Volume of a Solid of Revolution
Rotation about x=0
? Maplesoft, a division of Waterloo Maple Inc., 2007
Introduction
This application is one of a collection of examples teaching Calculus with Maple. These applications use Clickable Calculus? methods to solve problems interactively. Steps are given at every stage of the solution, and many are illustrated using short video clips. Click on the buttons to watch the videos.
Problem Statement
A solid of revolution is formed when the region bounded by the curves and the -axis is rotated about the -axis. Using the method of (a) disks, and (b) shells, find , its volume.
Solution
Solution (a)
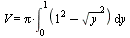
The volume of revolution is given by
where and .
Step
Result
Form the definite integral representing the volume, and evaluate.
Use the Expression palette to construct the definite integral. Press [Enter] to evaluate.
Solution (b)
Using shells, the volume is given by
where and
Launch and use the Volume of Revolution Tutor.
Tools>Tutors> Calculus- Single Variable>Volume of Revolution. Enter and Set a=0 and b=1. Select "Vertical" for Line of Revolution. In plot options, select "Boxed" for axes and select "Use constrained scaling". Press [Display]. See Figure 1 below.
Figure 1 The Volution of Revolution Tutor used to compute the volume of the solid generated by rotating the region bounded by the curves and the x-axis about the -axis. The volume computed lies between the red surface () and the green surface ().
For corroboration, form the definite integral representing the volume, and evaluate.
Legal Notice: The copyright for this application is owned by Maplesoft. The application is intended to demonstrate the use of Maple to solve a particular problem. It has been made available for product evaluation purposes only and may not be used in any other context without the express permission of Maplesoft.