Application Center - Maplesoft

App Preview:

Implicit Differentiation

You can switch back to the summary page by clicking here.

Learn about Maple
Download Application


 

Image 

Implicit Differentiation 

Copyright Maplesoft, a division of Waterloo Maple Inc., 2007 

 

Introduction 

 

This application is one of a collection of examples teaching Calculus with Maple. These applications use Clickable Calculus? methods to solve problems interactively. Steps are given at every stage of the solution, and many are illustrated using short video clips.  Click on the Image buttons to watch the videos. 

 

The steps in the document can be repeated to solve similar problems. 

 

Problem Statement 

The equation Typesetting:-mrow(Typesetting:-mn( defines Typesetting:-mrow(Typesetting:-mi( implicitly.  Obtain the derivative Typesetting:-mrow(Typesetting:-mfrac(Typesetting:-mi( by the technique of implicit differentiation. 

 

Solution 

Enter the given equation: 

 

HyperlinkImage 

Typesetting:-mrow(Typesetting:-mn( 

`+`(`*`(2, `*`(`^`(x, 2))), `*`(x, `*`(y)), `*`(`^`(y, 2))) = x (3.1)
 

Obtain a graph of the implicitly defined function in Typesetting:-mrow(Typesetting:-mi(

Right-click, Plots>Plot Builder. For the x range, choose 0 to 1 and for the y range, choose -1 to 1. Click on Options button, change grid size to 100x100. Click Plot button. 

HyperlinkImage 

Plot_2d  
 

 

 

 

Rewrite the equation to make the independent variable explicit: 

Copy the given equation to a new line or use [Ctrl][L] and enter the equation label. Press [Enter]. Right-click, Evaluate at a point.  

Set y = y(x). 

 

HyperlinkImage 

Typesetting:-mrow(Typesetting:-mi( 

`+`(`*`(2, `*`(`^`(x, 2))), `*`(x, `*`(y)), `*`(`^`(y, 2))) = x (3.2)
 

Typesetting:-mover(Typesetting:-mo( 

`+`(`*`(2, `*`(`^`(x, 2))), `*`(x, `*`(y(x))), `*`(`^`(y(x), 2))) = x (3.3)
 

 

 

Differentiate with respect to the independent variable: 

Right-click, Differentiate>x.  

HyperlinkImage 

`+`(`*`(4, `*`(x)), y(x), `*`(x, `*`(diff(y(x), x))), `*`(2, `*`(y(x), `*`(diff(y(x), x))))) = 1 (3.4)
 

 

Isolate the derivative: 

Right-click, Solve>Isolate Expression for>diff(y(x),x) 

HyperlinkImage 

 

diff(y(x), x) = `/`(`*`(`+`(1, `-`(`*`(4, `*`(x))), `-`(y(x)))), `*`(`+`(x, `*`(2, `*`(y(x)))))) (3.5)
 

 

Make the independent variable implicit: 

Copy expression, paste on new line, edit the right-hand side to change all y(x) to y.  

 

 

Typesetting:-mrow(Typesetting:-mfrac(Typesetting:-mrow(Typesetting:-mo( 

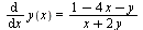
diff(y(x), x) = `/`(`*`(`+`(1, `-`(`*`(4, `*`(x))), `-`(y))), `*`(`+`(x, `*`(2, `*`(y))))) (3.6)
 

Tutors and Templates 

Maple has an implicit differention task Template, which can be used to step through problems easily.  To create a template in your own document, select Tools > Tasks > Browse, and then navigate to Calculus / Derivatives / Implicit Differentiation.  

Implicit Differentiation with Two Variables 

Using implicit differentiation ., compute the derivative Typesetting:-mrow(Typesetting:-mfrac(Typesetting:-mi( for the function Typesetting:-mrow(Typesetting:-mi( defined implicitly by the equation Typesetting:-mrow(Typesetting:-mi(  

 

Implicit Differentiation 

Enter an equation in two variables: 

 

 

Embedded component 

Dependent variable: Embedded component       Independent variable: Embedded component 

Implicit Derivative:  

 

Execute 

Embedded component 

Stepwise Calculation 

Make dependent variable explicit: 

 

Execute 

Embedded component 

Differentiate with respect to independent variable: 

 

Execute    Stepwise 

Embedded component 

Isolate Derivative: 

 

Execute 

Embedded component 

Make independent variable implicit: 

 

Execute 

Embedded component 

Clear All 

Related Tutors 

Tools > Tutors > Calculus - Single Variable > Derivatives 

 

Tools > Tutors > Calculus - Single Variable > Differentiation Methods 

 

 

Legal Notice: The copyright for this application is owned by Maplesoft. The application is intended to demonstrate the use of Maple to solve a particular problem. It has been made available for product evaluation purposes only and may not be used in any other context without the express permission of Maplesoft.   

 

Image