Dynamic Equivalent Structures
by Harald Kammerer, Germany, © 2006 Harald Kammerer beta@jademountain.de
Introduction
This worksheet compares the eigenvalues of a structure with Rayleigh damping with a structure with an arbitrary discrete damper
Here we compare two different structures, shown in the following figure.
Both structures have two degrees of freedom,
We only consider the free motion, that means the eigenmotion of the structures without active forces. The main difference between structure a and structure b is the fact that structure a has viscous dampers parallel to each spring while structure b has only one damper between both masses. For the dampers of structure a we define some additional conditions in view of the solubility, like described below.
This documents shows
Strategies for the Solution
We want to see two different ways to get the solution of the eigenmodes of the structure.
Structure a: Rayleigh Damping
For the structure a we assume that the damping has no influence on the eigenmotion. This is valid for example when the damping matrix is a linear combination of the mass and the stiffness matrices, the so called Rayleigh damping. That means that the eigenvalue problem can be solved only for the undamped structure. The system equation are transformed then into the principal coordinates. So the mass matrix, the stiffness matrix and the damping matrix are transformed all into diagonal form.
The advantage of the Rayleigh damping is that the damping matrix is decoupled by the same procedure like the mass matrix and the stiffness matrix. This is with view on the matematical effort helpfull because the matrices which have to be handled are of the order n for systems with n degrees of freedom and the calculation are all based on real numbers.
The disadvantage of the Rayleigh damping is that no real discrete damper can be considered if they not fulfill the conditions defined for Rayleigh damping. At all the Rayleigh damping is only a more or less good approximation for structures with less damping.
Note: Here we use the definition of the Rayleigh damping in the form
This is enough in this example, because with the two coefficients a and ß it is possible to define for each of the two eigenmotions of the structure with two degrees of freedom its own degrees of damping. If you consider a structure with more than two degrees of freedom you can use the generalized form of the Rayleigh damping which is defined by
Then you can define for every eigenmotion its own degree of damping. But this is not the subject of this document, so we don't consider it anymore. The equation above follows from this definition for two degrees of freedom.
Structure b: Arbitrary Discrete Damper
For the calculation of structure b we solve the eigensolution exactly. This means that no restrictions are needed for the damping, only that the damper must be discrete and that the damping resistance is constant. But then we have to handle with matrices of the order 2n for systems with n dedrees of freedom and we have to handle complex numbers.
System Matrices
Now we define the system matrices of both structures in general manner. Therefore we define the equations of motion for the both masses.
The equation of motion of the lower mass is derived by consider the equilibrium condition on it
And for the upper mass the equilibrium condition yields
We assume that the procedure of cutting the masses free and define the forces acting on the masses by the springs, the dampers and the inertia is known.
From this two equations we extract the coefficients of the accelerations
and get with this the mass matrix
Next we extract the coefficients of the velocities from the two equation of motion
and get the damping matrix
At last the coefficients of the displacements
yield the stiffness matrix
This matrices are valid for both structure a and structure b, we have only to substitute the coefficients for the masses, the damping resistances and the stiffnesses with the following definitions:
Structure a
First we consider structure a. This system has beside the two masses (, ), three springs () and three dampers () parallel to the springs like shown in the figure above.
The system matrices are given by the matrices above with the substitution SA. This yields the mass matrix
the damping matrix
and the stiffness matrix
Structure b
Regard that the damping coefficients for structure b parallel to the upper and the lower spring is 0.
The system matrices of structure b can be defined by use the matrices above by substitute the entries according the definition given in SB above. So we get the mass matrix for structure b
Evaluate the Parameters
Evaluate the Parameters of Structure a
For this presentation we use numerical values to make the result more easy to see. And we assume that all parameters are according the SI standards. That means that no units must be written.
So we define the masses
and get the mass matrix
The stiffness of the springs are defined as
and we get the stiffness matrix
For the damping matrix we have to define something like the Rayleigh damping. With the definition and the values of the masses and the stiffnesses we get the Rayleigh damping
Compare the coefficients of this Rayleigh damping with the entries of the damping matrix for the structure a above yields the three equations
The solution of this equations yields the damping resistances
In this example we use the two parameter
So we get the damping matrix for structure a
and for the damping resistance for the three dampers of structure a that fulfill the requirement above for Rayleigh damping
Evaluate the Parameters of Structure b
Structure b shall have the same mass properties like structure a
So we have the mass matrix
The stiffness of the springs are also the same like that in structure a
We get the stiffness matrix
For the damping matrix we have no restriction in this case. We assume that the one damper in structure b has the same damping resistance like the sum of the three dampers in structure a.
With this we get the damping matrix of structure b
Eigenvalues, Eigenvectors And Decoupled Equations
Next we calculate the eigenvalues, the eigenmodes and the decoupled equations of both structures
Eigenvalues And Eigenvectors
This case is easy done by use of the maple function Eigenvectors , because we don't need to regard the damping matrix but only the mass matrix and the stiffness matrix. So the eigenvalue problem is . We get the eigenvalues and the matrix of the eigenvectors
Normaly it is usual to define the first eigenvalue as that one with the lower absolute value. Here we use the order given by Maple, so it is
with the corresponding Eigenvector
The second Eigenvalue is then
Decouple Of The Equations Of Motion
For the decouple of the equations of motion we use the transformation matrix, which is the matrix of the Eigenvectors
The decoupled system matrices are calculated by the relation
The decoupled stiffness matrix is then
And the decoupled mass matrix is
At last the decoupled damping matrix is
Of cause we can calculate the decoupled damping matrix also by the relation
With this result we get two separated equations of motion for both eigenmotions
or by use of float point assignment
The natural angular frequencies are the squareroot of the eigenvalues
The degree of damping of this two eigenmotions are
The eigenmotion of the damped structure are run with the so called damped natural angular frequencies
This situation is more complicated. We must rearrange the equations of motion to calculate the eigenvalues, because we want to take the damping into account in correct form. To do this we use the Maple command convertsys from the DEtools package.
First we write the equations of motion for structure b. This is done by use of the substitution above in the equations of motion and . This yields
This two equations of the order two are converted to a system of four equations of the order 1 by the command convertsys
with are the first derivations of with respect to the time .
The coefficients of this four equations
yield the system matrix of structure b including the mass, the stiffness and the damping.
The eigenvalues and the eigenvectors of this matrix are
Here only the values as float point numbers are used, because the exact values are very confusing and even not to handle with the computer.
We see that this time the eigenvalues and the eigenvectors both are complex. For the eigenvalues this expresses the fact that the structures eigenmodes are damped. The eigenvalues include the eigenfrequency and the degree of damping. This will be considered later.
More complicated is the question how to describe the complex eigenvectors. One opposition to the eigenmotion of an undamped structure (described by real eigenvectors) is that in the eigenmotion of a damped structure (described by the complex eigenvectors) has not at all coordinates at the same time its maximal value. So the eigenmotion of a damped structure cannot be simply plotted like the eigenmotion of undamped structures.
For the decouple of the equations of motion we use the transformation matrix, which is again the matrix of the Eigenvectors
See that here the inverse of the transformation matrix is used, not the transposed.
This matrix includes again everything, the mass, the stiffness and the damping of the decoupled system. The very small values in the matrix are caused by numerical reasons (so called "numeric trash") and can be set to 0 for the further considerations.
With this result we get four decoupled first order differential equations of motion for the eigenmotions.
Calculate The Natural Angular Frequency And The Degree of Damping of The Eigenmotions
To calculate this we consider first the equation of motion of an general system with one degree of freedom
Here the constant is the mass, the damping coefficient and the stiffness of the single degree of freedom structure.
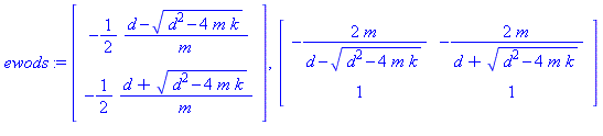
We convert this single equation of motion into one system of two equations of order 1
The system matrix of this system is given by the coefficients of the two differential equations
with and are the first derivations of and with respect to the time . So we get the system matrix
Let's compare this eigenvalues with the eigenvalues of structure b. Remember that structure b has two degrees of freedom and so it has two eigenmotions. So we have to compare both of this eigenmotions with she single degree of freedom systems eigenmotion:
First eigenmotion:
Second eigenmotion:
Note: In this equations we must consider the right order of the signs, otherwise the solution of the degree of damping and the natural angular frequency are negative.
The solution of the comparison of the first eigenmotion of structure b with the single degree of freedom structure yields for the stiffness and the coefficient of damping
And the solution of the comparison of the second eigenmotion of structure b with the single degree of freedom structure yields for the stiffness and the coefficient of damping
See that this values are real, the possible appearing imaginary part is again caused by numerical trash. Thus the natural angular frequency and the degree of damping of the first eigenmotion is
And the natural angular frequency and the degree of damping of the second eigenmotion is
The damped natural angular frequency of the first eigenmotion is now
and the second one
For the comparison of this values with the solution of structure a this values are repeated here:
The natural angular frequencies:
The degrees of damping:
The damped natural angular frequencies:
We see that this values are different. But in this document we want to compare dynamic equivalent structures. So the question is: Is it possible to vary the coefficients of structure a so that the eigenmotions of structure a are the same like that of structure b?
Create A Structure c of The Same Type like Structure a With Dynamical Properties Like Structure b
We have to make some declarations to define our target:
1. The new structure c has the same masses like structure a and b
2. The new structure c has Rayleigh damping like structure a but with the frequency and the damping of the eigenmodes like structure b
Input Parameter
The input parameter are defined by the solution of the eigenvalue problem of structure b. We have the two masses
the two natural angular frequencies
and the two degrees of damping
We define the substitution
So we get the system matrices for structure c
with the unknown entries in the stiffness matrix. And because the damping shall be defined by Rayleigh for the damping matrix follows
From the definition at the top of the document we have the damping matrix defined with the substitution SC
Compare both definitions of the damping matrix yields
Eigenproblem
To fulfill the condition that structure c has the same dynamic properties like structure b we write the equation to calculate the eigenvalues of structure b. Therefore we define the characteristic polynomial for this system
The solution of this equation yields
Calculate the Stiffness of Structure c
The two expressions in this solution are the eigenvalues of structure c, like given above. This yields two equations for the relation between k0c, k1c and k2c. To get the solution we have to take care which condition is compared with which eigenvalue. But here we use a little trick. First we compare the sum of both relations of SCE with the sum of both eigenvalues
The second condition is given by comparing the product of both relations of SCE with the product of both eigenvalues
So we calculate the stiffness k0c and k2c in dependence of k1c.
It is interesting that we get two possible solution for the pair of values k0c and k2c. That allows to choose k1c so that both solutions yield the same values. As an additional condition we assume that k1c shall be grater than zero.
We get now for the stiffness of the springs of structure c
and for the stiffness matrix
Calculate the Damping Resistances of Structure c
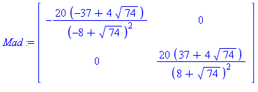
With the calculated stiffness we get for the damping of structure c
and for the damping matrix
with the unknown Rayleigh coefficients a and ß.
Same like in the calculation of structure b we rearrange the equations of motion by use of the maple routine convertsys . The equations of motion of structure c are
and the conversion yields
yield the system matrix of structure c including the mass, the stiffness and the damping.
The target is to create a structure c with the same eigenvalues and damping like structure b. To define the condition we compare the coefficients of the characteristic polynomial of the structure c with that ones of structure b. The characteristic polynomial of structure c is
with the unknown coefficients a and ß. The characteristic polynomial of structure b is
To calculate the both unknown coefficients we need two equations. We use the comparison of the coefficient of the first and third order
the solution of this two equations yield
We check if this coefficients fulfill the equivalence of the coefficient of the second order term of the characteristic polynomials
Substitute the solution above in this equation yields
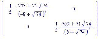
This is practical the same, because we use here float point format and there can be small numerical failures. Put this values in the definition of the damping matric we get
and for the damping resistances it follows
Compare the Matrices of Structure c With That One of Structure b
Now we have defined structure c completely. Lets have a look on the mass matrices, the damping matrices and the stiffness matrices of structure b and structure c. We use here float point assignment for better clarity and for completeness we show also the matrices of structure a. First we compare the mass matrices of all three structures
Of cause this three masses are all the same, this was the definition at the beginning. Next we compare the damping matrices.
These all three matrices are different. Now have a look on the stiffness matrices.
Here the stiffness matrices of structure a and structure b are the same. Of cause this must be so, because it was defined above. But the stiffness matrix of structure c is different.
Now we have done a lot of calculation. And we see that the structures b and c have different damping and stiffness matrices. So what about their system matrices? The system matrix of structure b is
and that one of structure c is now
Check the Eigenvalues
We see the system matrices are not the same, but what about the eigenvalues? The eigenvalues of structure b are
and the eigenvalues of structure c are
The eigenvalues are beside some numerical inexactness the same. Of cause the eigenfrequencies and the degrees of damping are also the same for both structures because they are in direct relation to the eigenvalues, so it is not necessary to calculate them again. See above for the values.
Compare the Solution of the Exact Eigenvalue Calculation with The Result of the Structure With Rayleigh Damping
We have shown the solution of the eigenproblem of structure a which is defined by the assumption of Rayleigh damping. It is easy to show that the statement that in this case the structure has the same eigenvalues like the undamped structure. To do this we consider structure a in the same way like we have done it for structure b and structure c. We convert the system of two differential equations of motion of degree 2 of structure a into 4 differential equations of degree 1 by use of the maple routine convertsys .
The eigenvalues of this matrix are
To compare this values with the values we calculated above we have to calculate the square of its absolute values. This are
You see, this value are the same like eigenvalues of the undamped structure a
calculated by only considering the mass and the stiffness of structure a. This shows that the damping of structure a has no influence of its eigenvalues. Now we make the same comparison for structure b. The square of the absolute values of the eigenvalues are
And the eigenvalues of the structure b without the viscous damper are
Here we see that the values are different from that one of the damped structure. At last: What about structure c? The square of the absolute values of the eigenvalues are
They are the same like that one of structure b (of cause this must be so, because the eigenvalues itself are also the same). And the eigenvalues of the structure c without dampers are
This values are the same like that one of the damped structure but they are of cause different of the eigenvalues of structure b without damper. Of cause we can use the relations described above for calculate the eigenfrequencies of the structures and their damping, but it is not necessary to do this here.
Conclusion
We have considered two mechanical structures a and b. Both of them are nearly identical but structure a is defined by Rayleigh damping, structure b is defined by one arbitrary discrete damper.
We have shown one possible method for calculate the eigensolution of both structures a and b. The eigenmotion of structure a is calculated by neglecting the damping. This can be done for special conditions with respect to the damping, especially for Rayleigh damping. The eigenmotion for structure b is calculated in general manner.
We have defined a structure c with the identical eigenvalues (that means eigenfrequency and damping) like structure b but can be described by Rayleigh damping.
Compare the solution yields the following relations:
See that the definition of the eigenvalues are different in case of considering the structure with or without damping. We have to compare here the square of the absolute value of the eigenvalues of the structure with damping with the eigenvalues of the structure without damping.
Additional we have to see that the eigenmotion of the structure c with damping is different to the eigenmotion of the structure b with damping. This can be seen by calculate and compare the eigenvectors. We don't calculate this in this document, because the eigenmotion of damped structures are not clearly defined. But as an idea of this eigenmotion it can be said that the eigenmotion of structures with arbitrary damping in contrast to structures with Rayleigh damping has not the maximum values at the same time.
Legal Notice: The copyright for this application is owned by the author(s). Neither Maplesoft nor the author are responsible for any errors contained within and are not liable for any damages resulting from the use of this material. This application is intended for non-commercial, non-profit use only. Contact the author for permission if you wish to use this application in for-profit activities.