the short list:  the cyclic frequency of the APW (ω), wavenumber (k), kinematic viscosity of blood (μ), a distinctive cross channel size (let it be δ - effective diameter of the artery), blood density (ρ) and effective modulus of elasticity of the arterial wall (C) [1,2].  An equation of state unites the selected factors: 

F(omega, k, mu, delta, rho, C) = 0      (I)

Define the dimensions of control factors:

restart:with(Units):
AddDimension('vawe_number'='length^(-1)'):
AddDimension('elastic_modulus'='pressure'):

map(GetDimension,['frequency','vawe_number','kinematic_viscosity','length','mass_density','elastic_modulus']);

[1/time, 1/length, length^2/time, length, mass/length^3, mass/(length*time^2)]

(2.1)

We need only three fundamental units (length, time and mass: L, T, M) to describe the dimensions of the six control parameters. It can be seen from the list of dimensions (2.1). Therefore, the equation of state (I) may be rewritten in terms of the three (6-3 = 3) dimensionless factors constructed from six primary control parameters in accordance with the famous Bekìngem's theorem [3] . The unit dimension of these three factors Pi[i], i = 1, 2, 3 can be recorded by the dimensions of primary control parameters in the monomial form:

[Pi[1, 2, 3]] = [omega]^r[1]*[k]^r[2]*[mu]^r[3]*[delta]^r[4]*[rho]^r[5]*[C]^r[6] and [omega]^r[1]*[k]^r[2]*[mu]^r[3]*[delta]^r[4]*[rho]^r[5]*[C]^r[6] = L^(-r[2]+2*r[3]+r[4]-3*r[5]-r[6])*T^(-r[1]-r[3]-2*r[6])*M^(r[5]+r[6]) and L^(-r[2]+2*r[3]+r[4]-3*r[5]-r[6])*T^(-r[1]-r[3]-2*r[6])*M^(r[5]+r[6]) = 1
    (II)NULLNULL

hare  r[i], i = 1 .. 6 - are degree indicators.  One can form a system of linear equations for these indicators from the expression (II)

Eq1:=-r2+2*r3+r4-3*r5-r6=0;
Eq2:=-r1-r3-2*r6=0;
Eq3:=r5+r6=0;

-r2+2*r3+r4-3*r5-r6 = 0

-r1-r3-2*r6 = 0

r5+r6 = 0

(2.2)

Get this system in relation to the three indicators that presenting via the other three:

r:=solve([Eq1,Eq2,Eq3],[r2,r5,r6]);# Solutions of (2.2) for r2,r5,r6
assign(r);

[[r2 = r3+r4-r1, r5 = (1/2)*r1+(1/2)*r3, r6 = -(1/2)*r1-(1/2)*r3]]

(2.3)

Lets substitute the solution (2.3) in the monomial expression (II)

omega^r1*k^r2*mu^(r3)*delta^r4*rho^r5*C^r6=1;

omega^r1*k^(r3+r4-r1)*mu^r3*delta^r4*rho^((1/2)*r1+(1/2)*r3)*C^(-(1/2)*r1-(1/2)*r3) = 1

(2.4)

There the dimensions of parameters are noted simply by symbols of them, of course.
Lets apply the method of extremals [4] for unambiguous identification of the rest unknown indicators (r[1], r[3], r[4]) . Taking the logarithm of the left side of the expression (2.4), we write it as a function of those indicators:

p:=(r1,r3,r4)->r1*log(omega)+(r3+r4-r1)*log(k)+(r3)*log(mu)+(r4)*log(delta)+((1/2)*r1+(1/2)*r3)*log(rho)+(-(1/2)*r1-(1/2)*r3)*log(C);

proc (r1, r3, r4) options operator, arrow; r1*log(omega)+(r3+r4-r1)*log(k)+r3*log(mu)+r4*log(delta)+((1/2)*r1+(1/2)*r3)*log(rho)+(-(1/2)*r1-(1/2)*r3)*log(C) end proc

(2.5)

Next, cosequently find the derivatives of the function  (2,5) on its variables, looking for extreme

eq1:=D[1](p)(r1)=0;
eq2:=D[2](p)(r3)=0;
eq3:=D[3](p)(r4)=0;

ln(omega)-ln(k)+(1/2)*ln(rho)-(1/2)*ln(C) = 0

ln(k)+ln(mu)+(1/2)*ln(rho)-(1/2)*ln(C) = 0

ln(k)+ln(delta) = 0

(2.6)

simplify(solve([eq1,eq2,eq3],[omega,mu,delta]));

[[omega = RootOf(-C+rho*_Z^2, label = _L4)*k, mu = RootOf(-C+rho*_Z^2, label = _L2)/k, delta = 1/k]]

(2.7)

The solutions (2.7) are including the unknown expressions (RootOf  type). Let's be clear their contents:

expr1:=RootOf(-C+rho*_Z^2, label = _L4):
expr2:=RootOf(-C+rho*_Z^2, label = _L2):
a:=allvalues(expr1);
b:=allvalues(expr2);

(C/rho)^(1/2), -(C/rho)^(1/2)

(C/rho)^(1/2), -(C/rho)^(1/2)

(2.8)

Thus, the problem is just the selection of right sign for the well-known Moens-Korteweg velocity (2.8) [1,2].
Taking into account  (2.7) and (2.8), find the three dimensionless control parameters

u1:=omega/(a[1]*k);
u2:=mu*k/b[1];
u3:=delta*k;

omega/((C/rho)^(1/2)*k)

mu*k/(C/rho)^(1/2)

k*delta

(2.9)

Now we can rewrite the equation of state for APW in such a form

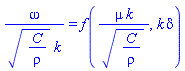
u1=f(u2,u3);

omega/((C/rho)^(1/2)*k) = f(mu*k/(C/rho)^(1/2), k*delta)

(2.10)

Equation (2.10) is actually the law of dispersion for the frequency of the pulse waves  since it is the connection between the frequency and wavenumber. Both dimensionless parameters, which the function  of right part (2.10) depends on, are  proportional to vawe-number.

One of these dimensionless parameters u[3] = k*delta is associated with the forces that act on blood  due the changes of the channel crossing, or the so-called Bernoulli effects. Another parameter (u[2] = mu*k/sqrt(C/rho)) describes the effect of viscous friction on the propagation of the APW.  

Both dimensionless parameters are  proportional vawe-number, that allows us to consider their function as a function of this one variable.  Then the law of dispersion (2.11) can get such a compact form:

omega(k)=a[1]*k*f(k);

omega(k) = (C/rho)^(1/2)*k*f(k)

(2.11)

3. Analysis and simplification of the result

Just the dependence of the  function f(k) = f(u[2], u[3]) on vawe-number, and so its difference from a constant, determines the non-linearity of the dispersion law (2.11). Opposite, the dispersion law becomes linear in the case  f(k) = const  , i.e. the phase and group velocities of APW coincide.

It is easy to see that the ratio of two arguments of function f(u[2], u[3])from  (2.10) is exactly equal to well-known unitless Reynold's number

u3/u2=Rey;

delta*(C/rho)^(1/2)/mu = Rey

(3.1)

This number describes the contribution of the viscous forces in the current mode of the stream.
Evaluations of APW (Moens-Korteweg) velosity as well as Reynolds number according to the data of [1,2] give:

a[1]=eval(a[1],[mu=4e-6,delta=2.4e-2,rho=1.06e3,C=5e4])*Unit('m/s');
Rey=eval(u3/u2,[mu=4e-6,delta=2.4e-2,rho=1.05e3,C=6e4]);

(C/rho)^(1/2) = 6.868028197*Units:-Unit(('m')/('s'))

Rey = 45355.73676

(3.2)

Hence, the  Moens-Korteweg velosity significantly exceeds the typical value for stationary blood flow (about 0.2 m/s), and the Reynolds number for the pulse waves is a few orders of magnitude greater than  unit.  Extremely small parameter u[3]<<u[3] may be naglected in (2.10) according to the recommendations of the theory [3] . From the physical point of view it means choosing the model of ideal fluids for blood flow [1], neglecting the effects of viscous friction on the spread of IAPW.  On the basis of such considerations, the equation of state (2.10) can be rewritten in the following compact and simpler form in comparison with (I) as follows:

u1=f(u3);

omega/((C/rho)^(1/2)*k) = f(k*delta)

(3.3)

Estimation of the APW length is provided in [2] :  `&approx;`(lambda, 2.7*m)NULL, that corresponds to the experimental results [1]. This allows us to evaluate the factor u3

u3=evalf(eval(u3,[k=2*Pi/2.7,delta=2.4e-2]));

k*delta = 0.5585053608e-1

(3.4)

So, this factor is visible smaller of unit and APW shall be taking as long waves. These waves would be considered as short only if the factor u3 excedds the unit (at lambda<=0.157 m).  Let us decompose the function of right side (3.3) nearly to zero point (proc (`k&delta;`) options operator, arrow; 0 end proc). Such decomposition is correct, if this function has a finite limit, and derivatives at this point [3].

fs:=series(f(u), u=0,3):
fs:=convert(fs,polynom);
fs:=eval(fs,[f(0)=A,(D(f))(0)=B,((D@@2)(f))(0)=G]);

f(0)+(D(f))(0)*u+(1/2)*((D@@2)(f))(0)*u^2

A+B*u+(1/2)*G*u^2

(3.5)

Here A, B, G- some digital unitless constants.
Now the dispersion law may be rewritten as follows

omega:=a[1]*k*eval(fs,[u=k*delta]);

(C/rho)^(1/2)*k*(A+B*k*delta+(1/2)*G*k^2*delta^2)

(3.6)

If function (3.3) has not only the finite limit  but an extrema too at zero pint,  then the constant B = 0. The dispersion law (3.6) would be one-to-one with that founded in [2] under such conditions and additional assumings: A = 1, G = 1/12

omega1:=eval(omega,[A=1,B=0,G=1/12]);

(C/rho)^(1/2)*k*(1+(1/24)*k^2*delta^2)

(3.7)

The dispersion law (3.7) is practically linear because second factor within brackets is much smaller of first (see (3.4)).
The velosities of phase propagation as well as of energy transport are determined by (3.6):

v[ph]:=omega/k;
v[gr]:=diff(omega,k);

(C/rho)^(1/2)*(A+B*k*delta+(1/2)*G*k^2*delta^2)

(C/rho)^(1/2)*(A+B*k*delta+(1/2)*G*k^2*delta^2)+(C/rho)^(1/2)*k*(B*delta+G*k*delta^2)

(3.8)

Let us illustrate the dependence of these velosities on vawenumber. Unitless velisities (3.8) were examinated as their ratio to Moens-Korteweg speed with following  assunings: ``A = 1, B = 1/3, G = 1/12  

plot([eval(v[ph]/sqrt(C/rho),[A=1,B=1/3,G=1/12,delta=2.4e-2]),eval(v[gr]/sqrt(C/rho),[A=1,B=1/3,G=1/12,delta=2.4e-2])], k=1.5..3.5,1..1.06,gridlines=true,axes=boxed,color=[red,blue],thickness=3,labels=['k','v'],labelfont=[helvetica,16],legend=[`v[ph]`,`v[gr]`],title=`Fig.2 Pulse vawe speeds (Korteveg-Moens speed units)\n vs vawe number (dispersion)`,font=[helvetica,16]);

Fig.2 shows, thet the velosities are a bit lower for the longer vawes with smaller vawenumbers and vice versa. Such dispersion is named us anomal in optics. The change of sign of B*(B = -1/3)is able to do this dispersion normal.

4. Conclusions

The pointed out dispersion of pulse waves, i.e. visible dependence of their speed on the wave-number (i.e and wave length), is arising just from  analysis of the dimensions. It means, that this effect  "takes a place forever". This allows the soliton-like nature of APW as exact solutions of Navier-Stockes equation in principle,  especially taking into account well-known non-linearity of them. Dispersion and non-linearity can interact to produce permanent and localized wave forms [5] and pulse waves are their examples.

5. References

[1]  T.J. Predley. The Fluid Mechanics of Large Blood Vessels. Cambridge University Press. Cambridge, 1980.-401 pp.

[2]  A.N. Volobuev. A flow of fluid in the elastic-wall tubes.// Uspechi fiz. nauk. 1995.- v.165, №2, p. 177-186 (in Russian)

[3]  G.I. Barenblatt. Scaling, Self-similarity and Intermediate Asymptotics. Cambridge University Press. Cambridge, 1996 .

[4] E.R. Smolyakov. Extrema principle in dimensional theory and new fubdamental physical constants.// Proc. of Institute of System Analysis of Russian Acad. Sci., 2008.— №33, p. 78-95. (in Russian)

[5] P. G. Drazin, ; R. S. Johnson,. Solitons: an introduction (2nd ed.). Cambridge University Press. 1989, ISBN 0-521-33655-4.

 

Legal Notice: The copyright for this application is owned by the author(s). Neither Maplesoft nor the author are responsible for any errors contained within and are not liable for any damages resulting from the use of this material. This application is intended for non-commercial, non-profit use only. Contact the author for permission if you wish to use this application in for-profit activities.