Application Center - Maplesoft

App Preview:

Investigation of the Power Spectral Density of Duffing's Equation By Equivalent Linearization Method

You can switch back to the summary page by clicking here.

Learn about Maple
Download Application


 

Image 

Investigation of the Power Spectral Density of Duffing's Equation By Equivalent Linearization Method 

Co. H. Tran.
Faculty of Mathematics, University of Natural Sciences - VNU-HCM
 

Abstract 

We  consider the non-linear random vibration model  demonstrated  by the  Duffing's  differential equation   :    

Image    (*)

The stationary random process  is  f( t)  which is  satisfied    < f(t) >  = 0          
with  the spectral density  function  Sf ( w  ) . To find  the solution  Sx ( w  ) of  (*)  we use  the equivalent linearization method .
 

 

1. Model  Definition 

The  non-linear random vibration model  includes  the mass   (m) - dashpot   (c) -spring   (k)
 ( fig.1 ) .  This model moves on the rough surface  which is  described by the random variable  y(s)  with  the  constant velocity   v  . If  we have the  relation  s =  vt   and  the mass  m  is also  influenced  under  the non-linear stimulating  force    , then the  vibration differential equation of the mass    m  can be rewritten as :  

                                                 Image                  Image( 1.0 )

                              ( fig . 1)
 

2. The equivalent linearization method 

The conditions of the stationary  solution and equivalent approximation :    Image     ( 2.1 )

The linear operator   :      Image           ( 2 2 )  

Substitute   D  =  iy1    into  (2.2)  we obtain  the frequency response :  
      Image ( 2.3 )

The impulse response :     Image   ( 2.4 )
 

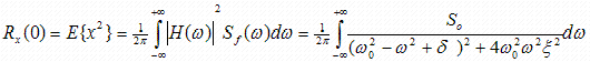
The power spectral density  :     
                                                Image          ( 2. 5 )


Assuming  S f ( y1  )  =  So  : const  ( white-noise)  then we have  :
           Image ( 2. 6 )

By altering    :    Image    and    choosing  S f ( y1  )  =  So  =  1  ( to simplify the next  algorithm )  , we take into account the integral expression  :
      Image Image          ( 2.7 )
 

The function  h(z) : 

 

 

> restart;
 

> h(z):=(1/((rho^2*z^2+(Gamma-z^2)^2))/(2*Pi));
 

1/2/((rho^2*z^2+(Gamma-z^2)^2)*Pi) 

And the equation :  (2.8) 

> eqn:=((rho^2*z^2+(Gamma-z^2)^2))=0;
 

rho^2*z^2+(Gamma-z^2)^2 = 0 

Roots of  (2.8)  : 

> cdiem:=solve(eqn,z);
 

1/2*(-2*rho^2+4*Gamma+2*(rho^4-4*rho^2*Gamma)^(1/2))^(1/2), -1/2*(-2*rho^2+4*Gamma+2*(rho^4-4*rho^2*Gamma)^(1/2))^(1/2), 1/2*(-2*rho^2+4*Gamma-2*(rho^4-4*rho^2*Gamma)^(1/2))^(1/2), -1/2*(-2*rho^2+4*Ga...
1/2*(-2*rho^2+4*Gamma+2*(rho^4-4*rho^2*Gamma)^(1/2))^(1/2), -1/2*(-2*rho^2+4*Gamma+2*(rho^4-4*rho^2*Gamma)^(1/2))^(1/2), 1/2*(-2*rho^2+4*Gamma-2*(rho^4-4*rho^2*Gamma)^(1/2))^(1/2), -1/2*(-2*rho^2+4*Ga...
 

(2.9) 

We choose the main value  of  (2.9)  

> z1:=-1/2*I*(2*rho^2-4*Gamma-2*(rho^4-4*rho^2*Gamma)^(1/2))^(1/2);
 

-1/2*I*(2*rho^2-4*Gamma-2*(rho^4-4*rho^2*Gamma)^(1/2))^(1/2) 

Use ( 2.9 ) to  find  the residue of h(z)  : 

> simplify(residue(h(z),z=z1));
 

1/2*I/(Pi*(2*rho^2-4*Gamma-2*(-rho^2*(-rho^2+4*Gamma))^(1/2))^(1/2)*(-rho^2*(-rho^2+4*Gamma))^(1/2)) 

The  formula  of   Image  :   

> Ex2 := -1/2*S[0]/Pi/(2*rho^2-4*Gamma-2*(-rho^2*(-rho^2+4*Gamma))^(1/2))^(1/2)/(-rho^2*(-rho^2+4*Gamma))^(1/2);
 

-1/2*S[0]/(Pi*(2*rho^2-4*Gamma-2*(-rho^2*(-rho^2+4*Gamma))^(1/2))^(1/2)*(-rho^2*(-rho^2+4*Gamma))^(1/2)) 

> delta:=3*mu*beta*Ex2;
 

-3/2*mu*beta*S[0]/(Pi*(2*rho^2-4*Gamma-2*(-rho^2*(-rho^2+4*Gamma))^(1/2))^(1/2)*(-rho^2*(-rho^2+4*Gamma))^(1/2)) 

> delta:=subs(rho=2*omega[0]*psi,delta);
 

-3/2*mu*beta*S[0]/(Pi*(8*omega[0]^2*psi^2-4*Gamma-2*(-4*omega[0]^2*psi^2*(-4*omega[0]^2*psi^2+4*Gamma))^(1/2))^(1/2)*(-4*omega[0]^2*psi^2*(-4*omega[0]^2*psi^2+4*Gamma))^(1/2)) 

> deta:=subs(Gamma=omega[0]^2+Delta,delta);
 

-3/2*mu*beta*S[0]/(Pi*(8*omega[0]^2*psi^2-4*omega[0]^2-4*Delta-2*(-4*omega[0]^2*psi^2*(-4*omega[0]^2*psi^2+4*omega[0]^2+4*Delta))^(1/2))^(1/2)*(-4*omega[0]^2*psi^2*(-4*omega[0]^2*psi^2+4*omega[0]^2+4*... 

> eqndelta:=Delta=deta;
 

Delta = -3/2*mu*beta*S[0]/(Pi*(8*omega[0]^2*psi^2-4*omega[0]^2-4*Delta-2*(-4*omega[0]^2*psi^2*(-4*omega[0]^2*psi^2+4*omega[0]^2+4*Delta))^(1/2))^(1/2)*(-4*omega[0]^2*psi^2*(-4*omega[0]^2*psi^2+4*omega...
Delta = -3/2*mu*beta*S[0]/(Pi*(8*omega[0]^2*psi^2-4*omega[0]^2-4*Delta-2*(-4*omega[0]^2*psi^2*(-4*omega[0]^2*psi^2+4*omega[0]^2+4*Delta))^(1/2))^(1/2)*(-4*omega[0]^2*psi^2*(-4*omega[0]^2*psi^2+4*omega...
 

     Image        ( 2.10)   and   Image  (2.11) 

                 

> Int((mu*beta/(sigma*sqrt(2*Pi)))*x^4*exp(-x^2/(2*sigma^2)),x=-infinity..infinity);  
 

Int(1/2*mu*beta*2^(1/2)*x^4*exp(-1/2*x^2/sigma^2)/(sigma*Pi^(1/2)), x = -infinity .. infinity) 

(2.12) 

> Exg(x):=int((mu*beta/(sigma*sqrt(2*Pi)))*x^4*exp(-x^2/(2*sigma^2)),x=-infinity..infinity);
 

piecewise(csgn(1/sigma^2) = 1, 3*mu*beta*sigma^4*csgn(1/sigma), infinity) 

(2.13) 

The coefficient of equivalent linearization  :    Image       ( 2.14 ) 

Calculation in details  :  

> eq:=subs(psi=1,mu=0.1,beta=0.2,S[0]=1,Gamma=omega[0]^2+Delta,eqndelta);eq:=subs(omega[0]=0.5,eq);
 

Delta = -0.3000000000e-1/(Pi*(4*omega[0]^2-4*Delta-2*(-16*omega[0]^2*Delta)^(1/2))^(1/2)*(-16*omega[0]^2*Delta)^(1/2)) 

Delta = -0.3000000000e-1/(Pi*(1.00-4*Delta-2*(-4.00*Delta)^(1/2))^(1/2)*(-4.00*Delta)^(1/2)) 

> nodelta:=solve(eq,Delta);
 

-.2286403831, -0.3981894531e-1, -.2675483392 

The Duffing's  equation can be approximated in the linear  form  with the values  of  nodelta :

                       Image   ( 2.15 )  
The investigation on components of  the Duffing's differential equation will be calculated by other methods of linear random vibration , and we can obtain the  corresponding approximate values in the meaning of minimum variance .
 

 

3. Parameters - Solution of the equivalent differential equation 

The graph of Duffing's differential equation  ( non-linear random )  : >
 

> D(D(x))(t)+2*psi*omega*D(x)(t)+(omega^2)*x(t)+mu*beta*(x(t)^3)=x^3;psi:=1;omega:=0.5;mu:=0.1;beta:=0.2;with(DEtools):with(plottools):with(plots):
 

((`@@`(D, 2))(x))(t)+2*psi*omega*(D(x))(t)+omega^2*x(t)+mu*beta*x(t)^3 = x^3 

1 

.5 

.1 

.2 

> DEplot({D(D(x))(t)+2*psi*omega*D(x)(t)+(omega^2)*x(t)+mu*beta*(x(t)^3)=sin(omega*t)},{x(t)},t=0..30,[[x(0)=1,D(x)(0)=1]],stepsize=0.5,title=`Nghiem  cua pt Duffing phi tuyen_non-linear random`);
 

Plot 

The graph of Duffing's differential equation  ( equivalent -linearization  random )  :>  

> D(D(x))(t)+2*psi*omega*D(x)(t)+((omega^2)+delta)*(x(t))=sin(omega*t);psi:=1;omega:=0.5;delta:=-.3981894531e-1;
 

((`@@`(D, 2))(x))(t)+1.0*(D(x))(t)+(.25-0.3000000000e-1*S[0]/(Pi*(8*.5[0]^2-4*Gamma-2*(-4*.5[0]^2*(-4*.5[0]^2+4*Gamma))^(1/2))^(1/2)*(-4*.5[0]^2*(-4*.5[0]^2+4*Gamma))^(1/2)))*x(t) = sin(.5*t)
((`@@`(D, 2))(x))(t)+1.0*(D(x))(t)+(.25-0.3000000000e-1*S[0]/(Pi*(8*.5[0]^2-4*Gamma-2*(-4*.5[0]^2*(-4*.5[0]^2+4*Gamma))^(1/2))^(1/2)*(-4*.5[0]^2*(-4*.5[0]^2+4*Gamma))^(1/2)))*x(t) = sin(.5*t)
 

1 

.5 

-0.3981894531e-1 

> DEplot({D(D(x))(t)+2*psi*omega*D(x)(t)+((omega^2)+delta)*(x(t))=sin(omega*t)},{x(t)},t=0..30,[[x(0)=1,D(x)(0)=1]],stepsize=0.05,title=`Nghiem  cua pt Duffing tuyen tinh hoa tuong duong_equivalent-linearization`);
 

Plot 

The comparison of two graphical solutions : non-linear and  equivalent-linearization .  

PlotPlot 

PlotPlot 

PlotPlot 

 

Legal Notice: The copyright for this application is owned by the author(s). Neither Maplesoft nor the author are responsible for any errors contained within and are not liable for any damages resulting from the use of this material. This application is intended for non-commercial, non-profit use only. Contact the author for permission if you wish to use this application in for-profit activities.
 

Image