Application Center - Maplesoft

App Preview:

Classroom Tips and Techniques: Visualizing Regions of Integration

You can switch back to the summary page by clicking here.

Learn about Maple
Download Application




 

Classroom Tips and Techniques: Visualizing Regions of Integration

 

Robert J. Lopez

Emeritus Professor of Mathematics and Maple Fellow

Maplesoft

 

Introduction

 

Five of the new task templates in Maple 14 are designed to help visualize regions of integration for iterated integrals. In particular, there are task templates for double integrals in Cartesian and polar coordinates, and for triple integrals in Cartesian, cylindrical, and spherical coordinates. These task templates can be found at the end of the path

 

Tools_Tasks_Browse:

Calculus - Multivariate_Integration_Visualizing Regions of Integration

 

Each of these task templates provides for iterating the relevant multiple integral in any of its possible orders. An example for each task template can be found below.

 

The inspiration for these task templates lies in Maple code written in the early 1990s by Dr. Tim Murdoch while he was a faculty member at Washington and Lee University, in Lexington, Virginia. I acquired this code from Tim when he was a participant in one of the NSF workshops in computer algebra hosted by Rose-Hulman Institute of Technology. I used this code to great effect in my calculus classes at RHIT from then till the day I retired.

 

The lure of this code is that it used the same syntax in its plotting commands as Maple used in the Doubleint and Tripleint commands in the old student package. Thus, if one could draw the region of integration with one of the plotting commands, the same syntax would work in the integration commands, and vice versa.

 

For three-dimensional regions, Tim's code rendered each of the six possible faces of the region parametrically. This is what the task templates do, but without the elegance Tim used to make the coding of each command fit the same pattern.

Visualizing Regions of Integration in 2-D Cartesian Coordinates

 

 

Determine the volume of the region between the plane  and the surface  inside the right cylinder whose cross-section is bounded by the curves  and .

 

Evaluate  and Graph  

Area Element 

 

 

,    

Value of Integral

       

 

 

 

 

 

 

 

 

Bounding Curves

"Volume"

 

 

The simplest order of integration is  in which the first (inner) integration is in the -direction. The left-hand graph shows the cross-section of the right cylinder bounding the region.  The (vertical) orange arrow indicates the direction of the inner integral. The right-hand graph shows the volume swept by the integral as set up via the data-entry fields at the top of the template.

The heading on the right-hand graph is quoted because not every double integral is in reality a volume. True enough, the iterated double integral can be interpreted as a volume, but every such integral need not necessarily be a volume calculation.

 

The faces of the three-dimensional region in the right-hand graph are color coded as per the schematic

 

 

with blue used for any facet in the plane  and red used for the surface defined by the integrand .

Visualizing Regions of Integration in 3-D Cartesian Coordinates

 

Calculate the volume of the region bounded by  below, and  above, if it lies inside the right cylinder whose cross-section is itself bounded by curves  and .

 

Evaluate  and Graph 

Volume Element

 

 

    , where    

 

 

               

 

 

                   

 

 

 

 

To compute a volume, use . We have selected the volume element to be , a choice that simplifies the integration. Had we selected , for example, it would have taken two triple integrals to determine the same volume.

 

The faces of the three-dimensional region in the graph are color-coded as per the schematic

 

 

In this example, the yellow and gray facets do not appear because of the way the green and brown facets join.

Visualizing Regions of Integration in Polar Coordinates

 

Using polar coordinates , integrate  over the region .

 

Evaluate  and Graph  

Area Element  

 

,   

                                                                  

Value of Integral

       

 

 

 

 

 

 

 

 

Bounding Curves 

"Volume"

 

 

The left-hand graph is an animation showing how the radius "vector" sweeps the region . The right-hand graph interprets the integral as the calculation of a volume.

Visualizing Regions of Integration in Cylindrical Coordinates

 

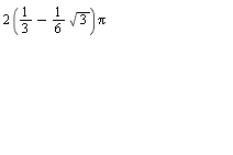
Use cylindrical coordinates to calculate the volume of the solid cut from a unit sphere by a cone whose vertex is at the center of the sphere, and whose generator makes a  angle with the axis of symmetry of the cone.

 

Evaluate  and Graph 

Volume Element   


 


 


 


 


 


 

 

    , where    

 

 

               

 

 

                   

 

 

 

 

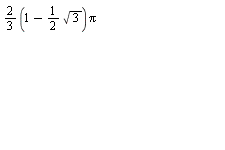
Visualizing Regions of Integration in Spherical Coordinates

 

Use spherical coordinates to calculate the volume of the solid cut from a unit sphere by a cone whose vertex is at the center of the sphere, and whose generator makes a  angle with the axis of symmetry of the cone.

 

This same volume was computed using cylindrical coordinates in the previous section.

Evaluate  and Graph 

Volume Element

  

 

 

 

 

 

 

 

    , where    

 

 

               

 

 

                   

 

 

 

 

Legal Notice: © Maplesoft, a division of Waterloo Maple Inc. 2010. Maplesoft and Maple are trademarks of Waterloo Maple Inc. This application may contain errors and Maplesoft is not liable for any damages resulting from the use of this material. This application is intended for non-commercial, non-profit use only. Contact Maplesoft for permission if you wish to use this application in for-profit activities.