Application Center - Maplesoft

App Preview:

Matrix Algebra: Complete Set of Lessons

You can switch back to the summary page by clicking here.

Learn about Maple
Download Application


 

MATRICES AND MATRIX OPERATIONS: Unit 1

Dr. Wlodzislaw Kostecki

The Papua New Guinea University of Technology (PNGUT)

Department of Electrical and Communication Engineering

Lae, Morobe Province

Papua New Guinea

Copyright 2000 by Wlodzislaw Kostecki

All rights reserved

-------------------------------------------------------------------

(1) Introduction

OBJECTIVES :

To provide a collection of the necessary definitions of, and concepts associated with, matrices.

To present notational conventions adopted for all the Units.

To introduce Maple s library package linalg containing functions required for matrix operations.

To introduce the concepts of a one-dimensional list or array and two-dimensional list or list of lists .

To introduce Maple s type-checking function type and the Boolean values true and false returned by it.

To show alternative methods of defining and inputting matrices with Maple .

To illustrate methods of creating matrices whose elements depend on their location in a matrix.

To show alternative methods of substituting data for matrix elements.

To show alternative methods of evaluation of matrices entered with symbolic elements whose numerical values become known in a later phase of computation.

To introduce the rule of last-name evaluation used by Maple as applied to matrices and illustrate its implications.

To specify the functions from outside of the linalg package, which are contained in Maple s main library and are able to perform operations on matrices.

To present alternative methods of unassigning a matrix structure from a name.

1.1 Basic definitions and notational conventions

A matrix is an ordered or systematic ( rectangular ) array of scalars , called elements , which are arranged in m rows and n columns and enclosed in brackets. Such a matrix is said to be of order (or size, or dimension) ( m n ) ( read: m by n ) .

The elements of a matrix are double-subscripted to denote their location in the matrix, the row index i preceding the column index j . The subscript indices must be natural numbers , which may or may not be separated by the comma refer to Section 1.2 for more details.

The scalars may be real numbers , complex numbers , or functions of some parameter.

A matrix is real-valued ( or real ) if all its elements are real numbers or real-valued functions . A matrix is complex-valued ( or complex ) if at least one element is a complex number or a complex-valued function .

If all elements of a matrix are numbers , whether real or complex , then it is called a constant matrix. If all elements of a matrix are integers , then it is called an integer matrix.

Two matrices are equal if they have the same order and their corresponding elements are equal.

A matrix is square if the number of rows is equal to the number of columns. Such a matrix is said to be of order ( m m ) or ( n n ) . A square matrix whose associated determinant is non-vanishing ( is not zero ) is called a non-singular matrix.

A matrix containing only one column is called a column matrix . Its order is ( m 1 ) . A matrix containing only one row is called a row matrix . Its order is ( 1 n ) .

N.B. In textbooks, the names column vector and row vector are used interchangeably with column matrix and row matrix , respectively. In Maple , the vector is a row object and is not a matrix, and the concept of "column vector" does not exist at all refer to Unit (3) for more details.

Operations on matrices are performed using functions and commands contained in a Maple library package called linalg ( lin ear alg ebra package), which is loaded with the with command. The package includes over 100 functions and procedures.

The with(linalg) command is used in every Unit in such a way that the functions necessary for a given Unit are specified, e.g. with(linalg, det, inverse, multiply, rowdim) . This results in loading only a few functions, not all the contents of the package. It should be noted that although the function matrix belongs to the linalg package, it need not be specified since this function is also included in Maple s main library.

* * *

NOTE 1: In textbooks, a matrix is frequently designated by a single boldface capital letter often enclosed in brackets, e.g. [ A ]. Wherever possible, the same notation is used in the text of all the Units. In Maple , a matrix is identified by a non-bracketed name, e.g. A. Consequently, in commands found in the Units, most often capitals are used to denote matrices, e.g. A, M, U, V, Z, Y, CM, RM.

Where functions of constant matrices are involved, such matrices are denoted in text as cos( [ A ] ), ln( [ A ] ), etc. Where functions of matrices comprising functions of a real variable t are involved, such matrices are denoted as sin( [ A ( t ) ] ), exp( [ A ( t ) ] ), etc. If mathematical expressions of functions of matrices are involved in text, then the following matrix designations are used: tan( A ), sinh(A( t )), etc.

Where a function is applied to all elements of a matrix, such matrices are denoted as A_exp , A_ln , A_sin , A_sqrt , etc.

NOTE 2: Various notational methods are found in textbooks for the names of certain matrices, using the characters ' ( or -1 as a superscript ) and * ( or t as a subscript or T as a superscript ) to denote the inverse and the transpose of a matrix, respectively. For all the Units, the following names are adopted for unification and convenience in displaying results:

Abs( A ) for the absolute value of the elements of a matrix [ A ],

Adj( A ) for the adjoint of a square matrix [ A ],

Arg( A ) for the principal argument of the elements of a matrix [ A ],

char_eq( A ) for the characteristic equation of a square matrix [ A ],

char_poly( A ) for the characteristic polynomial of a square matrix [ A ],

char_roots( A ) for the characteristic roots or eigenvalues of a square matrix [ A ],

char_vectors( A ) for the characteristic vectors or eigenvectors of a square matrix [ A ],

Cofactor( a[ij] ) for the cofactor of an element a[ij] of a square matrix [ A ],

Cofactor( A ) for the cofactor matrix associated with a square matrix [ A ],

Conj( A ) for the conjugate of a complex matrix [ A ],

Det( A ) for the determinant of a square matrix [ A ],

Inv( A ) for the inverse of a square non-singular matrix [ A ],

Minor( a[ij] ) for the minor of an element a[ij] of a square matrix [ A ],

roots_and_vectors( A ) for the sequence of lists containing characteristic roots and vectors of a square matrix [ A ],

Trace( A ) for the trace of a square matrix [ A ],

Transp( A ) for the transpose of a matrix [ A ].

Moreover, the following auxiliary names are adopted:

Antisym( A ) for the antisymmetric part of a square matrix [ A ] defined as ( [ A ] Transp [ A ] ) ,

Sym( A ) for the symmetric part of a square matrix [ A ] defined as ( [ A ] + Transp [ A ] ) ,

Col[j] ( A ) for the j th column of a matrix [ A ],

Row[i] ( A ) for the i th row of a matrix [ A ].

(1.2) Entering matrices and substituting data for matrix elements

> restart : with(linalg, adjoint, det, entermatrix, orthog, randmatrix, rowdim, transpose) :

In Maple , there are several alternative methods of entering matrices and substituting data for matrix elements. An overview of these methods is presented hereunder.

A . Defining and inputting matrices

For example, consider a ( 2 3 ) matrix [ A ] containing symbolic elements.

Method 1 . Using the matrix function, type the matrix elements in brackets containing bracketed elements of each consecutive row:

> A := matrix([ [a[11], a[12], a[13]], [a[21], a[22], a[23]] ]) : A = matrix(A) ;

A = matrix([[a[11], a[12], a[13]], [a[21], a[22], a...

N.B. Equivalent to the above short command is defining first a two-dimensional list or list of lists , i.e.

> LL := [ [a[11], a[12], a[13]], [a[21], a[22], a[23]] ] : 'LL' = LL ;

LL = [[a[11], a[12], a[13]], [a[21], a[22], a[23]]]...

and then, converting it into a matrix using the convert and matrix functions, viz.

> A := convert(LL, matrix) : A = matrix(A) ;

A = matrix([[a[11], a[12], a[13]], [a[21], a[22], a...

Method 2 . Using the matrix function, specify the number of matrix rows (e.g., 2 ) followed by the number of columns (e.g., 3 ) and then, type the matrix elements in brackets row-by-row:

> A := matrix(2, 3, [a[11], a[12], a[13], a[21], a[22], a[23]]) : A = matrix(A) ;

A = matrix([[a[11], a[12], a[13]], [a[21], a[22], a...

N.B. Equivalent to the above short command is defining first a one-dimensional list or array , i.e.

> L := [a[11], a[12], a[13], a[21], a[22], a[23]] : 'L' = L ;

L = [a[11], a[12], a[13], a[21], a[22], a[23]]

and then, converting it into a matrix using the matrix function, viz.

> A := matrix(2, 3, L) : A = matrix(A) ;

A = matrix([[a[11], a[12], a[13]], [a[21], a[22], a...

Method 3 . Using the array function, type the array elements in brackets containing bracketed elements of each consecutive row:

> A := array([ [a[11], a[12], a[13]], [a[21], a[22], a[23]] ]) : A = matrix(A) ;

A = matrix([[a[11], a[12], a[13]], [a[21], a[22], a...

N.B. Equivalent to the above short command is defining first a two-dimensional list or list of lists , i.e.

> LL := [ [a[11], a[12], a[13]], [a[21], a[22], a[23]] ] : 'LL' = LL ;

LL = [[a[11], a[12], a[13]], [a[21], a[22], a[23]]]...

and then, converting it into a matrix using the convert and matrix functions, viz.

> A := convert(LL, matrix) : A = matrix(A) ;

A = matrix([[a[11], a[12], a[13]], [a[21], a[22], a...

Method 4 . Using the array function, specify the range of array rows (e.g., 1..2 ) followed by the range of columns (e.g., 1..3 ) and then, type the array elements in brackets containing bracketed elements of each consecutive row:

> A := array(1..2, 1..3, [ [a[11], a[12], a[13]], [a[21], a[22], a[23]] ]) : A = matrix(A) ;

A = matrix([[a[11], a[12], a[13]], [a[21], a[22], a...

N.B. Equivalent to the above short command is defining first a two-dimensional list or list of lists , i.e.

> LL := [ [a[11], a[12], a[13]], [a[21], a[22], a[23]] ] : 'LL' = LL ;

LL = [[a[11], a[12], a[13]], [a[21], a[22], a[23]]]...

and then, converting it into a matrix using the convert and matrix functions, viz.

> A := convert(LL, matrix) : A = matrix(A) ;

A = matrix([[a[11], a[12], a[13]], [a[21], a[22], a...

Method 5 . Using the convert function, type the elements in brackets containing bracketed elements of each consecutive row and then, convert this two-dimensional structure into a matrix :

> A := convert([ [a[11], a[12], a[13]], [a[21], a[22], a[23]] ], matrix) : A = matrix(A) ;

A = matrix([[a[11], a[12], a[13]], [a[21], a[22], a...

N.B. Equivalent to the above short command is defining first a two-dimensional list or list of lists , i.e.

> LL := [ [a[11], a[12], a[13]], [a[21], a[22], a[23]] ] : 'LL' = LL ;

LL = [[a[11], a[12], a[13]], [a[21], a[22], a[23]]]...

and then, converting it into a matrix using the convert and matrix functions, viz.

> A := convert(LL, matrix) : A = matrix(A) ;

A = matrix([[a[11], a[12], a[13]], [a[21], a[22], a...

B. Substituting data for matrix elements

For example, consider ( 3 3 ) matrices [ A ], [ B ], and [ V ], and ( 2 3 ) matrix [ E ] to illustrate non-interactive methods, and ( 2 2 ) matrix [ F ] to illustrate the interactive method.

Method 1 . Assign values to matrix elements prior to defining a matrix

> a[11]:=2 : a[12]:=1 : a[13]:=0 : a[21]:=1 : a[22]:=-1 : a[23]:=3 : a[31]:=0 : a[32]:=6 : a[33]:=2 :

and then, define a matrix of desired size using the same symbolic names for its elements:

> A := matrix([[a[11], a[12], a[13]], [a[21], a[22], a[23]], [a[31], a[32], a[33]]]) : A = matrix(A) ;

A = matrix([[2, 1, 0], [1, -1, 3], [0, 6, 2]])

N.B. This method is useful where a set of data is to be presented in the matrix form. To this end, type first the data in a manner indicating that a two-dimensional ordered structure is involved, i.e.

> data_list:=[ [a, b, c], [d, e, f] ] : 'data_list'=data_list ; type(data_list, list) ; type(data_list, listlist) ;

data_list = [[a, b, c], [d, e, f]]

true

true

This is a two-dimensional list , or list of lists , as verified by both Boolean values true returned by the type-checking function type .

Then, convert the two-dimensional list (list of lists) into a matrix using the convert and matrix functions, viz.

> A := convert(data_list, matrix) : A = matrix(A) ;

A = matrix([[a, b, c], [d, e, f]])

Method 2 . Declare the name and dimensions of a matrix,

> B := matrix(3, 3) :

or, equivalently,

> B := matrix(3, 3, [ ]) : B := array(1..3, 1..3) : B := array(1..3, 1..3, [ ]) :

assign values to its elements,

> B[1,1]:=-2 : B[1,2]:=3 : B[1,3]:=1 : B[2,1]:=0 : B[2,2]:=3 : B[2,3]:=0 : B[3,1]:=4 : B[3,2]:=5 : B[3,3]:=2 :

and input/display the matrix:

> B := matrix(B) : B = matrix(B) ;

B = matrix([[-2, 3, 1], [0, 3, 0], [4, 5, 2]])

Notice the difference in the way of assigning values to matrix elements in Methods 1 and 2 if a capital letter is used as the name of a matrix, viz.

in Method 1 : lower-case letters must be used for the symbolic indexed matrix elements and the index digits may not be separated by the comma.

in Method 2 : upper-case letters must be used for the symbolic indexed matrix elements and the comma must separate the index digits .

Also notice at this point that matrix names cannot be subscripted in the way, which is used in indexing variables, i.e. an attempt to assign a matrix structure to single-indexed names like B[1] ( B[1] ) or B[a] ( B[a] ) will result in an error message. Indexing matrix names follows different rules.

Two cases of indexed matrix names should be distinguished.

Case 1 when an indexed name is to be assigned a matrix structure.

A matrix name may only be added a subscript, which consists of two natural numbers separated by the comma, neither of the numbers being greater than the number of rows or columns, respectively, of a matrix structure assigned to the subscripted name. For example, the following indexed name and matrix assignment are correct:

> B[2,3] := matrix(2, 3, [b[11], b[12], b[13], b[21], b[22], b[23]]) : B[2,3] = matrix(B[2,3]) ;

B[2,3] = matrix([[b[11], b[12], b[13]], [b[21], b[2...

Case 2 when an indexed name is not to be assigned a matrix structure.

A matrix name may only be added a subscript, which consists of two strings separated by the coma and formed by enclosing any sequence of characters in a pair of backquotes. For instance, the following indexed names may be used:

> B[`(11`,`23)`] = matrix(2, 3, [b[11], b[12], b[13], b[21], b[22], b[23]]) ;

B[`(11`,`23)`] = matrix([[b[11], b[12], b[13]], [b[...

> B[`(2 rows`,`3 columns)`] = matrix(2, 3, [b[11], b[12], b[13], b[21], b[22], b[23]]) ;

B[`(2 rows`,`3 columns)`] = matrix([[b[11], b[12], ...

Method 3 . Define a matrix using symbolic names for its elements

> V := array(1..3, 1..3, [[v[11], v[12], v[13]], [v[21], v[22], v[23]], [v[31], v[32], v[33]]]) :

then use the subs function to subs titute the symbolic names in the matrix function with the given values, and input/display the matrix:

> V := subs(v[11]=8, v[12]=2, v[13]=1, v[21]=1, v[22]=3, v[23]=0, v[31]=4, v[32]=2, v[33]=1, matrix(V)) : V =matrix(V) ;

V = matrix([[8, 2, 1], [1, 3, 0], [4, 2, 1]])

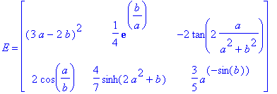
Method 4 . If a matrix containing functions of symbolic elements has been defined and input, e.g.

> E := matrix(2, 3, [(3*a-2*b)^2, 1/4*exp(b/a), -2*tan(2*a/(a^2+b^2)), 2*cos(a/b), 4/7*sinh(2*a^2+b), 3/5*a^(-sin(b))]) : E = matrix(E) ;

E = matrix([[(3*a-2*b)^2, 1/4*exp(b/a), -2*tan(2*a/...

and numerical data for the symbolic elements are determined and input in a later phase of computations, e.g.

> a := 1.75 : b := -0.25 : 'a' = a ; 'b' = b ;

a = 1.75

b = -.25

then floating-point evaluation of matrix [ E ] may be performed using any of the following alternative methods.

(a) Using the function map together with the arrow-type functional operator, ( x-> ) , and the function eval :

> E = map(x->eval(x), E) ;

E = matrix([[33.0625, .2167194750, -4.131910522], [...

E = matrix([[33.0625, .2167194750, -4.131910522], [...

E = matrix([[33.0625, .2167194750, -4.131910522], [...

(b) Using the functions evalf and subs together with any of the functions eval , matrix ,or op :

> E = evalf(subs('a'=a, 'b'=b, eval(E))) ; E = evalf(subs('a'=a, 'b'=b, matrix(E))) ; E = evalf(subs('a'=a, 'b'=b, op(E))) ;

E = matrix([[33.0625, .2167194750, -4.131910522], [...

E = matrix([[33.0625, .2167194750, -4.131910522], [...

E = matrix([[33.0625, .2167194750, -4.131910522], [...

Notice the single unevaluation quotes that must surround each data name in method (b).

Method 5 . This is an interactive method, which uses the entermatrix function prompting the user to enter the number of element values equal to the number of symbolic elements in a pre-defined matrix.

Step 1 . Define a matrix using symbolic names for its elements:

F = matrix([[f[11], f[12]], [f[21], f[22]]])

> F := matrix(2, 2, [f[11], f[12], f[21], f[22]]) : F = matrix(F) ;

F = matrix([[f[11], f[12]], [f[21], f[22]]])

Step 2 . Enter values (numerical or symbolic) of the elements of [ F ] given, for instance, as f[11] = -2 , f[12] = 3 , f[21] = 4 , f[22] = 6 . The values entered must be terminated with the semi-colon .

> F := entermatrix(F) :

enter element 1,1 > -2;

enter element 1,2 > 3;

enter element 2,1 > 4;

enter element 2,2 > 6;

Step 3 . Input/display the matrix containing the values entered:

> F = matrix(F) ;

F = matrix([[-2, 3], [4, 6]])

* * *

N.B. Matrices whose elements are to be a function of the element location, i.e.

a[ij] = f(i,j)

may be created using either of the following alternative methods.

For example, create a ( 4 5 ) matrix [ A ] whose elements are given by the function

a[ij] = 2*i^3-3*j^2

Method 1 . Using the double for -loop construct:

> A := array(1..4, 1..5) : for i to 4 do for j to 5 do A[i,j] := 2*i^3 - 3*j^2 : od : od :

> A := matrix(A) : A = matrix(A) ;

A = matrix([[-1, -10, -25, -46, -73], [13, 4, -11, ...

Method 2 . Using the special call matrix(m, n, fnc) and Maple s arrow-type definition of the function fnc acting on the locations ( i , j ):

> fnc := (i, j) -> 2*i^3 - 3*j^2 : A := matrix(4, 5, fnc) : A = matrix(A) ;

A = matrix([[-1, -10, -25, -46, -73], [13, 4, -11, ...

* * *

N.B. If all the symbolic or numerical elements of a pre-defined and input matrix are to be substituted with (overwritten by) the same integer , then using the map and op functions is the simplest way. For instance, substitute all elements of the above matrix [ A ] with the integer 12 :

> A := map(op(12), A) : A = matrix(A) ;

A = matrix([[12, 12, 12, 12, 12], [12, 12, 12, 12, ...

* * *

N.B. If all the symbolic or numerical elements of a matrix are to be substituted with (overwritten by) an arbitrary non-integer real or complex number , some symbolic element, or function of a real variable or complex number, the map function together with the arrow-type functional operator, ( x-> ) , should be used. For instance, substitute all elements of the above matrix [ A ] with the result of the product 2*I*cos(1.27) :

> A := map(x -> 2*I*cos(1.27), A) : A = matrix(A) ;

A = matrix([[.5925617458*I, .5925617458*I, .5925617...

* * *

N.B. For creating example matrices, the randmatrix function may be used, which returns an ( m n ) matrix with random integers from the interval [-99 .. 99] .

For example, create a ( 3 4 ) matrix [ R ] with random entries.

> R := randmatrix(3, 4) : R = matrix(R) ;

R = matrix([[-85, -55, -37, -35], [97, 50, 79, 56],...

An optional argument may be used together with the randmatrix function, which will create a special type of random matrix. The option may be diagonal , symmetric , antisymmetric , sparse , unimodular , or identity . Refer to Units (7) and (9) for the definitions of these matrices.

* * *

If variation of constants given in the form of symbolic elements of a matrix [ P ]

> P := matrix(2, 3, [G, H, J, K, N, T]) : P = matrix(P) ;

P = matrix([[G, H, J], [K, N, T]])

is to be done, i.e. each element is to be made a function of a single variable , x , then the following command should be used:

> P := P(x) : 'P(x)' = matrix(P) ;

P(x) = matrix([[G(x), H(x), J(x)], [K(x), N(x), T(x...

* * *

A matrix [ M ] whose elements are to be a function of a variable t , which function is to depend on the element location in the matrix may be created using Maple s arrow-type definition of the function fnc and the special call matrix(m, n, fnc) , e.g.

> fnc := (i, j) -> (3*i - 2*j)*t^(2*i + 3*j) : M(t) := matrix(2, 3, fnc) ;

M(t) := matrix([[t^5, -t^8, -3*t^11], [4*t^7, 2*t^1...

* * *

N.B. Unlike in computations where names retain the assigned objects (values, functions, etc.), in matrix computations the name assigned a matrix does not "carry over" the structure assigned. This means that if the name V has been assigned the matrix [ V ] (as is the case earlier in this Unit), then typing in the name does not return the matrix but the variable name to which it is assigned, i.e.

> V ;

V

This special rule used by Maple in the evaluation of data structures including arrays and matrices is called last-name evaluation .

Consequently, any operation applied to a matrix name returns a result of a given operation performed on the variable used as the matrix name, e.g.

> V + 1 ; V^2 ;

V+1

V^2

There are, however, some functions that do not belong to the linalg package but will recognise the pre-defined matrix structure assigned to the name and perform the respective operations on the matrix, viz.

Function copy that duplicates data structures:

> copy(V) ;

matrix([[8, 2, 1], [1, 3, 0], [4, 2, 1]])

Function entries that displays an unordered sequence of the bracketed entries of data structures:

> entries(V) ;

[8], [2], [1], [1], [4], [3], [1], [0], [2]

Function evalm that eval uates m atrices and expressions involving matrices both symbolically and numerically:

> evalm(V) ;

matrix([[8, 2, 1], [1, 3, 0], [4, 2, 1]])

Function indices that displays an unordered sequence of the bracketed indices of the entries of data structures:

> indices(V) ;

[1, 1], [1, 2], [1, 3], [2, 1], [3, 1], [2, 2], [3,...

Although the above four functions are not included in the linalg package, each of them is specifically designed to work on data structures only.

Some other commands and operators from Maple s main library that recognise the matrix structure "behind" its name and perform the respective operation on the pre-defined matrix are as follows.

Function convert together with a suitable parameter (e.g. listlist ) that converts an expression to another form:

> convert(V, listlist) ;

[[8, 2, 1], [1, 3, 0], [4, 2, 1]]

Function print that displays the values of the expressions appearing as arguments:

> print(V) ;

matrix([[8, 2, 1], [1, 3, 0], [4, 2, 1]])

Type-checking Boolean function type that checks if the first parameter is of type specified by the second parameter:

> type(V, matrix) ;

true

Function map used together with the arrow-type functional operator, ( x-> ) , that applies a function or procedure to all the operands (components) of expressions, including matrices. In the example below, the function applied to V is multiplication of each element of matrix [ V ] by the scalar mu :

> map(x->x*mu, V) ;

matrix([[8*mu, 2*mu, mu], [mu, 3*mu, 0], [4*mu, 2*m...

A pair of empty parentheses placed immediately after the matrix name that displays the matrix:

> V() ;

matrix([[8, 2, 1], [1, 3, 0], [4, 2, 1]])

Subscript notation, or bracketed indices separated by the comma [i, j] that extracts the element of matrix [ V ] at the specified location ( i , j ), e.g.:

> V[3,1] ;

4

Function conjugate that computes the complex conjugate of complex-numbered expressions, including matrices. If a complex-numbered matrix [ Z ] is given as

> Z := matrix(2, 3, [-5*I, 2+6*I, I, 4+8*I, 3, 6-10*I]) : Z = matrix(Z) ;

Z = matrix([[-5*I, 2+6*I, I], [4+8*I, 3, 6-10*I]])

then

> conjugate(Z) = evalm(conjugate(Z)) ;

conjugate(Z) = matrix([[5*I, 2-6*I, -I], [4-8*I, 3,...

There are two commands in Maple s main library that force full evaluation of a matrix name to the elements of the matrix, viz.

Function eval that fully eval uates expressions, including matrices:

> eval(V) ;

matrix([[8, 2, 1], [1, 3, 0], [4, 2, 1]])

Function op that extracts op erands (components) of expressions, including matrices. For the latter, the function returns all the components in the matrix form:

> op(V) ;

matrix([[8, 2, 1], [1, 3, 0], [4, 2, 1]])

Needless to say that all the functions and commands contained in the linalg package recognise the matrix structure "behind" its name and perform the relevant operations on the matrix, e.g.

> adjoint(V) ; det(V) ; orthog(V) ; rowdim(V) ; transpose(V) ;

matrix([[3, 0, -3], [-1, 4, 1], [-10, -8, 22]])

12

false

3

matrix([[8, 1, 4], [2, 3, 2], [1, 0, 1]])

To "inform" a function from outside of the linalg package that the name V has been assigned a matrix structure, the aforementioned commands eval and op or function matrix may be used, e.g.

> eval(V) + 1 ; (op(V))^2 ; 3/4*matrix(V) ;

matrix([[8, 2, 1], [1, 3, 0], [4, 2, 1]])+1

matrix([[8, 2, 1], [1, 3, 0], [4, 2, 1]])^2

3/4*matrix([[8, 2, 1], [1, 3, 0], [4, 2, 1]])

[ How to execute the above operations, refer to the pertinent Units. ]

In summary, using any of the following commands will re-assign the matrix structure to the name V:

> V := copy(V) : V := evalm(V) : V := eval(V) : V := op(V) : V := matrix(V) : V := V() ;

V := matrix([[8, 2, 1], [1, 3, 0], [4, 2, 1]])

* * *

If a matrix name is to be unassigned the structure of a pre-defined matrix, any of the following alternative methods may be used.

Method 1 . Using the procedure unassign , viz.

> type(V, matrix) ; unassign(V) : V ; type(V , matrix) ;

true

V

false

Method 2 . Using single quotes ( ' ' ) enclosing the matrix name, viz.

> type(E, matrix) ; E := 'E' : E ; type(E , matrix) ;

true

E

false

Method 3 . Using the evaln function that eval uates the expression to its n ame, viz.

> type(R, matrix) ; R := evaln(R) : R ; type(R , matrix) ;

true

R

false

The first Boolean value true verifies that a name carries the pre-defined matrix structure before unassigning, and the second Boolean value false verifies that the name has been unassigned the matrix structure.

* * *

N.B. A matrix name of type [ M ( t ) ] retains the structure assigned. To display such a name together with a pre-defined matrix structure, enclose it in a pair of single quotes, viz.

> 'M(t)' = M(t) ;

M(t) = matrix([[t^5, -t^8, -3*t^11], [4*t^7, 2*t^10...

* * *

Proceed to Unit (2) for " Extracting components of matrices ".

-------------------------------------------------------------------