Application Center - Maplesoft

App Preview:

The Relaxation function problem of an orthotropic cylinder

You can switch back to the summary page by clicking here.

Learn about Maple
Download Application


 

Image 

The Relaxation function problem of an orthotropic cylinder 

Co. H. Tran.
Faculty of Mathematics, University of Natural Sciences - VNU-HCM  

  coth123@math.com  &   cohtran@math.com           

Copyright  2007 

June   06   2007 

 

NOTE:  

This worksheet demonstrates Maple's  capabilities in researching  the numerical and graphical solution of the relaxation function problem of  an orthotropic cylinder .                                    

All rights reserved.  Copying or transmitting of this material without the permission of the authors is not allowed .  

 

Abstract 

The worksheet presents some thoughts about the plane strain problem of the viscous orthotropic composite materials cylinder under internal and external pressure with 

respect to using the direct method . To compute the interior stress , from the elastic solution we use the correspondence principle  and the  inverse Laplace transform .  

 

 

 

 

1. Analysis of  the composite orthotropic cylinder :  

 

 

Image 

 

We examine an orthotropic viscoelastic composite material cylinder which has the horizontal section within limit of 2 circles : r = a , r = b ( a < b ) .  

Choosing the cylindrical coordinates r , , z ( the axial z is along with the cylinder ) . The components of stress and deformation  Image 

are functions of   r , t   respectively . The two components of deformation-tensor :  Image 

and the differential equation of equilibrium :  Image     

The boundary conditions :  Image 

 

 

2. Direct method  : 


The direct method is an approximate inversion technic based on  the direct relation between the time  dependence and the transformed solution . If the plot of the viscoelastic solution has small curvature when plotted  with  variables logt  then  :  
 

 

Image 

  (1)                  

where  Image     C is Euler's constant ..   

(1) is exact if    Image    ,     Image   is proportional to  logt  .   

(1) can be rewritten  : 

 

                  Image                     (2) 

Note that  (2) is used when Image   ,     Image   has small  curvature with respect to logt .   

From the correspondence principle   we obtain  the viscoelastic solution .  

 

 

Image (3) 

Image  (4)     

Image    (5)  

Image  (6) 

The  operator moduli :   

Image   (7)   

 

 

We consider the relaxation test  , in which  Image  ,   

Image 

 is  a constant   at     t  =  0  (8)  .   We  have  Image  ,  Image  ,   Image     (9) 

By the similar way , we find  out :  Image(10) 

Assume that the relaxation moduli  have power form :  Image   (11) 

where  Image   are  constants . 

By applying the Laplace transfom for  (11)  ,  we  obtain  the operator moduli :      Image   (12) 

with the values of Gamma function :   Image ;     Image      (13)   

 

3. Parameters - The Numerical and Graphical Solution : 

 

> restart;
cycrstrecom:=proc(T,Gamma1,c1,P1,Q1,M1,d1)
global P,Q,sigmaat1,sigmaat2,sigmabt2,sigmabt1,sigmaatisotropic,sigmabtisotropic ;
local To,E,E1,M,d,j,Gamma,Gamma_form,gamma;
with(inttrans):with(plottools):with(plots):
print(" PARAMETERS DEFINITION : ");
print( T=To,gamma=Gamma1,c=c1);
print(" REPRESENTATION OF STRESS : ");
sigma[theta](at):=(gamma*P*(1+c^(2*gamma))-gamma*Q*2*c^(gamma-1))/(1-c^(2*gamma));
print(sigma[theta](a)=sigma[theta](at));
sigma[theta](bt):=(gamma*P*2*c^(gamma+1)-Q*(1+c^(2*gamma)))/(1-c^(2*gamma));
print(sigma[theta](b)=sigma[theta](bt));
P:=P1;Q:=Q1;
To:=T;E[rt]:=(100*(t/To)^(-0.5)+1)*E[e];E[thetat]:=(100*(t/To)^(-0.1)+1)*E[e];
print(E[r]=E[rt]);
print(E[theta]=E[thetat]);
print(" LAPLACE TRANSFORM OF MODULI : ");
E1[rp]:=p*evalf(laplace(E[rt],t,p),3);
print(E1[r]=E1[rp]);
E1[thetap]:=p*evalf(laplace(E[thetat],t,p),3);
print(E1[theta]=E1[thetap]);
Gamma_form:=sqrt(E1[theta]/E1[r]);
print(" EXPRESSION OF  : ",gamma=Gamma_form);
Gamma:=evalf(sqrt(E1[thetap]/E1[rp]),5):
Gamma:=simplify(Gamma);
print(gamma=Gamma);
sigma[theta](a):=(Gamma*P1*(1+c1^(2*Gamma))-Gamma*Q1*2*c1^(Gamma-1))/(1-c1^(2*Gamma));
sigma[theta](b):=(Gamma*P1*2*c1^(Gamma+1)-Q1*(1+c1^(2*Gamma)))/(1-c1^(2*Gamma));
print(sigma[Theta](a)=sigma[theta](a));;print(sigma[Theta](b)=sigma[theta](b));
sigma[theta](at):=(gamma*P*(1+c^(2*gamma))-gamma*Q*2*c^(gamma-1))/(1-c^(2*gamma));
print(" SUBSTITUTE ",c=c1 ,p =1/(2*t),gamma=Gamma);
sigmaat1:=evalf(subs(c=(1/2),p=(1/(2*t)),gamma=Gamma,P=P1,Q=Q1,sigma[theta](a)),3);
sigmaat1:=evalf(simplify(sigmaat1),2);
print(sigma[Theta](a)=sigmaat1);
sigmaat2:=subs(t=10^(s)*To,sigmaat1):
sigmaat2:=evalf(simplify(sigmaat2),2)/P1;
sigmabt1:=evalf(subs(c=(1/2),p=(1/(2*t)),gamma=Gamma,P=P1,Q=Q1,sigma[theta](b)),3);
sigmabt1:=evalf(simplify(sigmabt1),2);
print(sigma[Theta](b)=sigmabt1);
sigmabt2:=subs(t=10^(s)*To,sigmabt1):
sigmabt2:=evalf(simplify(sigmabt2),2);
print(" CHANGE THE PRESENTATION OF TIME INTO  LOG(t/To) ");
print(sigma[Theta](a)=sigmaat2);
print(sigma[Theta](b)=sigmabt2);
sigmaatisotropic:=subs(s=0,sigmaat2);
sigmaatisotropic:=evalf(simplify(sigmaatisotropic),2);
print(sigmaa_isotropic=sigmaatisotropic);
sigmabtisotropic:=subs(s=0,sigmabt2):
sigmabtisotropic:=evalf(simplify(sigmabtisotropic),2);
print("   OUTPUT   DATA  ");
M:=M1;
d:=d1;
printf("    s=log(t/To)         sigma[Theta](a)(s)/P       \n\n");
for j from 0 to M do
printf("%10.1f                %10.4f    \n", -d*(10-j), subs(s=-d*(10-j),sigmaat2));
end do;
for j from 1 to M do
printf("%10.1f                %10.4f    \n", d*j, subs(s=d*j,sigmaat2));
end do;
print(" NUMERICAL AND GRAPHICAL SOLUTION ");
printf("\n%s","   KET THUC BAI TOAN ONG TRU COMPOSITE DAN NHOT TRUC HUONG BANG PHUONG PHAP TRUC TIEP ");
plot([sigmaat2,sigmaat2,sigmaatisotropic],s=-10..30,y=0.85..5.2,color=[grey,black,black],style=[line,point,point],thickness=1,symbol=[cross,diamond,cross],linestyle=1,axes=boxed,labels=["logt/To","sigma(a,t)/P"],legend=[`sigma(a,t)/P`,`sigma(a,t)/P`,`Isotropic solution`],title="Numerical solution");
end:
 

> cycrstrecom(1, .83, 1/2, 1, 0, 30, 1);
 

 PARAMETERS DEFINITION :  

1 = To, gamma = .83, c = 1/2 

 REPRESENTATION OF STRESS :  

sigma[theta](a) = (gamma*P*(1+c^(2*gamma))-2*gamma*Q*c^(gamma-1))/(1-c^(2*gamma)) 

sigma[theta](b) = (2*gamma*P*c^(gamma+1)-Q*(1+c^(2*gamma)))/(1-c^(2*gamma)) 

E[r] = (100/t^.5+1)*E[e] 

E[theta] = (100/t^.1+1)*E[e] 

 LAPLACE TRANSFORM OF MODULI :  

E1[r] = p*E[e]*(177.*(1/p^1.)^.500+1/p^1.) 

E1[theta] = p*E[e]*(107./p^.900+1/p^1.) 

 EXPRESSION OF  :  

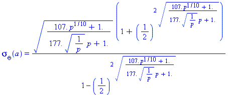
gamma = ((107.*p^(1/10)+1.)/(177.*(1/p)^(1/2)*p+1.))^(1/2) 

sigma[Theta](a) = ((107.*p^(1/10)+1.)/(177.*(1/p)^(1/2)*p+1.))^(1/2)*(1+(1/2)^(2*((107.*p^(1/10)+1.)/(177.*(1/p)^(1/2)*p+1.))^(1/2)))/(1-(1/2)^(2*((107.*p^(1/10)+1.)/(177.*(1/p)^(1/2)*p+1.))^(1/2))) 

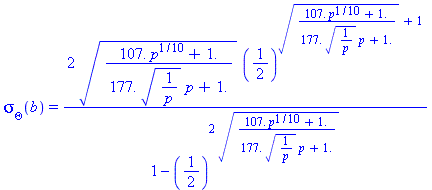
sigma[Theta](b) = 2*((107.*p^(1/10)+1.)/(177.*(1/p)^(1/2)*p+1.))^(1/2)*(1/2)^(((107.*p^(1/10)+1.)/(177.*(1/p)^(1/2)*p+1.))^(1/2)+1)/(1-(1/2)^(2*((107.*p^(1/10)+1.)/(177.*(1/p)^(1/2)*p+1.))^(1/2))) 

 SUBSTITUTE  

sigma[Theta](a) = -1.*(1.+exp(-1.4*(t^(1/2)*(0.10e3*(1/t)^(1/10)+1.)/(0.12e3+t^(1/2)))^(1/2)))*(t^(1/2)*(0.10e3*(1/t)^(1/10)+1.)/(0.12e3+t^(1/2)))^(1/2)/(-1.+exp(-1.4*(t^(1/2)*(0.10e3*(1/t)^(1/10)+1.)... 

sigma[Theta](b) = -2.*(t^(1/2)*(0.10e3*(1/t)^(1/10)+1.)/(0.12e3+t^(1/2)))^(1/2)*exp(-.69*(t^(1/2)*(0.10e3*(1/t)^(1/10)+1.)/(0.12e3+t^(1/2)))^(1/2)-.69)/(-1.+exp(-1.4*(t^(1/2)*(0.10e3*(1/t)^(1/10)+1.)/... 

 CHANGE THE PRESENTATION OF TIME INTO  LOG(t/To)  

sigma[Theta](a) = -1.*(1.+exp(-1.4*((exp(2.3*s))^(1/2)*(0.10e3*(exp(-2.3*s))^(1/10)+1.)/(0.12e3+(exp(2.3*s))^(1/2)))^(1/2)))*((exp(2.3*s))^(1/2)*(0.10e3*(exp(-2.3*s))^(1/10)+1.)/(0.12e3+(exp(2.3*s))^(... 

sigma[Theta](b) = -2.*((exp(2.3*s))^(1/2)*(0.10e3*(exp(-2.3*s))^(1/10)+1.)/(0.12e3+(exp(2.3*s))^(1/2)))^(1/2)*exp(-.69*((exp(2.3*s))^(1/2)*(0.10e3*(exp(-2.3*s))^(1/10)+1.)/(0.12e3+(exp(2.3*s))^(1/2)))... 

sigmaa_isotropic = 1.6 

   OUTPUT   DATA   

   s=log(t/To)         sigma[Theta](a)(s)/P       

    -10.0                    1.4286    
     -9.0                    1.4286    
     -8.0                    1.4287    
     -7.0                    1.4289    
     -6.0                    1.4294    
     -5.0                    1.4305    
     -4.0                    1.4335    
     -3.0                    1.4409    
     -2.0                    1.4595    
     -1.0                    1.5056    
      0.0                    1.6182    
      1.0                    1.8804    
      2.0                    2.4264    
      3.0                    3.3300    
      4.0                    4.3240    
      5.0                    4.8725    
      6.0                    4.8419    
      7.0                    4.5127    
      8.0                    4.1110    
      9.0                    3.7260    
     10.0                    3.3828    
     11.0                    3.0857    
     12.0                    2.8323    
     13.0                    2.6184    
     14.0                    2.4396    
     15.0                    2.2913    
     16.0                    2.1691    
     17.0                    2.0691    
     18.0                    1.9877    
     19.0                    1.9217    
     20.0                    1.8684    
      1.0                    1.8804    
      2.0                    2.4264    
      3.0                    3.3300    
      4.0                    4.3240    
      5.0                    4.8725    
      6.0                    4.8419    
      7.0                    4.5127    
      8.0                    4.1110    
      9.0                    3.7260    
     10.0                    3.3828    
     11.0                    3.0857    
     12.0                    2.8323    
     13.0                    2.6184    
     14.0                    2.4396    
     15.0                    2.2913    
     16.0                    2.1691    
     17.0                    2.0691    
     18.0                    1.9877    
     19.0                    1.9217    
     20.0                    1.8684    
     21.0                    1.8255    
     22.0                    1.7910    
     23.0                    1.7634    
     24.0                    1.7413    
     25.0                    1.7237    
     26.0                    1.7096    
     27.0                    1.6984    
     28.0                    1.6894    
     29.0                    1.6823    
     30.0                    1.6766    
 

 NUMERICAL AND GRAPHICAL SOLUTION  


  KET THUC BAI TOAN ONG TRU COMPOSITE DAN NHOT TRUC HUONG BANG PHUONG PHAP TRUC TIEP
 

Plot
 

REFERENCES  

 

[1] Ngo Thanh Phong , Nguyen Thoi Trung , Nguyen D?nh Hien , Ap dung 

phap gan dung bien doi Laplace nguoc de giai bai toan bien dang phang trong 

lieu  composite dan nhot truc huong , Tap ch? phat trien KHCN , tap 7 , so 4 & 

in Vietnamese ) , 2002 . 

 

[2] R.A. Schapery , Stress Analysis of Viscoelastic Composite Materials , 

Edited by G.P.Sendeckyj ,Academic Press , Newyork ?London , 1971 . 

 

 

Legal Notice: The copyright for this application is owned by the author(s). Neither Maplesoft nor the author are responsible for any errors contained within and are not liable for any damages resulting from the use of this material. This application is intended for non-commercial, non-profit use only. Contact the author for permission if you wish to use this application in for-profit activities.
 

Image