Application Center - Maplesoft

App Preview:

Teorema de Cambio de Variables

You can switch back to the summary page by clicking here.

Learn about Maple
Download Application


 

Image 

 

Teorema de Cambio de Variables.

Sebasti?n Varas Kittel,
Ingenier?a Civil Industrial,
Universidad Adolfo Ib??ez.


sebastian.varask2006@alumnos.uai.cl 

 

 

Image 

 

 

Packages: 

> restart:
with(plots):
with(LinearAlgebra):
 

C?digo de Gr?ficos: 

Gr?fico Eje XY: 

> a[1]:=plot([[1,1],[1,2],[2,2],[2,1],[1,1]],color=blue,thickness=3,view=[-1..3,-1..3],axes=none,scaling=constrained):
a[2]:=arrow(<0,0>,<3,0>,difference=true,color=black,axes=none,width=0.01,head_width=0.05,
color=black,head_length=0.2):
a[3]:=arrow(<0,0>,<0,3>,difference=true,color=black,axes=none,width=0.01,head_width=0.05,
color=black,head_length=0.2):
a[4]:=plot([[[1,0],[1,1]],[[2,0],[2,1]],[[0,1],[1,1]],[[0,2],[1,2]]],color=red):
a[5]:=textplot([[1,0,"x"],[2,0,"x+dx"]],font=[COURIER,12],align=below):
a[6]:=textplot([[0,1,"y"],[0,2,"y+dy"]],font=[COURIER,12],align=left):
a[7]:=textplot([[0,3,"EJE Y"]],font=[COURIER,12],align=above):
a[8]:=textplot([[3,0,"EJE X"]],font=[COURIER,12],align=right):
a[9]:=textplot([[1.5,1.5,"dA"]],font=[COURIER,12]):
EjeXY:=display(a[1],a[2],a[3],a[4],a[5],a[6],a[7],a[8],a[9]):
 

Gr?fico Eje UV: 

> b[1]:=plot([[1,1],[2,2.5],[3.5,3.5],[2.5,2],[1,1]],color=blue,thickness=3,view=[-1..4,-1..4],axes=none,scaling=constrained):
b[2]:=arrow(<0,0>,<4,0>,difference=true,color=black,axes=none,width=0.01,head_width=0.05,
color=black,head_length=0.2):
b[3]:=arrow(<0,0>,<0,4>,difference=true,color=black,axes=none,width=0.01,head_width=0.05,
color=black,head_length=0.2):
b[4]:=plot([[[1,0],[1,1]],[[2.5,0],[2.5,2]],[[0,1],[1,1]],[[0,2.5],[2,2.5]],[[2,0],[2,2.5]],[[0,2],[2.5,2]]],color=red):
b[5]:=textplot([[1,0,"u(x,y)"],[2,0,"u(x,y+dy)"]],font=[COURIER,12],align=below):
b[10]:=textplot([2.5,0,"u(x+dx,y)"],font=[COURIER,12],align=[below,right]):
b[6]:=textplot([[0,1,"v(x,y)"],[0,2.5,"v(x,y+dy)"],[0,2,"v(x+dx,y)"]],font=[COURIER,12],align=left):
b[7]:=textplot([[0,4,"EJE V"]],font=[COURIER,12],align=above):
b[8]:=textplot([[4,0,"EJE U"]],font=[COURIER,12],align=right):
b[9]:=textplot([[2.25,2.25,"dA'"]],font=[COURIER,12]):
b[11]:=textplot([[1.75,1.5,"V1"]],font=[COURIER,12],align=below):
b[12]:=textplot([[1.5,1.75,"V2"]],font=[COURIER,12],align=left):
EjeUV:=display(b[1],b[2],b[3],b[4],b[5],b[6],b[7],b[8],b[9],b[10],b[11],b[12]):
 

Gr?fico ?ngulo: 

> c[1]:=arrow(<1,1>,<2.5,2>,color=black,difference=true,axes=none,width=0.01,head_width=0.05,head_length=0.2,scaling=constrained,view=[1..3,1..3]):
c[2]:=arrow(<1,1>,<2,2.5>,color=black,difference=true,axes=none,width=0.01,head_width=0.05,head_length=0.2):
c[3]:=textplot([[1.75,1.5,"V1"]],font=[COURIER,12],align=below):
c[4]:=textplot([[1.5,1.75,"V2"]],font=[COURIER,12],align=left):
c[5]:=plot([[1,1],[2.5,1]],color=red):
c[6]:=textplot([[1.4,1.45,theta]],font=[COURIER,18],align=below):
c[7]:=textplot([[1.25,1.2,alpha]],font=[COURIER,18],align=below):
c[8]:=plot([[[2.5,1],[2.5,2]],[[2,1],[2,2.5]]],color=red):
Angulo:=display(c[1],c[2],c[3],c[4],c[5],c[6],c[7],c[8]):
 

Gr?fico Regi?n R: 

> d[1]:=inequal([y>x,y<x+1,y>2*x-2,y<2*x],x=0..3,y=0..4,optionsopen=(color=white, thickness=0),optionsexcluded=(color=white),optionsfeasible=(color=blue),scaling=constrained):
d[2]:=plot([[[1,0],[1,2]],[[0,2],[2,2]],[[2,0],[2,2]],[[3,4],[3,0]],[[3,4],[0,4]]],color=red):
d[3]:=textplot([[1.2,0.8,"y=x"],[0.4,1.2,"y=2x"],[2.7,2.8,"y=2x-2"],[1.8,3.2,"y=x+1"]],font=[COURIER,12],color=black):
RegionR:=display(d[1],d[2],d[3]):
 

Animaci?n: 

> e[1]:=animate(inequal,[[y>x*t,y<x*t+1,y*t/2+1-(t-1)>x,y*t<2*x],x=0..3,y=0..4,optionsopen=(color=white, thickness=0),optionsexcluded=(color=white),optionsfeasible=(color=blue),scaling=constrained],t=1..0,frames=100):
ANIMACION:=display(e[1],insequence=true):
 

Objetivos: 

  • Entender de donde surge el teorema de cambio de variables.
 

  • Comprender la utilidad de este teorema.
 

  • Desarrollar la capacidad de indentificar situaciones en las cuales se pueda aplicar el teorema y ocuparlo de forma correcta.
 

Introducci?n: 

En Integrales Simples: 

Cuando trabajamos con integrales simples, uno de los m?todos m?s habituales de resoluci?n de una integral es el M?todo de Sustituci?n, por ejemplo: 

 

En este caso al realizar el cambio de variable es necesario ajustar el orden de integraci?n y adem?s es necesario sustituir dx por `*`(du, `*`(`/`(`+`(`*`(2, `*`(x)))))) ya que al realizar el cambio de variable tambi?n estamos modificando la porci?n de ancho de la partici?n que tomamos. 

En integrales dobles: 

Cuando trabajamos con integrales dobles existe un m?todo equivalente al m?todo de Sustituci?n que usamos para integrales simples, este m?todo se basa en el Teorema de Cambio de Variables.

Cambio de Variables Directo:
Algunas veces el cambio de variables para integrales dobles puede hacerse de forma directa, como se muestra a continuaci?n:
, donde `ℛ` es la regi?n acotada por la elipse `+`(`/`(`*`(`^`(x, 2)), `*`(`^`(a, 2))), `/`(`*`(`^`(y, 2)), `*`(`^`(b, 2)))) = 1.
 

Sea u = `/`(`*`(x), `*`(a)) y , donde diff(`ℛ`(x), x) es la regi?n acotada por `+`(`*`(`^`(u, 2)), `*`(`^`(v, 2))) = 1. 

 

Cambio de Variables Indirecto:
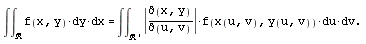
En la mayor?a de los casos no es posible realizar una sustituci?n directa, por lo que es necesario recurrir a la siguiente igualdad para el cambio de variables:
Sea x=x(u,v) e y=y(u,v), entonces:
 

A continuaci?n deduciremos de donde proviene la f?rmula anterior y posteriormente aplicaremos el Teorema de Cambio de Variables a problemas cl?sicos. 

Deducci?n: 

Sea , supongamos que (x,y) definen impl?citamente a (u,v) a trav?s de la transformaci?n:

u=u(x,y)
v=v(x,y)

Tomemos un cuadrado infinitamente peque?o en el EJE XY de ?rea dA, como se muestra en la imagen:
 

> EjeXY;
 

Plot_2d
 

Donde podemos ver que el ?rea del cuadrado es dA = `*`(dx, `*`(dy)).
 

Transformando este cuadrado infinitamente peque?o de (x,y) a las coordenadas (u,v), el cuadrado se transformar? en una nueva figura que se puede aproximar, con un error infinitamente peque?o, a un paralel?gramo de ?rea diff(dA(x), x) = `*`(du, `*`(dv)) , como se muestra a continuaci?n: 

> EjeUV;
 

Plot_2d
 

Donde V1 y V2 son los vectores que definen los lados del paralel?gramo. Suponiendo que el ?ngulo entre V1 y V2 es theta, tendremos que diff(dA(x), x) = `*`(abs(V1), `*`(abs(V2), `*`(sin(theta)))).    

 

De la imagen podemos ver que:
V1=(u(x+dx,y)-u(x,y),v(x+dx,y)-v(x,y))=
 

V2=(u(x,y+dy)-u(x,y),v(x,y+dy)-v(x,y))= 

Por lo tanto: 

y  

Para encontrar el sin(theta) , veremos la siguiente imagen: 

> Angulo;
 

Plot_2d
 

Podemos ver que `and`(sin(theta) = sin(`+`(`+`(theta, alpha), `+`(`-`(alpha)))), sin(`+`(`+`(theta, alpha), `+`(`-`(alpha)))) = `+`(`*`(sin(`+`(theta, alpha)), `*`(cos(alpha))), `-`(sin(alpha)))).

De la imagen podemos obtener que:
cos(alpha)=, , .
 

De aqu? tendremos que Por lo tanto Esto equivale a decir que  

==abs(`/`(`*`(`∂`(x, y)), `*`(`∂`(u, v)))).  

Remplazando en la intregral inicial: 

 

 

 

Problema 1: 

Sea ℛ la regi?n plana limitada por las curvas y=x, y=x+1, y=2x-2 e y=2x. Calcular:  

Sin usar el Teorema de Cambio de Variables: 

Primero que todo es necesario hacer una vizualizaci?n gr?fica de la region ℛ y encontrar los puntos de intersecci?n de las curvas que limitan la regi?n. 

> RegionR;
 

Plot_2d
 

Viendo la imagen, podemos definir los l?mites de integraci?n de la forma dydx y dxdy: 

> int(int(x*y,y=x..2*x),x=0..1)+int(int(x*y,y=x..x+1),x=1..2)+int(int(x*y,y=2*x-2..x+1),x=2..3);
 

7 (6.1.1)
 

> int(int(x*y,x=y/2..y),y=0..2)+int(int(x*y,x=y-1..y/2+1),y=2..4);
 

7 (6.1.2)
 

Sea cual sea el orden de integraci?n, en ambos casos, hay que calcular m?s de una integral doble. Adem?s, hay que encontrar los puntos de intersecci?n (estos no siempre ser?n enteros). Ambos puntos se?alados pueden volverse bastante tediosos, por lo que muchas veces es conveniente utilizar el teorema de cambio de variables. 

Usando el Teorema de Cambio de Variables: 

Sea la siguiente tranformaci?n:
u=2x-y
v=y-x

De esta forma tendr?amos que las curvas se transforman de la siguiente forma:
y=x->v=0
y=x+1->v=1
y=2x->u=0
y=2x-2->u=2
 

> ANIMACION;
 

Plot_2d
 

Debemos calcular el Jacobiano de la transformaci?n abs(`/`(`*`(`∂`(x, y)), `*`(`∂`(u, v)))).Primero debemos encontrar, de la transformaci?n, x e y en funci?n de u y v: 

> solve([u=2*x-y,v=y-x],[x,y]);
 

[[x = `+`(v, u), y = `+`(u, `*`(2, `*`(v)))]] (6.2.1)
 

> X:=(u,v)->v+u:
Y:=(u,v)->u+2*v:
 

> Jacobiano:=(u,v)->Determinant(Matrix([[D[1](X)(u,v),D[2](X)(u,v)],[D[1](Y)(u,v),D[2](Y)(u,v)]])):
Jacobiano(u,v);
 

1 (6.2.2)
 

Por lo tanto, el valor de la integral es: 

> int(int(Jacobiano(u,v)*X(u,v)*Y(u,v),v=0..1),u=0..2);
 

7 (6.2.3)
 

Problema 2: 

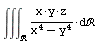
Calcular donde `ℛ` es la regi?n determinada por las superficies de ecuaci?n:  

 

Ser?a muy dif?cil tratar de calcular la integral usando coordenadas rectangulares, por lo que usaremos la siguiente transformaci?n: u = `+`(`*`(`^`(x, 2)), `-`(`*`(`^`(y, 2)))), v = `*`(x, `*`(y)),w= De esta forma, las superficies que acotan la regi?n `ℛ` al realizar la transformaci?n quedan de la siguiente forma: 

 

 

 

 

Debemos calcular el jacobiano de la transformacion, pero como es complejo despejar (x,y,z) en funcion de (u,v,w) usaremos la siguiente f?rmula:abs(`/`(`*`(`∂`(x, y, z)), `*`(`∂`(u, v, w)))) = `/`(1, `*`(abs(`/`(`*`(`∂`(u, v, w)), `*`(`∂`(x, y, z)))))). 

> U:=(x,y,z)->x^2-y^2:
V:=(x,y,z)->x*y:
W:=(x,y,z)->z/(x^2+y^2):
 

> Jacobiano:=(x,y,z)->1/Determinant(Matrix([[D[1](U)(x,y,z),D[2](U)(x,y,z),D[3](U)(x,y,z)],[D[1](V)(x,y,z),D[2](V)(x,y,z),D[3](V)(x,y,z)],[D[1](W)(x,y,z),D[2](W)(x,y,z),D[3](W)(x,y,z)]])):
Jacobiano(x,y,z);
 

`/`(1, 2) (7.1)
 

Para remplazar en la integral, debemos dejar la funci?n que estamos integrando en funcion de (u,v,w):
`/`(`*`(x, `*`(y, `*`(z))), `*`(`+`(`*`(`^`(x, 4)), `-`(`*`(`^`(y, 4)))))) = `/`(`*`(x, `*`(y, `*`(z))), `*`(`+`(`*`(`^`(x, 2)), `*`(`^`(y, 2))), `*`(`+`(`*`(`^`(x, 2)), `-`(`*`(`^`(y, 2)))))))= Por lo tanto, el valor de la integral es:
 

> int(int(int(Jacobiano(x,y,z)*v*w/u,u=1..4),v=1..3),w=1..2);
 

`+`(`*`(6, `*`(ln(2)))) (7.2)
 

 

 

Legal Notice: ? Maplesoft, a division of Waterloo Maple Inc. 2009. Maplesoft and Maple are trademarks of Waterloo Maple Inc. Neither Maplesoft nor the authors are responsible for any errors contained within and are not liable for any damages resulting from the use of this material.  This application is intended for non-commercial, non-profit use only. Contact the authors for permission if you wish to use this application in for-profit activities.