Arc Length
Main Concept
The arc length is defined as the length of a curve. It can be calculated by subdividing the curve into smaller pieces, each of which is approximated by a line segment that connects two points on the curve. Then the sum of the lengths of all of these line segments will approximate the length of the curve; the approximation will be more precise as the size of the line segments decreases. If the endpoints of these approximating line segments are xk, k=0..n, then their total length is given by:
Length = ∑k=1nxk−xk−12+yk−yk−12.
If you then take the limit as the size of the line segments decreases to 0, the formula above becomes an integral. The form of the integral varies according to the type of curve:
y=fx over the interval x ∈a,b:
Arc Length = ∫ab1+dydx2ⅆx
x=gy over the interval y ∈c,d:
Arc Length = ∫cd1+dxdy2ⅆy
parametric curve x,y = ft,gt over the interval t ∈0,1:
Arc Length = ∫01dxdt2+dydt2ⅆt
Example 1
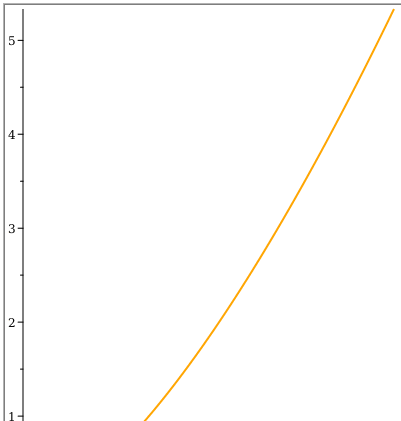
Determine the arc length of y=23x−132 between 1≤x≤5.
Solution
Recall the aforementioned formula:
Arc Length = ∫1+dydx2ⅆx
The first step is to take the derivative of y with respect to x:
ⅆyⅆx= x−112=x−1
Then substitute the derivative into the first formula to get:
Arc Length = ∫151+x−12ⅆx
Arc Length = ∫151+x−1ⅆx
Arc Length = ∫15xⅆx
Arc Length = 23x32x=a|15
Arc Length = 23532−132
Arc Length = 6.79.
Example 2
Adjust the slider to change the upper limit of t. Then determine the length of the curve x,y=−cost,sint with t ranging between 0 and the upper limit that you chose.
Upper limit of t:
Arc Length = ∫dxdt2+dydt2ⅆt
To determine the arc length of the curve defined by these parametric equations, first take the derivative of x with respect to t:
ⅆxⅆ t= sint
Next, take the derivative of y with respect to t:
ⅆyⅆ t= cost
You can now substitute ⅆxⅆ t and ⅆyⅆ t into the first formula:
Arc Length = ∫0π2sint2+cost2ⅆt
Arc Length = ∫0π2sin2t+cos2tⅆt.
Using the trig identity: sin2t+cos2t=1, you can simplify the above equation as:
Arc Length = ∫0π21ⅆt
Arc Length = ∫0π21 ⅆt
After integrating, this becomes:
Arc Length = t |0π2
Arc Length = π2−0
Arc Length = π2.
More MathApps
MathApps/AlgebraAndGeometry
Download Help Document