Application Center - Maplesoft

App Preview:

Cauchy problems for wave equations (updated to Maple 7)

You can switch back to the summary page by clicking here.

Learn about Maple
Download Application


 

wave_eqc.mws

Solving Cauchy problems for  wave equations

by Aleksas Domarkas

Vilnius University, Faculty of Mathematics and Informatics,

Naugarduko 24, Vilnius, Lithuania

aleksas@ieva.mif.vu.lt

NOTE: In this session we solve Cauchy problems for  wave equations.

Cauchy problem   for 1d wave equation (1)

Problem

from M.Kawski

ftp://math.la.asu.edu/pub/kawski/MAPLE/362/dAlembert2hats.mws

>    restart;

>    eq:=diff(u(x,t),t,t)=4*diff(u(x,t),x,x);#x>-infinity,x<infinity,t>0;

>    ic:=u(x,0)=u0(x);ict:=D[2](u)(x,0)=u1(x);#x>-infinity,x<infinity;

eq := diff(u(x,t),`$`(t,2)) = 4*diff(u(x,t),`$`(x,2))

ic := u(x,0) = u0(x)

ict := D[2](u)(x,0) = u1(x)

>    hat2:=x->1-abs(abs(x)-2);

>    ramp:=x->(x+abs(x))/2;

hat2 := proc (x) options operator, arrow; 1-abs(abs(x)-2) end proc

ramp := proc (x) options operator, arrow; 1/2*x+1/2*abs(x) end proc

>    u0:=ramp@hat2;

u0 := `@`(ramp,hat2)

>    u1:=0;

u1 := 0

>    plot(u0,-4..4,-1..2,scaling=constrained,axes=boxed);

[Maple Plot]

>    convert(u0(x),piecewise);

PIECEWISE([0, x <= -3],[x+3, x <= -2],[-x-1, x < -1],[0, x <= 1],[x-1, x < 2],[-x+3, x < 3],[0, 3 <= x])

>    u0:=unapply(convert(u0(x),Heaviside),x);

u0 := proc (x) options operator, arrow; Heaviside(x-3)*x+x*Heaviside(x+1)+4*Heaviside(x-2)-2*Heaviside(x-2)*x-Heaviside(x-1)+Heaviside(x+1)-4*Heaviside(x+2)+x*Heaviside(x+3)-3*Heaviside(x-3)+Heaviside(...
u0 := proc (x) options operator, arrow; Heaviside(x-3)*x+x*Heaviside(x+1)+4*Heaviside(x-2)-2*Heaviside(x-2)*x-Heaviside(x-1)+Heaviside(x+1)-4*Heaviside(x+2)+x*Heaviside(x+3)-3*Heaviside(x-3)+Heaviside(...
u0 := proc (x) options operator, arrow; Heaviside(x-3)*x+x*Heaviside(x+1)+4*Heaviside(x-2)-2*Heaviside(x-2)*x-Heaviside(x-1)+Heaviside(x+1)-4*Heaviside(x+2)+x*Heaviside(x+3)-3*Heaviside(x-3)+Heaviside(...

>   

Solving(1 method)

We use  d'Alembert's  formula for solution:

u(x,t) = (u0(x-a*t)+u0(x+a*t))/2+int(u1(xi),xi = x-a*t .. x+a*t)/(2*a)

>    a:=2:

>    sol1:=(u0(x-a*t)+u0(x+a*t))/2;

sol1 := 1/2*Heaviside(x-2*t-3)*(x-2*t)+1/2*(x-2*t)*Heaviside(x-2*t+1)+2*Heaviside(x-2*t-2)-Heaviside(x-2*t-2)*(x-2*t)-1/2*Heaviside(x-2*t-1)+1/2*Heaviside(x-2*t+1)-2*Heaviside(x-2*t+2)+1/2*(x-2*t)*Heav...
sol1 := 1/2*Heaviside(x-2*t-3)*(x-2*t)+1/2*(x-2*t)*Heaviside(x-2*t+1)+2*Heaviside(x-2*t-2)-Heaviside(x-2*t-2)*(x-2*t)-1/2*Heaviside(x-2*t-1)+1/2*Heaviside(x-2*t+1)-2*Heaviside(x-2*t+2)+1/2*(x-2*t)*Heav...
sol1 := 1/2*Heaviside(x-2*t-3)*(x-2*t)+1/2*(x-2*t)*Heaviside(x-2*t+1)+2*Heaviside(x-2*t-2)-Heaviside(x-2*t-2)*(x-2*t)-1/2*Heaviside(x-2*t-1)+1/2*Heaviside(x-2*t+1)-2*Heaviside(x-2*t+2)+1/2*(x-2*t)*Heav...
sol1 := 1/2*Heaviside(x-2*t-3)*(x-2*t)+1/2*(x-2*t)*Heaviside(x-2*t+1)+2*Heaviside(x-2*t-2)-Heaviside(x-2*t-2)*(x-2*t)-1/2*Heaviside(x-2*t-1)+1/2*Heaviside(x-2*t+1)-2*Heaviside(x-2*t+2)+1/2*(x-2*t)*Heav...
sol1 := 1/2*Heaviside(x-2*t-3)*(x-2*t)+1/2*(x-2*t)*Heaviside(x-2*t+1)+2*Heaviside(x-2*t-2)-Heaviside(x-2*t-2)*(x-2*t)-1/2*Heaviside(x-2*t-1)+1/2*Heaviside(x-2*t+1)-2*Heaviside(x-2*t+2)+1/2*(x-2*t)*Heav...
sol1 := 1/2*Heaviside(x-2*t-3)*(x-2*t)+1/2*(x-2*t)*Heaviside(x-2*t+1)+2*Heaviside(x-2*t-2)-Heaviside(x-2*t-2)*(x-2*t)-1/2*Heaviside(x-2*t-1)+1/2*Heaviside(x-2*t+1)-2*Heaviside(x-2*t+2)+1/2*(x-2*t)*Heav...
sol1 := 1/2*Heaviside(x-2*t-3)*(x-2*t)+1/2*(x-2*t)*Heaviside(x-2*t+1)+2*Heaviside(x-2*t-2)-Heaviside(x-2*t-2)*(x-2*t)-1/2*Heaviside(x-2*t-1)+1/2*Heaviside(x-2*t+1)-2*Heaviside(x-2*t+2)+1/2*(x-2*t)*Heav...
sol1 := 1/2*Heaviside(x-2*t-3)*(x-2*t)+1/2*(x-2*t)*Heaviside(x-2*t+1)+2*Heaviside(x-2*t-2)-Heaviside(x-2*t-2)*(x-2*t)-1/2*Heaviside(x-2*t-1)+1/2*Heaviside(x-2*t+1)-2*Heaviside(x-2*t+2)+1/2*(x-2*t)*Heav...

>   

Solving(2 method)

>    assume(t>0);

>    with(inttrans):

>    fourier(eq,x,w);

diff(fourier(u(x,t),x,w),`$`(t,2)) = -4*w^2*fourier(u(x,t),x,w)

>    ode:=subs(fourier(u(x,t),x,w)=s(t),%);

ode := diff(s(t),`$`(t,2)) = -4*w^2*s(t)

>    dsolve({ode,s(0)=fourier(u0(x),x,w),
D(s)(0)=fourier(u1(x),x,w)},s(t));

s(t) = 2*(2*cos(2*w)+3*I*w^2*Pi*Dirac(w)*sin(3*w)-cos(3*w)-cos(w)+w^2*Pi*Dirac(w)*sin(w)*I-4*I*w^2*Pi*Dirac(w)*sin(2*w))/w^2*cos(2*w*t)
s(t) = 2*(2*cos(2*w)+3*I*w^2*Pi*Dirac(w)*sin(3*w)-cos(3*w)-cos(w)+w^2*Pi*Dirac(w)*sin(w)*I-4*I*w^2*Pi*Dirac(w)*sin(2*w))/w^2*cos(2*w*t)

>    sol2:=simplify(invfourier(rhs(%),w,x));

sol2 := -1/2*x*Heaviside(t-1/2*x-1/2)-x*Heaviside(t+1/2*x+1)+t*Heaviside(t+1/2*x-3/2)+1/2*x*Heaviside(t+1/2*x-1/2)-2*t*Heaviside(t+1/2*x-1)-1/2*Heaviside(t-1/2*x-1/2)-1/2*x*Heaviside(t-1/2*x-3/2)-3/2*H...
sol2 := -1/2*x*Heaviside(t-1/2*x-1/2)-x*Heaviside(t+1/2*x+1)+t*Heaviside(t+1/2*x-3/2)+1/2*x*Heaviside(t+1/2*x-1/2)-2*t*Heaviside(t+1/2*x-1)-1/2*Heaviside(t-1/2*x-1/2)-1/2*x*Heaviside(t-1/2*x-3/2)-3/2*H...
sol2 := -1/2*x*Heaviside(t-1/2*x-1/2)-x*Heaviside(t+1/2*x+1)+t*Heaviside(t+1/2*x-3/2)+1/2*x*Heaviside(t+1/2*x-1/2)-2*t*Heaviside(t+1/2*x-1)-1/2*Heaviside(t-1/2*x-1/2)-1/2*x*Heaviside(t-1/2*x-3/2)-3/2*H...
sol2 := -1/2*x*Heaviside(t-1/2*x-1/2)-x*Heaviside(t+1/2*x+1)+t*Heaviside(t+1/2*x-3/2)+1/2*x*Heaviside(t+1/2*x-1/2)-2*t*Heaviside(t+1/2*x-1)-1/2*Heaviside(t-1/2*x-1/2)-1/2*x*Heaviside(t-1/2*x-3/2)-3/2*H...
sol2 := -1/2*x*Heaviside(t-1/2*x-1/2)-x*Heaviside(t+1/2*x+1)+t*Heaviside(t+1/2*x-3/2)+1/2*x*Heaviside(t+1/2*x-1/2)-2*t*Heaviside(t+1/2*x-1)-1/2*Heaviside(t-1/2*x-1/2)-1/2*x*Heaviside(t-1/2*x-3/2)-3/2*H...
sol2 := -1/2*x*Heaviside(t-1/2*x-1/2)-x*Heaviside(t+1/2*x+1)+t*Heaviside(t+1/2*x-3/2)+1/2*x*Heaviside(t+1/2*x-1/2)-2*t*Heaviside(t+1/2*x-1)-1/2*Heaviside(t-1/2*x-1/2)-1/2*x*Heaviside(t-1/2*x-3/2)-3/2*H...
sol2 := -1/2*x*Heaviside(t-1/2*x-1/2)-x*Heaviside(t+1/2*x+1)+t*Heaviside(t+1/2*x-3/2)+1/2*x*Heaviside(t+1/2*x-1/2)-2*t*Heaviside(t+1/2*x-1)-1/2*Heaviside(t-1/2*x-1/2)-1/2*x*Heaviside(t-1/2*x-3/2)-3/2*H...
sol2 := -1/2*x*Heaviside(t-1/2*x-1/2)-x*Heaviside(t+1/2*x+1)+t*Heaviside(t+1/2*x-3/2)+1/2*x*Heaviside(t+1/2*x-1/2)-2*t*Heaviside(t+1/2*x-1)-1/2*Heaviside(t-1/2*x-1/2)-1/2*x*Heaviside(t-1/2*x-3/2)-3/2*H...
sol2 := -1/2*x*Heaviside(t-1/2*x-1/2)-x*Heaviside(t+1/2*x+1)+t*Heaviside(t+1/2*x-3/2)+1/2*x*Heaviside(t+1/2*x-1/2)-2*t*Heaviside(t+1/2*x-1)-1/2*Heaviside(t-1/2*x-1/2)-1/2*x*Heaviside(t-1/2*x-3/2)-3/2*H...
sol2 := -1/2*x*Heaviside(t-1/2*x-1/2)-x*Heaviside(t+1/2*x+1)+t*Heaviside(t+1/2*x-3/2)+1/2*x*Heaviside(t+1/2*x-1/2)-2*t*Heaviside(t+1/2*x-1)-1/2*Heaviside(t-1/2*x-1/2)-1/2*x*Heaviside(t-1/2*x-3/2)-3/2*H...
sol2 := -1/2*x*Heaviside(t-1/2*x-1/2)-x*Heaviside(t+1/2*x+1)+t*Heaviside(t+1/2*x-3/2)+1/2*x*Heaviside(t+1/2*x-1/2)-2*t*Heaviside(t+1/2*x-1)-1/2*Heaviside(t-1/2*x-1/2)-1/2*x*Heaviside(t-1/2*x-3/2)-3/2*H...
sol2 := -1/2*x*Heaviside(t-1/2*x-1/2)-x*Heaviside(t+1/2*x+1)+t*Heaviside(t+1/2*x-3/2)+1/2*x*Heaviside(t+1/2*x-1/2)-2*t*Heaviside(t+1/2*x-1)-1/2*Heaviside(t-1/2*x-1/2)-1/2*x*Heaviside(t-1/2*x-3/2)-3/2*H...

>   

Checking the Solution

sol1=sol2 ???

>    simplify(sol1-sol2);

0

>    u:=unapply(sol1,(x,t)):

>    simplify(rhs(eq)-lhs(eq));

>    simplify(rhs(ic)-lhs(ic));

>    simplify(rhs(ict)-lhs(ict));

0

0

0

Plots

>    plot3d(sol1,x=-10..10,t=0..5,orientation=[-60,20],axes=framed);

[Maple Plot]

>    with(plots):with(plottools):

Warning, the name changecoords has been redefined

Warning, the name arrow has been redefined

Animation, created by M.Kawski:

>    display([
   seq(
      display([
         textplot([1.4,1.4,cat(`t = `,convert(tt,string))],
             'align=RIGHT',font=[TIMES,ROMAN,18]),
         plot(subs(t=tt,sol1),x=-6..6,-1..2,
             thickness=3)
         ]),
      tt=[seq(evalf(k/20,3),k=0..100)])
   ],insequence=true,
   titlefont=[TIMES,BOLD,16],
   title=`Animation: d'Alembert's solution`);

[Maple Plot]

>   

Cauchy problem   for 1d wave equation (2)

Problem

>    restart;

>    eq:=diff(u(x,t),t,t)=a^2*diff(u(x,t),x,x);

>    ic:=u(x,0)=u0(x);ict:=D[2](u)(x,0)=u1(x);

eq := diff(u(x,t),`$`(t,2)) = a^2*diff(u(x,t),`$`(x,2))

ic := u(x,0) = u0(x)

ict := D[2](u)(x,0) = u1(x)

>    u0:=unapply(randpoly([x]),x);

u0 := proc (x) options operator, arrow; -85*x^5-55*x^4-37*x^3-35*x^2+97*x+50 end proc

>    u1:=unapply(randpoly([x]),x);

u1 := proc (x) options operator, arrow; 79*x^5+56*x^4+49*x^3+63*x^2+57*x-59 end proc

>    assume(a>0,t>0);

Solving(1 method)

We use  d'Alembert's  formula for solution:

u(x,t) = (u0(x-a*t)+u0(x+a*t))/2+int(u1(xi),xi = x-a*t .. x+a*t)/(2*a)

>    (u0(x-a*t)+u0(x+a*t))/2+int(u1(xi),xi = x-a*t .. x+a*t)/(2*a);

-85/2*(x-a*t)^5-55/2*(x-a*t)^4-37/2*(x-a*t)^3-35/2*(x-a*t)^2+97*x+50-85/2*(x+a*t)^5-55/2*(x+a*t)^4-37/2*(x+a*t)^3-35/2*(x+a*t)^2+1/2*(79/6*(x+a*t)^6-79/6*(x-a*t)^6+56/5*(x+a*t)^5-56/5*(x-a*t)^5+49/4*(x...
-85/2*(x-a*t)^5-55/2*(x-a*t)^4-37/2*(x-a*t)^3-35/2*(x-a*t)^2+97*x+50-85/2*(x+a*t)^5-55/2*(x+a*t)^4-37/2*(x+a*t)^3-35/2*(x+a*t)^2+1/2*(79/6*(x+a*t)^6-79/6*(x-a*t)^6+56/5*(x+a*t)^5-56/5*(x-a*t)^5+49/4*(x...
-85/2*(x-a*t)^5-55/2*(x-a*t)^4-37/2*(x-a*t)^3-35/2*(x-a*t)^2+97*x+50-85/2*(x+a*t)^5-55/2*(x+a*t)^4-37/2*(x+a*t)^3-35/2*(x+a*t)^2+1/2*(79/6*(x+a*t)^6-79/6*(x-a*t)^6+56/5*(x+a*t)^5-56/5*(x-a*t)^5+49/4*(x...
-85/2*(x-a*t)^5-55/2*(x-a*t)^4-37/2*(x-a*t)^3-35/2*(x-a*t)^2+97*x+50-85/2*(x+a*t)^5-55/2*(x+a*t)^4-37/2*(x+a*t)^3-35/2*(x+a*t)^2+1/2*(79/6*(x+a*t)^6-79/6*(x-a*t)^6+56/5*(x+a*t)^5-56/5*(x-a*t)^5+49/4*(x...

>    sol1:=simplify(%);

sol1 := 50+97*x-35*a^2*t^2-55*a^4*t^4-35*x^2-55*x^4+79*x*a^4*t^5+49*t*x^3+790/3*x^3*a^2*t^3+79*t*x^5+57*t*x+56*t*x^4+63*t*x^2+112*x^2*a^2*t^3+21*a^2*t^3+56/5*a^4*t^5+49*x*a^2*t^3-85*x^5-37*x^3-59*t-850...
sol1 := 50+97*x-35*a^2*t^2-55*a^4*t^4-35*x^2-55*x^4+79*x*a^4*t^5+49*t*x^3+790/3*x^3*a^2*t^3+79*t*x^5+57*t*x+56*t*x^4+63*t*x^2+112*x^2*a^2*t^3+21*a^2*t^3+56/5*a^4*t^5+49*x*a^2*t^3-85*x^5-37*x^3-59*t-850...
sol1 := 50+97*x-35*a^2*t^2-55*a^4*t^4-35*x^2-55*x^4+79*x*a^4*t^5+49*t*x^3+790/3*x^3*a^2*t^3+79*t*x^5+57*t*x+56*t*x^4+63*t*x^2+112*x^2*a^2*t^3+21*a^2*t^3+56/5*a^4*t^5+49*x*a^2*t^3-85*x^5-37*x^3-59*t-850...

>   

Solving(2 method)

>    L:=f->diff(f,x,x);

L := proc (f) options operator, arrow; diff(f,x,x) end proc

>    d:=max(degree(u0(x)),degree(u1(x)));

d := 5

>    Sum(a^(2*k)*t^(2*k)/(2*k)!*(L@@k)(u0(x))+
a^(2*k)*t^(2*k+1)/(2*k+1)!*(L@@k)(u1(x)),k=0..d);

Sum(a^(2*k)*t^(2*k)/(2*k)!*`@@`(L,k)(-85*x^5-55*x^4-37*x^3-35*x^2+97*x+50)+a^(2*k)*t^(2*k+1)/(2*k+1)!*`@@`(L,k)(79*x^5+56*x^4+49*x^3+63*x^2+57*x-59),k = 0 .. 5)
Sum(a^(2*k)*t^(2*k)/(2*k)!*`@@`(L,k)(-85*x^5-55*x^4-37*x^3-35*x^2+97*x+50)+a^(2*k)*t^(2*k+1)/(2*k+1)!*`@@`(L,k)(79*x^5+56*x^4+49*x^3+63*x^2+57*x-59),k = 0 .. 5)

>    sol2:=simplify(value(%));

sol2 := 50+97*x-35*a^2*t^2-55*a^4*t^4-35*x^2-55*x^4+79*x*a^4*t^5+49*t*x^3+790/3*x^3*a^2*t^3+79*t*x^5+57*t*x+56*t*x^4+63*t*x^2+112*x^2*a^2*t^3+21*a^2*t^3+56/5*a^4*t^5+49*x*a^2*t^3-85*x^5-37*x^3-59*t-850...
sol2 := 50+97*x-35*a^2*t^2-55*a^4*t^4-35*x^2-55*x^4+79*x*a^4*t^5+49*t*x^3+790/3*x^3*a^2*t^3+79*t*x^5+57*t*x+56*t*x^4+63*t*x^2+112*x^2*a^2*t^3+21*a^2*t^3+56/5*a^4*t^5+49*x*a^2*t^3-85*x^5-37*x^3-59*t-850...
sol2 := 50+97*x-35*a^2*t^2-55*a^4*t^4-35*x^2-55*x^4+79*x*a^4*t^5+49*t*x^3+790/3*x^3*a^2*t^3+79*t*x^5+57*t*x+56*t*x^4+63*t*x^2+112*x^2*a^2*t^3+21*a^2*t^3+56/5*a^4*t^5+49*x*a^2*t^3-85*x^5-37*x^3-59*t-850...

>    is(sol1=sol2);

true

>   

Solving(3 method)

>    with(inttrans):

>    fourier(eq,x,w);

diff(fourier(u(x,t),x,w),`$`(t,2)) = -a^2*w^2*fourier(u(x,t),x,w)

>    ode:=subs(fourier(u(x,t),x,w)=s(t),%);

ode := diff(s(t),`$`(t,2)) = -a^2*w^2*s(t)

>    dsolve({ode,s(0)=fourier(u0(x),x,w),
D(s)(0)=fourier(u1(x),x,w)},s(t));

s(t) = 2*Pi*(-63*Dirac(2,w)+79*I*Dirac(5,w)+56*Dirac(4,w)-49*I*Dirac(3,w)+57*I*Dirac(1,w)-59*Dirac(w))/a/w*sin(a*w*t)+(-170*I*Pi*Dirac(5,w)-110*Pi*Dirac(4,w)+74*I*Pi*Dirac(3,w)+70*Pi*Dirac(2,w)+194*I*P...
s(t) = 2*Pi*(-63*Dirac(2,w)+79*I*Dirac(5,w)+56*Dirac(4,w)-49*I*Dirac(3,w)+57*I*Dirac(1,w)-59*Dirac(w))/a/w*sin(a*w*t)+(-170*I*Pi*Dirac(5,w)-110*Pi*Dirac(4,w)+74*I*Pi*Dirac(3,w)+70*Pi*Dirac(2,w)+194*I*P...
s(t) = 2*Pi*(-63*Dirac(2,w)+79*I*Dirac(5,w)+56*Dirac(4,w)-49*I*Dirac(3,w)+57*I*Dirac(1,w)-59*Dirac(w))/a/w*sin(a*w*t)+(-170*I*Pi*Dirac(5,w)-110*Pi*Dirac(4,w)+74*I*Pi*Dirac(3,w)+70*Pi*Dirac(2,w)+194*I*P...
s(t) = 2*Pi*(-63*Dirac(2,w)+79*I*Dirac(5,w)+56*Dirac(4,w)-49*I*Dirac(3,w)+57*I*Dirac(1,w)-59*Dirac(w))/a/w*sin(a*w*t)+(-170*I*Pi*Dirac(5,w)-110*Pi*Dirac(4,w)+74*I*Pi*Dirac(3,w)+70*Pi*Dirac(2,w)+194*I*P...

>    sol3:=invfourier(rhs(%),w,x);

sol3 := 50+97*x-35*a^2*t^2-55*a^4*t^4-35*x^2-55*x^4+79*x*a^4*t^5+49*t*x^3+790/3*x^3*a^2*t^3+79*t*x^5+57*t*x+56*t*x^4+63*t*x^2+112*x^2*a^2*t^3+21*a^2*t^3+56/5*a^4*t^5+49*x*a^2*t^3-85*x^5-37*x^3-59*t-850...
sol3 := 50+97*x-35*a^2*t^2-55*a^4*t^4-35*x^2-55*x^4+79*x*a^4*t^5+49*t*x^3+790/3*x^3*a^2*t^3+79*t*x^5+57*t*x+56*t*x^4+63*t*x^2+112*x^2*a^2*t^3+21*a^2*t^3+56/5*a^4*t^5+49*x*a^2*t^3-85*x^5-37*x^3-59*t-850...
sol3 := 50+97*x-35*a^2*t^2-55*a^4*t^4-35*x^2-55*x^4+79*x*a^4*t^5+49*t*x^3+790/3*x^3*a^2*t^3+79*t*x^5+57*t*x+56*t*x^4+63*t*x^2+112*x^2*a^2*t^3+21*a^2*t^3+56/5*a^4*t^5+49*x*a^2*t^3-85*x^5-37*x^3-59*t-850...

>    is(sol1=sol3);

true

Checking the Solution

>    u:=unapply(sol1,(x,t)):

>    simplify(rhs(eq)-lhs(eq));

>    simplify(rhs(ic)-lhs(ic));

>    simplify(rhs(ict)-lhs(ict));

0

0

0

>   

Cauchy problem  for 2d wave equation

Problem( 2d wave equation)

>    restart;with(linalg,laplacian):with(student,Doubleint):

>    eq:=diff(u(x,y,t),t,t)=a^2*laplacian(u(x,y,t),[x,y]);

>    ic:=u(x,y,0)=u0(x,y);ict:=D[3](u)(x,y,0)=u1(x,y);

eq := diff(u(x,y,t),`$`(t,2)) = a^2*(diff(u(x,y,t),`$`(x,2))+diff(u(x,y,t),`$`(y,2)))

ic := u(x,y,0) = u0(x,y)

ict := D[3](u)(x,y,0) = u1(x,y)

>    u0:=unapply(randpoly([x,y]),x,y);

u0 := proc (x, y) options operator, arrow; 79*y+56*x*y+49*x^3+63*x^3*y^2+57*x^2*y^3-59*y^5 end proc

>    u1:=unapply(randpoly([x,y]),x,y);

u1 := proc (x, y) options operator, arrow; 54-5*y+99*x^3-61*x^2*y-50*x^3*y-12*x^5 end proc

>    assume(a>0,t>0);

Solving(1 method)

We use  Poisson formula for solution:

u(x,y,t) = Int(Int(u1(xi)/sqrt(a^2*t^2-r^2),xi[1] = B .. ``),xi[2] = `` .. ``)/(2*Pi*a)+Diff(Int(Int(u0(xi)/sqrt(a^2*t^2-r^2),xi[1] = B .. ``),xi[2] = `` .. ``),t)/(2*Pi*a)

where B={( xi[1], xi[2] ): (xi[1]-x)^2+(xi[2]-y)^2 <= (a*t)^2  }.

For computing integrals we use polar coordinates:

>    T:={xi=x+r*cos(phi),eta=y+r*sin(phi)};

T := {xi = x+r*cos(phi), eta = y+r*sin(phi)}

>    subs(T,1/(2*Pi*a)*
Doubleint(u1(xi,eta)/sqrt((a*t)^2-r^2)*r,
phi=0..2*Pi,r=0..a*t)+1/(2*Pi*a)*Diff(
Doubleint(u0(xi,eta)/sqrt((a*t)^2-r^2)*r,
phi=0..2*Pi,r=0..a*t),t));

1/2/Pi/a*Int(Int((54-5*y-5*r*sin(phi)+99*(x+r*cos(phi))^3-61*(x+r*cos(phi))^2*(y+r*sin(phi))-50*(x+r*cos(phi))^3*(y+r*sin(phi))-12*(x+r*cos(phi))^5)/(a^2*t^2-r^2)^(1/2)*r,phi = 0 .. 2*Pi),r = 0 .. a*t)...
1/2/Pi/a*Int(Int((54-5*y-5*r*sin(phi)+99*(x+r*cos(phi))^3-61*(x+r*cos(phi))^2*(y+r*sin(phi))-50*(x+r*cos(phi))^3*(y+r*sin(phi))-12*(x+r*cos(phi))^5)/(a^2*t^2-r^2)^(1/2)*r,phi = 0 .. 2*Pi),r = 0 .. a*t)...
1/2/Pi/a*Int(Int((54-5*y-5*r*sin(phi)+99*(x+r*cos(phi))^3-61*(x+r*cos(phi))^2*(y+r*sin(phi))-50*(x+r*cos(phi))^3*(y+r*sin(phi))-12*(x+r*cos(phi))^5)/(a^2*t^2-r^2)^(1/2)*r,phi = 0 .. 2*Pi),r = 0 .. a*t)...
1/2/Pi/a*Int(Int((54-5*y-5*r*sin(phi)+99*(x+r*cos(phi))^3-61*(x+r*cos(phi))^2*(y+r*sin(phi))-50*(x+r*cos(phi))^3*(y+r*sin(phi))-12*(x+r*cos(phi))^5)/(a^2*t^2-r^2)^(1/2)*r,phi = 0 .. 2*Pi),r = 0 .. a*t)...
1/2/Pi/a*Int(Int((54-5*y-5*r*sin(phi)+99*(x+r*cos(phi))^3-61*(x+r*cos(phi))^2*(y+r*sin(phi))-50*(x+r*cos(phi))^3*(y+r*sin(phi))-12*(x+r*cos(phi))^5)/(a^2*t^2-r^2)^(1/2)*r,phi = 0 .. 2*Pi),r = 0 .. a*t)...

>    sol1:=simplify(value(%));

sol1 := -12*x*a^4*t^5-50*a^2*t^3*x*y+99*a^2*t^3*x-40*a^2*t^3*x^3-61/3*a^2*t^3*y-12*t*x^5+54*t-5*t*y+99*t*x^3-50*t*x^3*y-61*t*x^2*y-238*a^4*t^4*y+63*x*a^4*t^4+63*a^2*t^2*x^3-533*a^2*t^2*y^3+189*a^2*t^2*...
sol1 := -12*x*a^4*t^5-50*a^2*t^3*x*y+99*a^2*t^3*x-40*a^2*t^3*x^3-61/3*a^2*t^3*y-12*t*x^5+54*t-5*t*y+99*t*x^3-50*t*x^3*y-61*t*x^2*y-238*a^4*t^4*y+63*x*a^4*t^4+63*a^2*t^2*x^3-533*a^2*t^2*y^3+189*a^2*t^2*...
sol1 := -12*x*a^4*t^5-50*a^2*t^3*x*y+99*a^2*t^3*x-40*a^2*t^3*x^3-61/3*a^2*t^3*y-12*t*x^5+54*t-5*t*y+99*t*x^3-50*t*x^3*y-61*t*x^2*y-238*a^4*t^4*y+63*x*a^4*t^4+63*a^2*t^2*x^3-533*a^2*t^2*y^3+189*a^2*t^2*...
sol1 := -12*x*a^4*t^5-50*a^2*t^3*x*y+99*a^2*t^3*x-40*a^2*t^3*x^3-61/3*a^2*t^3*y-12*t*x^5+54*t-5*t*y+99*t*x^3-50*t*x^3*y-61*t*x^2*y-238*a^4*t^4*y+63*x*a^4*t^4+63*a^2*t^2*x^3-533*a^2*t^2*y^3+189*a^2*t^2*...

Solving(2 method)

>    L:=f->laplacian(f,[x,y]);

L := proc (f) options operator, arrow; laplacian(f,[x, y]) end proc

>    d:=max(degree(u0(x,y)),degree(u1(x,y)));

d := 5

>    Sum(a^(2*k)*t^(2*k)/(2*k)!*(L@@k)(u0(x,y))+
a^(2*k)*t^(2*k+1)/(2*k+1)!*(L@@k)(u1(x,y)),k=0..d);

Sum(a^(2*k)*t^(2*k)/(2*k)!*`@@`(L,k)(79*y+56*x*y+49*x^3+63*x^3*y^2+57*x^2*y^3-59*y^5)+a^(2*k)*t^(2*k+1)/(2*k+1)!*`@@`(L,k)(54-5*y+99*x^3-61*x^2*y-50*x^3*y-12*x^5),k = 0 .. 5)
Sum(a^(2*k)*t^(2*k)/(2*k)!*`@@`(L,k)(79*y+56*x*y+49*x^3+63*x^3*y^2+57*x^2*y^3-59*y^5)+a^(2*k)*t^(2*k+1)/(2*k+1)!*`@@`(L,k)(54-5*y+99*x^3-61*x^2*y-50*x^3*y-12*x^5),k = 0 .. 5)

>    sol2:=simplify(value(%));

sol2 := -12*x*a^4*t^5+99*a^2*t^3*x-61/3*a^2*t^3*y-40*a^2*t^3*x^3-50*a^2*t^3*x*y-61*t*x^2*y-50*t*x^3*y+54*t+99*t*x^3-5*t*y-12*t*x^5+63*x*a^4*t^4-238*a^4*t^4*y+147*a^2*t^2*x+171*a^2*t^2*x^2*y+63*a^2*t^2*...
sol2 := -12*x*a^4*t^5+99*a^2*t^3*x-61/3*a^2*t^3*y-40*a^2*t^3*x^3-50*a^2*t^3*x*y-61*t*x^2*y-50*t*x^3*y+54*t+99*t*x^3-5*t*y-12*t*x^5+63*x*a^4*t^4-238*a^4*t^4*y+147*a^2*t^2*x+171*a^2*t^2*x^2*y+63*a^2*t^2*...
sol2 := -12*x*a^4*t^5+99*a^2*t^3*x-61/3*a^2*t^3*y-40*a^2*t^3*x^3-50*a^2*t^3*x*y-61*t*x^2*y-50*t*x^3*y+54*t+99*t*x^3-5*t*y-12*t*x^5+63*x*a^4*t^4-238*a^4*t^4*y+147*a^2*t^2*x+171*a^2*t^2*x^2*y+63*a^2*t^2*...
sol2 := -12*x*a^4*t^5+99*a^2*t^3*x-61/3*a^2*t^3*y-40*a^2*t^3*x^3-50*a^2*t^3*x*y-61*t*x^2*y-50*t*x^3*y+54*t+99*t*x^3-5*t*y-12*t*x^5+63*x*a^4*t^4-238*a^4*t^4*y+147*a^2*t^2*x+171*a^2*t^2*x^2*y+63*a^2*t^2*...

>    is(sol1=sol2);

true

>   

Solving(3 method)

>    with(inttrans);

[addtable, fourier, fouriercos, fouriersin, hankel, hilbert, invfourier, invhilbert, invlaplace, invmellin, laplace, mellin, savetable]
[addtable, fourier, fouriercos, fouriersin, hankel, hilbert, invfourier, invhilbert, invlaplace, invmellin, laplace, mellin, savetable]

>    fourier(eq,x,w1);

diff(fourier(u(x,y,t),x,w1),`$`(t,2)) = a^2*(-w1^2*fourier(u(x,y,t),x,w1)+diff(fourier(u(x,y,t),x,w1),`$`(y,2)))

>    fourier(%,y,w2);

diff(fourier(fourier(u(x,y,t),x,w1),y,w2),`$`(t,2)) = a^2*(-w1^2*fourier(fourier(u(x,y,t),x,w1),y,w2)-w2^2*fourier(fourier(u(x,y,t),x,w1),y,w2))
diff(fourier(fourier(u(x,y,t),x,w1),y,w2),`$`(t,2)) = a^2*(-w1^2*fourier(fourier(u(x,y,t),x,w1),y,w2)-w2^2*fourier(fourier(u(x,y,t),x,w1),y,w2))

>    subs(fourier(fourier(u(x,y,t),x,w1),y,w2)=s(t),%);

diff(s(t),`$`(t,2)) = a^2*(-w1^2*s(t)-w2^2*s(t))

>    dsolve({%,s(0)=fourier(fourier(u0(x,y),x,w1),y,w2),
D(s)(0)=fourier(fourier(u1(x,y),x,w1),y,w2)},s(t));

s(t) = -4*Pi^2*(-54*Dirac(w1)*Dirac(w2)+5*I*Dirac(w1)*Dirac(1,w2)+99*I*Dirac(3,w1)*Dirac(w2)-61*I*Dirac(2,w1)*Dirac(1,w2)+50*Dirac(3,w1)*Dirac(1,w2)+12*I*Dirac(5,w1)*Dirac(w2))/a/(w1^2+w2^2)^(1/2)*sin(...
s(t) = -4*Pi^2*(-54*Dirac(w1)*Dirac(w2)+5*I*Dirac(w1)*Dirac(1,w2)+99*I*Dirac(3,w1)*Dirac(w2)-61*I*Dirac(2,w1)*Dirac(1,w2)+50*Dirac(3,w1)*Dirac(1,w2)+12*I*Dirac(5,w1)*Dirac(w2))/a/(w1^2+w2^2)^(1/2)*sin(...
s(t) = -4*Pi^2*(-54*Dirac(w1)*Dirac(w2)+5*I*Dirac(w1)*Dirac(1,w2)+99*I*Dirac(3,w1)*Dirac(w2)-61*I*Dirac(2,w1)*Dirac(1,w2)+50*Dirac(3,w1)*Dirac(1,w2)+12*I*Dirac(5,w1)*Dirac(w2))/a/(w1^2+w2^2)^(1/2)*sin(...
s(t) = -4*Pi^2*(-54*Dirac(w1)*Dirac(w2)+5*I*Dirac(w1)*Dirac(1,w2)+99*I*Dirac(3,w1)*Dirac(w2)-61*I*Dirac(2,w1)*Dirac(1,w2)+50*Dirac(3,w1)*Dirac(1,w2)+12*I*Dirac(5,w1)*Dirac(w2))/a/(w1^2+w2^2)^(1/2)*sin(...
s(t) = -4*Pi^2*(-54*Dirac(w1)*Dirac(w2)+5*I*Dirac(w1)*Dirac(1,w2)+99*I*Dirac(3,w1)*Dirac(w2)-61*I*Dirac(2,w1)*Dirac(1,w2)+50*Dirac(3,w1)*Dirac(1,w2)+12*I*Dirac(5,w1)*Dirac(w2))/a/(w1^2+w2^2)^(1/2)*sin(...

>    invfourier(rhs(%),w2,y);

-2*Pi*(-54*sin(a*sqrt(w1^2)*t)*w1^4*Dirac(w1)+5*sin(a*sqrt(w1^2)*t)*w1^4*Dirac(w1)*y+99*I*sin(a*sqrt(w1^2)*t)*w1^4*Dirac(3,w1)-61*sin(a*sqrt(w1^2)*t)*w1^4*Dirac(2,w1)*y-50*I*sin(a*sqrt(w1^2)*t)*w1^4*Di...
-2*Pi*(-54*sin(a*sqrt(w1^2)*t)*w1^4*Dirac(w1)+5*sin(a*sqrt(w1^2)*t)*w1^4*Dirac(w1)*y+99*I*sin(a*sqrt(w1^2)*t)*w1^4*Dirac(3,w1)-61*sin(a*sqrt(w1^2)*t)*w1^4*Dirac(2,w1)*y-50*I*sin(a*sqrt(w1^2)*t)*w1^4*Di...
-2*Pi*(-54*sin(a*sqrt(w1^2)*t)*w1^4*Dirac(w1)+5*sin(a*sqrt(w1^2)*t)*w1^4*Dirac(w1)*y+99*I*sin(a*sqrt(w1^2)*t)*w1^4*Dirac(3,w1)-61*sin(a*sqrt(w1^2)*t)*w1^4*Dirac(2,w1)*y-50*I*sin(a*sqrt(w1^2)*t)*w1^4*Di...
-2*Pi*(-54*sin(a*sqrt(w1^2)*t)*w1^4*Dirac(w1)+5*sin(a*sqrt(w1^2)*t)*w1^4*Dirac(w1)*y+99*I*sin(a*sqrt(w1^2)*t)*w1^4*Dirac(3,w1)-61*sin(a*sqrt(w1^2)*t)*w1^4*Dirac(2,w1)*y-50*I*sin(a*sqrt(w1^2)*t)*w1^4*Di...
-2*Pi*(-54*sin(a*sqrt(w1^2)*t)*w1^4*Dirac(w1)+5*sin(a*sqrt(w1^2)*t)*w1^4*Dirac(w1)*y+99*I*sin(a*sqrt(w1^2)*t)*w1^4*Dirac(3,w1)-61*sin(a*sqrt(w1^2)*t)*w1^4*Dirac(2,w1)*y-50*I*sin(a*sqrt(w1^2)*t)*w1^4*Di...
-2*Pi*(-54*sin(a*sqrt(w1^2)*t)*w1^4*Dirac(w1)+5*sin(a*sqrt(w1^2)*t)*w1^4*Dirac(w1)*y+99*I*sin(a*sqrt(w1^2)*t)*w1^4*Dirac(3,w1)-61*sin(a*sqrt(w1^2)*t)*w1^4*Dirac(2,w1)*y-50*I*sin(a*sqrt(w1^2)*t)*w1^4*Di...
-2*Pi*(-54*sin(a*sqrt(w1^2)*t)*w1^4*Dirac(w1)+5*sin(a*sqrt(w1^2)*t)*w1^4*Dirac(w1)*y+99*I*sin(a*sqrt(w1^2)*t)*w1^4*Dirac(3,w1)-61*sin(a*sqrt(w1^2)*t)*w1^4*Dirac(2,w1)*y-50*I*sin(a*sqrt(w1^2)*t)*w1^4*Di...
-2*Pi*(-54*sin(a*sqrt(w1^2)*t)*w1^4*Dirac(w1)+5*sin(a*sqrt(w1^2)*t)*w1^4*Dirac(w1)*y+99*I*sin(a*sqrt(w1^2)*t)*w1^4*Dirac(3,w1)-61*sin(a*sqrt(w1^2)*t)*w1^4*Dirac(2,w1)*y-50*I*sin(a*sqrt(w1^2)*t)*w1^4*Di...
-2*Pi*(-54*sin(a*sqrt(w1^2)*t)*w1^4*Dirac(w1)+5*sin(a*sqrt(w1^2)*t)*w1^4*Dirac(w1)*y+99*I*sin(a*sqrt(w1^2)*t)*w1^4*Dirac(3,w1)-61*sin(a*sqrt(w1^2)*t)*w1^4*Dirac(2,w1)*y-50*I*sin(a*sqrt(w1^2)*t)*w1^4*Di...
-2*Pi*(-54*sin(a*sqrt(w1^2)*t)*w1^4*Dirac(w1)+5*sin(a*sqrt(w1^2)*t)*w1^4*Dirac(w1)*y+99*I*sin(a*sqrt(w1^2)*t)*w1^4*Dirac(3,w1)-61*sin(a*sqrt(w1^2)*t)*w1^4*Dirac(2,w1)*y-50*I*sin(a*sqrt(w1^2)*t)*w1^4*Di...
-2*Pi*(-54*sin(a*sqrt(w1^2)*t)*w1^4*Dirac(w1)+5*sin(a*sqrt(w1^2)*t)*w1^4*Dirac(w1)*y+99*I*sin(a*sqrt(w1^2)*t)*w1^4*Dirac(3,w1)-61*sin(a*sqrt(w1^2)*t)*w1^4*Dirac(2,w1)*y-50*I*sin(a*sqrt(w1^2)*t)*w1^4*Di...

>    sol3:=invfourier(%,w1,x);

sol3 := -12*x*a^4*t^5+99*a^2*t^3*x-61/3*a^2*t^3*y-40*a^2*t^3*x^3-50*a^2*t^3*x*y-61*t*x^2*y-50*t*x^3*y+54*t+99*t*x^3-5*t*y-12*t*x^5+63*x*a^4*t^4-238*a^4*t^4*y+147*a^2*t^2*x+171*a^2*t^2*x^2*y+63*a^2*t^2*...
sol3 := -12*x*a^4*t^5+99*a^2*t^3*x-61/3*a^2*t^3*y-40*a^2*t^3*x^3-50*a^2*t^3*x*y-61*t*x^2*y-50*t*x^3*y+54*t+99*t*x^3-5*t*y-12*t*x^5+63*x*a^4*t^4-238*a^4*t^4*y+147*a^2*t^2*x+171*a^2*t^2*x^2*y+63*a^2*t^2*...
sol3 := -12*x*a^4*t^5+99*a^2*t^3*x-61/3*a^2*t^3*y-40*a^2*t^3*x^3-50*a^2*t^3*x*y-61*t*x^2*y-50*t*x^3*y+54*t+99*t*x^3-5*t*y-12*t*x^5+63*x*a^4*t^4-238*a^4*t^4*y+147*a^2*t^2*x+171*a^2*t^2*x^2*y+63*a^2*t^2*...
sol3 := -12*x*a^4*t^5+99*a^2*t^3*x-61/3*a^2*t^3*y-40*a^2*t^3*x^3-50*a^2*t^3*x*y-61*t*x^2*y-50*t*x^3*y+54*t+99*t*x^3-5*t*y-12*t*x^5+63*x*a^4*t^4-238*a^4*t^4*y+147*a^2*t^2*x+171*a^2*t^2*x^2*y+63*a^2*t^2*...

>    is(sol1=sol3);

true

Checking the Solution

>    u:=unapply(sol1,(x,y,t)):

>    simplify(rhs(eq)-lhs(eq));

>    simplify(rhs(ic)-lhs(ic));

>    simplify(rhs(ict)-lhs(ict));

0

0

0

>   

Cauchy problem  for 3d wave equation

Problem

>    restart;with(linalg):with(student):

Warning, the protected names norm and trace have been redefined and unprotected

>    eq:=diff(u(x,y,z,t),t,t)=a^2*laplacian(u(x,y,z,t),[x,y,z]);

>    ic:=u(x,y,z,0)=u0(x,y,z);ict:=D[4](u)(x,y,z,0)=u1(x,y,z);

eq := diff(u(x,y,z,t),`$`(t,2)) = a^2*(diff(u(x,y,z,t),`$`(x,2))+diff(u(x,y,z,t),`$`(y,2))+diff(u(x,y,z,t),`$`(z,2)))

ic := u(x,y,z,0) = u0(x,y,z)

ict := D[4](u)(x,y,z,0) = u1(x,y,z)

>    u0:=unapply(randpoly([x,y,z]),x,y,z);

u0 := proc (x, y, z) options operator, arrow; 79*y+56*x^2*z^2+49*x*y^2*z+63*y^2*z^2+57*x^3*y^2-59*x^2*y^3 end proc

>    u1:=unapply(randpoly([x,y,z]),x,y,z);

u1 := proc (x, y, z) options operator, arrow; 77*y*z^2+66*x^3*y+54*x*y*z^2-5*x*z^3+99*y^2*z^2-61*x*z^4 end proc

>    assume(a>0,t>0);

Solving(1 method)

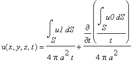
We use  Kirchhoff  formula for solution:

u(x,y,z,t) = Int(u1,S = S .. ``)/(4*Pi*a^2*t)+Diff(Int(u0,S = S .. ``)/t,t)/(4*Pi*a^2)

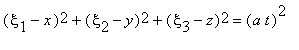
where  S={( xi[1], xi[2], xi[3] ): (xi[1]-x)^2+(xi[2]-y)^2+(xi[3]-z)^2 = (a*t)^2  }.

>    sol:=Int(u1,S)/(4*Pi*a^2*t)+Diff(Int(u0,S)/t,t)/(4*Pi*a^2);

sol := 1/4*Int(u1,S)/Pi/a^2/t+1/4*Diff(Int(u0,S)/t,t)/Pi/a^2

For computing integrals we use spherical coordinates:

>    T:={xi[1]=x+r*cos(phi)*sin(theta),xi[2]=y+r*sin(phi)*sin(theta),
xi[3]=z+r*cos(theta)};

T := {xi[3] = z+r*cos(theta), xi[2] = y+r*sin(phi)*sin(theta), xi[1] = x+r*cos(phi)*sin(theta)}

>    linalg[jacobian]([x+r*cos(phi)*sin(theta),y+r*sin(phi)*sin(theta),
z+r*cos(theta)],[phi,r,theta]);

matrix([[-r*sin(phi)*sin(theta), cos(phi)*sin(theta), r*cos(phi)*cos(theta)], [r*cos(phi)*sin(theta), sin(phi)*sin(theta), r*sin(phi)*cos(theta)], [0, cos(theta), -r*sin(theta)]])

>    J:=simplify(det(%));

J := r^2*sin(theta)

>    subs(Int(u1,S)=Doubleint(subs(T,u1(xi[1],xi[2],xi[3]))*J,
theta=0..Pi,phi=0..2*Pi),
Int(u0,S)=Doubleint(subs(T,u0(xi[1],xi[2],xi[3]))*J,
theta=0..Pi,phi=0..2*Pi), r=a*t,sol);

1/4*Int(Int((77*(y+a*t*sin(phi)*sin(theta))*(z+a*t*cos(theta))^2+66*(x+a*t*cos(phi)*sin(theta))^3*(y+a*t*sin(phi)*sin(theta))+54*(x+a*t*cos(phi)*sin(theta))*(y+a*t*sin(phi)*sin(theta))*(z+a*t*cos(theta...
1/4*Int(Int((77*(y+a*t*sin(phi)*sin(theta))*(z+a*t*cos(theta))^2+66*(x+a*t*cos(phi)*sin(theta))^3*(y+a*t*sin(phi)*sin(theta))+54*(x+a*t*cos(phi)*sin(theta))*(y+a*t*sin(phi)*sin(theta))*(z+a*t*cos(theta...
1/4*Int(Int((77*(y+a*t*sin(phi)*sin(theta))*(z+a*t*cos(theta))^2+66*(x+a*t*cos(phi)*sin(theta))^3*(y+a*t*sin(phi)*sin(theta))+54*(x+a*t*cos(phi)*sin(theta))*(y+a*t*sin(phi)*sin(theta))*(z+a*t*cos(theta...
1/4*Int(Int((77*(y+a*t*sin(phi)*sin(theta))*(z+a*t*cos(theta))^2+66*(x+a*t*cos(phi)*sin(theta))^3*(y+a*t*sin(phi)*sin(theta))+54*(x+a*t*cos(phi)*sin(theta))*(y+a*t*sin(phi)*sin(theta))*(z+a*t*cos(theta...
1/4*Int(Int((77*(y+a*t*sin(phi)*sin(theta))*(z+a*t*cos(theta))^2+66*(x+a*t*cos(phi)*sin(theta))^3*(y+a*t*sin(phi)*sin(theta))+54*(x+a*t*cos(phi)*sin(theta))*(y+a*t*sin(phi)*sin(theta))*(z+a*t*cos(theta...
1/4*Int(Int((77*(y+a*t*sin(phi)*sin(theta))*(z+a*t*cos(theta))^2+66*(x+a*t*cos(phi)*sin(theta))^3*(y+a*t*sin(phi)*sin(theta))+54*(x+a*t*cos(phi)*sin(theta))*(y+a*t*sin(phi)*sin(theta))*(z+a*t*cos(theta...
1/4*Int(Int((77*(y+a*t*sin(phi)*sin(theta))*(z+a*t*cos(theta))^2+66*(x+a*t*cos(phi)*sin(theta))^3*(y+a*t*sin(phi)*sin(theta))+54*(x+a*t*cos(phi)*sin(theta))*(y+a*t*sin(phi)*sin(theta))*(z+a*t*cos(theta...
1/4*Int(Int((77*(y+a*t*sin(phi)*sin(theta))*(z+a*t*cos(theta))^2+66*(x+a*t*cos(phi)*sin(theta))^3*(y+a*t*sin(phi)*sin(theta))+54*(x+a*t*cos(phi)*sin(theta))*(y+a*t*sin(phi)*sin(theta))*(z+a*t*cos(theta...
1/4*Int(Int((77*(y+a*t*sin(phi)*sin(theta))*(z+a*t*cos(theta))^2+66*(x+a*t*cos(phi)*sin(theta))^3*(y+a*t*sin(phi)*sin(theta))+54*(x+a*t*cos(phi)*sin(theta))*(y+a*t*sin(phi)*sin(theta))*(z+a*t*cos(theta...

>    sol1:=simplify(value(%));

sol1 := 119/3*a^4*t^4-59*x^2*y^3+99*t*y^2*z^2+77*t*y*z^2+66*t*x^3*y-61*t*x*z^4-5*t*x*z^3+33*y^2*a^2*t^3+33*a^2*t^3*z^2+57*x*a^4*t^4+63*y^2*z^2+63*y^2*a^2*t^2+49*x*z*a^2*t^2+33/5*a^4*t^5-177*a^2*t^2*x^2...
sol1 := 119/3*a^4*t^4-59*x^2*y^3+99*t*y^2*z^2+77*t*y*z^2+66*t*x^3*y-61*t*x*z^4-5*t*x*z^3+33*y^2*a^2*t^3+33*a^2*t^3*z^2+57*x*a^4*t^4+63*y^2*z^2+63*y^2*a^2*t^2+49*x*z*a^2*t^2+33/5*a^4*t^5-177*a^2*t^2*x^2...
sol1 := 119/3*a^4*t^4-59*x^2*y^3+99*t*y^2*z^2+77*t*y*z^2+66*t*x^3*y-61*t*x*z^4-5*t*x*z^3+33*y^2*a^2*t^3+33*a^2*t^3*z^2+57*x*a^4*t^4+63*y^2*z^2+63*y^2*a^2*t^2+49*x*z*a^2*t^2+33/5*a^4*t^5-177*a^2*t^2*x^2...
sol1 := 119/3*a^4*t^4-59*x^2*y^3+99*t*y^2*z^2+77*t*y*z^2+66*t*x^3*y-61*t*x*z^4-5*t*x*z^3+33*y^2*a^2*t^3+33*a^2*t^3*z^2+57*x*a^4*t^4+63*y^2*z^2+63*y^2*a^2*t^2+49*x*z*a^2*t^2+33/5*a^4*t^5-177*a^2*t^2*x^2...
sol1 := 119/3*a^4*t^4-59*x^2*y^3+99*t*y^2*z^2+77*t*y*z^2+66*t*x^3*y-61*t*x*z^4-5*t*x*z^3+33*y^2*a^2*t^3+33*a^2*t^3*z^2+57*x*a^4*t^4+63*y^2*z^2+63*y^2*a^2*t^2+49*x*z*a^2*t^2+33/5*a^4*t^5-177*a^2*t^2*x^2...

Solving(2 method)

>    L:=f->laplacian(f,[x,y,z]);

L := proc (f) options operator, arrow; laplacian(f,[x, y, z]) end proc

>    d:=max(degree(u0(x,y,z)),degree(u1(x,y,z)));

d := 5

>    Sum(a^(2*k)*t^(2*k)/(2*k)!*(L@@k)(u0(x,y,z))+
a^(2*k)*t^(2*k+1)/(2*k+1)!*(L@@k)(u1(x,y,z)),k=0..d);

Sum(a^(2*k)*t^(2*k)/(2*k)!*`@@`(L,k)(79*y+56*x^2*z^2+49*x*y^2*z+63*y^2*z^2+57*x^3*y^2-59*x^2*y^3)+a^(2*k)*t^(2*k+1)/(2*k+1)!*`@@`(L,k)(77*y*z^2+66*x^3*y+54*x*y*z^2-5*x*z^3+99*y^2*z^2-61*x*z^4),k = 0 .....
Sum(a^(2*k)*t^(2*k)/(2*k)!*`@@`(L,k)(79*y+56*x^2*z^2+49*x*y^2*z+63*y^2*z^2+57*x^3*y^2-59*x^2*y^3)+a^(2*k)*t^(2*k+1)/(2*k+1)!*`@@`(L,k)(77*y*z^2+66*x^3*y+54*x*y*z^2-5*x*z^3+99*y^2*z^2-61*x*z^4),k = 0 .....

>    sol2:=simplify(value(%));

sol2 := 119/3*a^4*t^4-59*x^2*y^3+99*t*y^2*z^2+77*t*y*z^2+66*t*x^3*y-61*t*x*z^4-5*t*x*z^3+33*y^2*a^2*t^3+33*a^2*t^3*z^2+57*x*a^4*t^4+63*y^2*z^2+63*y^2*a^2*t^2+49*x*z*a^2*t^2+33/5*a^4*t^5-177*a^2*t^2*x^2...
sol2 := 119/3*a^4*t^4-59*x^2*y^3+99*t*y^2*z^2+77*t*y*z^2+66*t*x^3*y-61*t*x*z^4-5*t*x*z^3+33*y^2*a^2*t^3+33*a^2*t^3*z^2+57*x*a^4*t^4+63*y^2*z^2+63*y^2*a^2*t^2+49*x*z*a^2*t^2+33/5*a^4*t^5-177*a^2*t^2*x^2...
sol2 := 119/3*a^4*t^4-59*x^2*y^3+99*t*y^2*z^2+77*t*y*z^2+66*t*x^3*y-61*t*x*z^4-5*t*x*z^3+33*y^2*a^2*t^3+33*a^2*t^3*z^2+57*x*a^4*t^4+63*y^2*z^2+63*y^2*a^2*t^2+49*x*z*a^2*t^2+33/5*a^4*t^5-177*a^2*t^2*x^2...
sol2 := 119/3*a^4*t^4-59*x^2*y^3+99*t*y^2*z^2+77*t*y*z^2+66*t*x^3*y-61*t*x*z^4-5*t*x*z^3+33*y^2*a^2*t^3+33*a^2*t^3*z^2+57*x*a^4*t^4+63*y^2*z^2+63*y^2*a^2*t^2+49*x*z*a^2*t^2+33/5*a^4*t^5-177*a^2*t^2*x^2...
sol2 := 119/3*a^4*t^4-59*x^2*y^3+99*t*y^2*z^2+77*t*y*z^2+66*t*x^3*y-61*t*x*z^4-5*t*x*z^3+33*y^2*a^2*t^3+33*a^2*t^3*z^2+57*x*a^4*t^4+63*y^2*z^2+63*y^2*a^2*t^2+49*x*z*a^2*t^2+33/5*a^4*t^5-177*a^2*t^2*x^2...

>    is(sol1=sol2);

true

>   

Solving(3 method)

>    with(inttrans):

Warning, the name hilbert has been redefined

>    fourier(eq,x,w1);

diff(fourier(u(x,y,z,t),x,w1),`$`(t,2)) = a^2*(-w1^2*fourier(u(x,y,z,t),x,w1)+diff(fourier(u(x,y,z,t),x,w1),`$`(y,2))+diff(fourier(u(x,y,z,t),x,w1),`$`(z,2)))
diff(fourier(u(x,y,z,t),x,w1),`$`(t,2)) = a^2*(-w1^2*fourier(u(x,y,z,t),x,w1)+diff(fourier(u(x,y,z,t),x,w1),`$`(y,2))+diff(fourier(u(x,y,z,t),x,w1),`$`(z,2)))

>    fourier(%,y,w2);

diff(fourier(fourier(u(x,y,z,t),x,w1),y,w2),`$`(t,2)) = a^2*(-w1^2*fourier(fourier(u(x,y,z,t),x,w1),y,w2)-w2^2*fourier(fourier(u(x,y,z,t),x,w1),y,w2)+diff(fourier(fourier(u(x,y,z,t),x,w1),y,w2),`$`(z,2...
diff(fourier(fourier(u(x,y,z,t),x,w1),y,w2),`$`(t,2)) = a^2*(-w1^2*fourier(fourier(u(x,y,z,t),x,w1),y,w2)-w2^2*fourier(fourier(u(x,y,z,t),x,w1),y,w2)+diff(fourier(fourier(u(x,y,z,t),x,w1),y,w2),`$`(z,2...

>    fourier(%,z,w3);

diff(fourier(fourier(fourier(u(x,y,z,t),x,w1),y,w2),z,w3),`$`(t,2)) = a^2*(-w1^2*fourier(fourier(fourier(u(x,y,z,t),x,w1),y,w2),z,w3)-w2^2*fourier(fourier(fourier(u(x,y,z,t),x,w1),y,w2),z,w3)-w3^2*four...
diff(fourier(fourier(fourier(u(x,y,z,t),x,w1),y,w2),z,w3),`$`(t,2)) = a^2*(-w1^2*fourier(fourier(fourier(u(x,y,z,t),x,w1),y,w2),z,w3)-w2^2*fourier(fourier(fourier(u(x,y,z,t),x,w1),y,w2),z,w3)-w3^2*four...
diff(fourier(fourier(fourier(u(x,y,z,t),x,w1),y,w2),z,w3),`$`(t,2)) = a^2*(-w1^2*fourier(fourier(fourier(u(x,y,z,t),x,w1),y,w2),z,w3)-w2^2*fourier(fourier(fourier(u(x,y,z,t),x,w1),y,w2),z,w3)-w3^2*four...
diff(fourier(fourier(fourier(u(x,y,z,t),x,w1),y,w2),z,w3),`$`(t,2)) = a^2*(-w1^2*fourier(fourier(fourier(u(x,y,z,t),x,w1),y,w2),z,w3)-w2^2*fourier(fourier(fourier(u(x,y,z,t),x,w1),y,w2),z,w3)-w3^2*four...

>    ode:=subs(fourier(fourier(fourier(u(x,y,z,t),x,w1),y,w2),z,w3)=s(t),%);

ode := diff(s(t),`$`(t,2)) = a^2*(-w1^2*s(t)-w2^2*s(t)-w3^2*s(t))

>    dsolve({ode,s(0)=fourier(fourier(fourier(u0(x,y,z),x,w1),y,w2),z,w3),
D(s)(0)=fourier(fourier(fourier(u1(x,y,z),x,w1),y,w2),z,w3)},s(t));

s(t) = 8*Pi^3*(-77*I*Dirac(w1)*Dirac(1,w2)*Dirac(2,w3)+66*Dirac(3,w1)*Dirac(1,w2)*Dirac(w3)+54*Dirac(1,w1)*Dirac(1,w2)*Dirac(2,w3)-5*Dirac(1,w1)*Dirac(w2)*Dirac(3,w3)+99*Dirac(w1)*Dirac(2,w2)*Dirac(2,w...
s(t) = 8*Pi^3*(-77*I*Dirac(w1)*Dirac(1,w2)*Dirac(2,w3)+66*Dirac(3,w1)*Dirac(1,w2)*Dirac(w3)+54*Dirac(1,w1)*Dirac(1,w2)*Dirac(2,w3)-5*Dirac(1,w1)*Dirac(w2)*Dirac(3,w3)+99*Dirac(w1)*Dirac(2,w2)*Dirac(2,w...
s(t) = 8*Pi^3*(-77*I*Dirac(w1)*Dirac(1,w2)*Dirac(2,w3)+66*Dirac(3,w1)*Dirac(1,w2)*Dirac(w3)+54*Dirac(1,w1)*Dirac(1,w2)*Dirac(2,w3)-5*Dirac(1,w1)*Dirac(w2)*Dirac(3,w3)+99*Dirac(w1)*Dirac(2,w2)*Dirac(2,w...
s(t) = 8*Pi^3*(-77*I*Dirac(w1)*Dirac(1,w2)*Dirac(2,w3)+66*Dirac(3,w1)*Dirac(1,w2)*Dirac(w3)+54*Dirac(1,w1)*Dirac(1,w2)*Dirac(2,w3)-5*Dirac(1,w1)*Dirac(w2)*Dirac(3,w3)+99*Dirac(w1)*Dirac(2,w2)*Dirac(2,w...
s(t) = 8*Pi^3*(-77*I*Dirac(w1)*Dirac(1,w2)*Dirac(2,w3)+66*Dirac(3,w1)*Dirac(1,w2)*Dirac(w3)+54*Dirac(1,w1)*Dirac(1,w2)*Dirac(2,w3)-5*Dirac(1,w1)*Dirac(w2)*Dirac(3,w3)+99*Dirac(w1)*Dirac(2,w2)*Dirac(2,w...
s(t) = 8*Pi^3*(-77*I*Dirac(w1)*Dirac(1,w2)*Dirac(2,w3)+66*Dirac(3,w1)*Dirac(1,w2)*Dirac(w3)+54*Dirac(1,w1)*Dirac(1,w2)*Dirac(2,w3)-5*Dirac(1,w1)*Dirac(w2)*Dirac(3,w3)+99*Dirac(w1)*Dirac(2,w2)*Dirac(2,w...
s(t) = 8*Pi^3*(-77*I*Dirac(w1)*Dirac(1,w2)*Dirac(2,w3)+66*Dirac(3,w1)*Dirac(1,w2)*Dirac(w3)+54*Dirac(1,w1)*Dirac(1,w2)*Dirac(2,w3)-5*Dirac(1,w1)*Dirac(w2)*Dirac(3,w3)+99*Dirac(w1)*Dirac(2,w2)*Dirac(2,w...

>    invfourier(rhs(%),w3,z):

>    invfourier(%,w2,y):

>    sol3:=invfourier(%,w1,x);

sol3 := 119/3*a^4*t^4-59*x^2*y^3+99*t*y^2*z^2+77*t*y*z^2+66*t*x^3*y-61*t*x*z^4-5*t*x*z^3+33*y^2*a^2*t^3+33*a^2*t^3*z^2+57*x*a^4*t^4+63*y^2*z^2+63*y^2*a^2*t^2+49*x*z*a^2*t^2+33/5*a^4*t^5-177*a^2*t^2*x^2...
sol3 := 119/3*a^4*t^4-59*x^2*y^3+99*t*y^2*z^2+77*t*y*z^2+66*t*x^3*y-61*t*x*z^4-5*t*x*z^3+33*y^2*a^2*t^3+33*a^2*t^3*z^2+57*x*a^4*t^4+63*y^2*z^2+63*y^2*a^2*t^2+49*x*z*a^2*t^2+33/5*a^4*t^5-177*a^2*t^2*x^2...
sol3 := 119/3*a^4*t^4-59*x^2*y^3+99*t*y^2*z^2+77*t*y*z^2+66*t*x^3*y-61*t*x*z^4-5*t*x*z^3+33*y^2*a^2*t^3+33*a^2*t^3*z^2+57*x*a^4*t^4+63*y^2*z^2+63*y^2*a^2*t^2+49*x*z*a^2*t^2+33/5*a^4*t^5-177*a^2*t^2*x^2...
sol3 := 119/3*a^4*t^4-59*x^2*y^3+99*t*y^2*z^2+77*t*y*z^2+66*t*x^3*y-61*t*x*z^4-5*t*x*z^3+33*y^2*a^2*t^3+33*a^2*t^3*z^2+57*x*a^4*t^4+63*y^2*z^2+63*y^2*a^2*t^2+49*x*z*a^2*t^2+33/5*a^4*t^5-177*a^2*t^2*x^2...
sol3 := 119/3*a^4*t^4-59*x^2*y^3+99*t*y^2*z^2+77*t*y*z^2+66*t*x^3*y-61*t*x*z^4-5*t*x*z^3+33*y^2*a^2*t^3+33*a^2*t^3*z^2+57*x*a^4*t^4+63*y^2*z^2+63*y^2*a^2*t^2+49*x*z*a^2*t^2+33/5*a^4*t^5-177*a^2*t^2*x^2...

>    is(sol1=sol3);

true

>   

Checking the Solution

>    u:=unapply(sol1,(x,y,z,t)):

>    simplify(rhs(eq)-lhs(eq));

>    simplify(rhs(ic)-lhs(ic));

>    simplify(rhs(ict)-lhs(ict));

0

0

0

>   

Non-homogenous wave equation

Problem  

>    restart;with(linalg,laplacian):

>    eq:=diff(u(x,y,z,t),t,t)-a^2*laplacian(u(x,y,z,t),[x,y,z])=F(x,y,z,t);#-infty<x,y,z<infty,t>0

>    ic:=u(x,y,z,0)=0;#-infty<x,y,z<infty

>    ict:=D[4](u)(x,y,z,0)=0;#-infty<x,y,z<infty

The function F(x,y,z,t)  may be polynomial  respect to x,y,z . 

eq := diff(u(x,y,z,t),`$`(t,2))-a^2*(diff(u(x,y,z,t),`$`(x,2))+diff(u(x,y,z,t),`$`(y,2))+diff(u(x,y,z,t),`$`(z,2))) = F(x,y,z,t)

ic := u(x,y,z,0) = 0

ict := D[4](u)(x,y,z,0) = 0

>    randpoly([x,y,z,t,t*sin(t),cos(t),exp(t)]):

>    F:=unapply(%,[x,y,z,t]);

F := proc (x, y, z, t) options operator, arrow; 79*x*t*sin(t)*cos(t)+56*x^3*z+49*x^2*z*cos(t)+63*z^2*cos(t)*exp(t)+57*x*y^2*z*t*sin(t)-59*x*y*z*t^2*sin(t) end proc
F := proc (x, y, z, t) options operator, arrow; 79*x*t*sin(t)*cos(t)+56*x^3*z+49*x^2*z*cos(t)+63*z^2*cos(t)*exp(t)+57*x*y^2*z*t*sin(t)-59*x*y*z*t^2*sin(t) end proc

procedure

>    wsol:=proc(u)
option `Copyright Aleksas Domarkas, 2002`;
local dsol;
dsol:=proc(F)
local  g,f,d,L;
if has(F, t) and not has(F,[x,y,z]) then g:=unapply(F,t); f:=1;
elif not has(F,t)  then g:=1;f:=F;
else  f:=select(has,F,[x,y,z]); g:=unapply(F/f,t); end if;
d:=max(degree(f),1);
L:=f->linalg[laplacian](f,[x,y,z]);
sum(a^(2*k)/(2*k+1)!*(L@@k)(f)*Int((t-tau)^(2*k+1)*g(tau),tau=0..t),k=0..d);value(%);
end proc:
if type(u,`+`) then map(dsol,u) else dsol(u) end if:
end proc:

solution

>    sol:=wsol(F(x,y,z,t));

sol := x*(-79/4*t*sin(t)*cos(t)+79/4*sin(t)^2)+28*x^3*z*t^2+14*a^2*x*z*t^4+x^2*z*(-49*cos(t)+49)+1/3*a^2*z*(294*cos(t)-294+147*t^2)+z^2*(63/2*sin(t)*exp(t)-63/2*t)+1/3*a^2*(-189/2*cos(t)*exp(t)-63/2*t^...
sol := x*(-79/4*t*sin(t)*cos(t)+79/4*sin(t)^2)+28*x^3*z*t^2+14*a^2*x*z*t^4+x^2*z*(-49*cos(t)+49)+1/3*a^2*z*(294*cos(t)-294+147*t^2)+z^2*(63/2*sin(t)*exp(t)-63/2*t)+1/3*a^2*(-189/2*cos(t)*exp(t)-63/2*t^...
sol := x*(-79/4*t*sin(t)*cos(t)+79/4*sin(t)^2)+28*x^3*z*t^2+14*a^2*x*z*t^4+x^2*z*(-49*cos(t)+49)+1/3*a^2*z*(294*cos(t)-294+147*t^2)+z^2*(63/2*sin(t)*exp(t)-63/2*t)+1/3*a^2*(-189/2*cos(t)*exp(t)-63/2*t^...
sol := x*(-79/4*t*sin(t)*cos(t)+79/4*sin(t)^2)+28*x^3*z*t^2+14*a^2*x*z*t^4+x^2*z*(-49*cos(t)+49)+1/3*a^2*z*(294*cos(t)-294+147*t^2)+z^2*(63/2*sin(t)*exp(t)-63/2*t)+1/3*a^2*(-189/2*cos(t)*exp(t)-63/2*t^...

>   

test

>    u:=unapply(sol,(x,y,z,t)):

>    simplify(rhs(eq)-lhs(eq)):if %<>0 then combine(%,trig) else % fi;

>    simplify(rhs(ic)-lhs(ic));

>    simplify(rhs(ict)-lhs(ict));

0

0

0

>   

Decomposition method

>    restart;with(linalg,laplacian):with(inttrans,fourier,invfourier):

Proble m

From V.S.Vladimirov(ed.), Exercises book on Equations of Mathematical  Physics, Nauka, Moscow, 1982(in Russian) 12.38.7.

>    eq:=diff(u(x,y,z,t),t,t)-a^2*laplacian(u(x,y,z,t),[x,y,z])=exp(z)*sin(y)*cos(x);#-infty<x,y,z<infty,t>0

>    ic:=u(x,y,z,0)=x^2*exp(y+z);#-infty<x,y,z<infty

>    ict:=D[4](u)(x,y,z,0)=sin(x)*exp(y+z);#-infty<x,y,z<infty

eq := diff(u(x,y,z,t),`$`(t,2))-a^2*(diff(u(x,y,z,t),`$`(x,2))+diff(u(x,y,z,t),`$`(y,2))+diff(u(x,y,z,t),`$`(z,2))) = exp(z)*sin(y)*cos(x)

ic := u(x,y,z,0) = x^2*exp(y+z)

ict := D[4](u)(x,y,z,0) = sin(x)*exp(y+z)

I

>    eq1:=eq;

>    ic1:=u(x,y,z,0)=0;

>    ict1:=D[4](u)(x,y,z,0)=0;

eq1 := diff(u(x,y,z,t),`$`(t,2))-a^2*(diff(u(x,y,z,t),`$`(x,2))+diff(u(x,y,z,t),`$`(y,2))+diff(u(x,y,z,t),`$`(z,2))) = exp(z)*sin(y)*cos(x)

ic1 := u(x,y,z,0) = 0

ict1 := D[4](u)(x,y,z,0) = 0

Solving of I

>    subs(u(x,y,z,t)=v(t)*rhs(eq1),eq1);

diff(v(t)*exp(z)*sin(y)*cos(x),`$`(t,2))-a^2*(diff(v(t)*exp(z)*sin(y)*cos(x),`$`(x,2))+diff(v(t)*exp(z)*sin(y)*cos(x),`$`(y,2))+diff(v(t)*exp(z)*sin(y)*cos(x),`$`(z,2))) = exp(z)*sin(y)*cos(x)
diff(v(t)*exp(z)*sin(y)*cos(x),`$`(t,2))-a^2*(diff(v(t)*exp(z)*sin(y)*cos(x),`$`(x,2))+diff(v(t)*exp(z)*sin(y)*cos(x),`$`(y,2))+diff(v(t)*exp(z)*sin(y)*cos(x),`$`(z,2))) = exp(z)*sin(y)*cos(x)
diff(v(t)*exp(z)*sin(y)*cos(x),`$`(t,2))-a^2*(diff(v(t)*exp(z)*sin(y)*cos(x),`$`(x,2))+diff(v(t)*exp(z)*sin(y)*cos(x),`$`(y,2))+diff(v(t)*exp(z)*sin(y)*cos(x),`$`(z,2))) = exp(z)*sin(y)*cos(x)

>    simplify(%/rhs(eq1));

diff(v(t),`$`(t,2))+a^2*v(t) = 1

>    dsolve({%,v(0)=0,D(v)(0)=0},v(t));

v(t) = -cos(a*t)/a^2+1/(a^2)

>    sol1:=rhs(%)*rhs(eq1);

>   

sol1 := (-cos(a*t)/a^2+1/(a^2))*exp(z)*sin(y)*cos(x)

II

>    eq2:=diff(u(x,y,z,t),t,t)-a^2*laplacian(u(x,y,z,t),[x,y,z])=0;

>    ic2:=u(x,y,z,0)=0;

>    ict2:=D[4](u)(x,y,z,0)=sin(x)*exp(y+z);

eq2 := diff(u(x,y,z,t),`$`(t,2))-a^2*(diff(u(x,y,z,t),`$`(x,2))+diff(u(x,y,z,t),`$`(y,2))+diff(u(x,y,z,t),`$`(z,2))) = 0

ic2 := u(x,y,z,0) = 0

ict2 := D[4](u)(x,y,z,0) = sin(x)*exp(y+z)

Solving of II

>    subs(u(x,y,z,t)=v(t)*rhs(ict2),eq2);

diff(v(t)*sin(x)*exp(y+z),`$`(t,2))-a^2*(diff(v(t)*sin(x)*exp(y+z),`$`(x,2))+diff(v(t)*sin(x)*exp(y+z),`$`(y,2))+diff(v(t)*sin(x)*exp(y+z),`$`(z,2))) = 0
diff(v(t)*sin(x)*exp(y+z),`$`(t,2))-a^2*(diff(v(t)*sin(x)*exp(y+z),`$`(x,2))+diff(v(t)*sin(x)*exp(y+z),`$`(y,2))+diff(v(t)*sin(x)*exp(y+z),`$`(z,2))) = 0

>    simplify(%/rhs(ict2));

diff(v(t),`$`(t,2))-a^2*v(t) = 0

>    dsolve({%,v(0)=0,D(v)(0)=1},v(t));convert(%,trig): combine(%,trig);

v(t) = -1/2/a*exp(-a*t)+1/2/a*exp(a*t)

v(t) = sinh(a*t)/a

>    sol2:=rhs(%)*rhs(ict2);

>   

sol2 := sinh(a*t)/a*sin(x)*exp(y+z)

III

>    eq3:=eq2;

>    ic3:=u(x,y,z,0)=x^2*exp(y+z);

>    ict3:=D[4](u)(x,y,z,0)=0;

eq3 := diff(u(x,y,z,t),`$`(t,2))-a^2*(diff(u(x,y,z,t),`$`(x,2))+diff(u(x,y,z,t),`$`(y,2))+diff(u(x,y,z,t),`$`(z,2))) = 0

ic3 := u(x,y,z,0) = x^2*exp(y+z)

ict3 := D[4](u)(x,y,z,0) = 0

Solving of III

>    subs(u(x,y,z,t)=v(x,t)*exp(y+z),eq3);

diff(v(x,t)*exp(y+z),`$`(t,2))-a^2*(diff(v(x,t)*exp(y+z),`$`(x,2))+diff(v(x,t)*exp(y+z),`$`(y,2))+diff(v(x,t)*exp(y+z),`$`(z,2))) = 0
diff(v(x,t)*exp(y+z),`$`(t,2))-a^2*(diff(v(x,t)*exp(y+z),`$`(x,2))+diff(v(x,t)*exp(y+z),`$`(y,2))+diff(v(x,t)*exp(y+z),`$`(z,2))) = 0

>    eqn:=simplify(%/exp(y+z));

eqn := diff(v(x,t),`$`(t,2))-a^2*diff(v(x,t),`$`(x,2))-2*a^2*v(x,t) = 0

>    fourier(eqn,x,w);

diff(fourier(v(x,t),x,w),`$`(t,2))+a^2*w^2*fourier(v(x,t),x,w)-2*a^2*fourier(v(x,t),x,w) = 0

>    subs(fourier(v(x,t),x,w)=s(t),%);

diff(s(t),`$`(t,2))+a^2*w^2*s(t)-2*a^2*s(t) = 0

>    dsolve({%,s(0)=fourier(x^2,x,w),D(s)(0)=0},s(t));

s(t) = -2*Pi*Dirac(2,w)*cos(a*sqrt(w^2-2)*t)

>    subs(s(t)=fourier(v(x,t),x,w),%);

fourier(v(x,t),x,w) = -2*Pi*Dirac(2,w)*cos(a*sqrt(w^2-2)*t)

>    invfourier(%,w,x);

v(x,t) = -1/2*sin(a*sqrt(-2)*t)*a*sqrt(-2)*t+cos(a*sqrt(-2)*t)*x^2

>    convert(%,trig): combine(%,trig);

v(x,t) = 1/2*sinh(sqrt(2)*a*t)*a*sqrt(2)*t+cosh(sqrt(2)*a*t)*x^2

>    sol3:=rhs(%)*exp(y+z);

>   

sol3 := (1/2*sinh(sqrt(2)*a*t)*a*sqrt(2)*t+cosh(sqrt(2)*a*t)*x^2)*exp(y+z)

Solution

>    sol:=sol1+sol2+sol3;

sol := (-cos(a*t)/a^2+1/(a^2))*exp(z)*sin(y)*cos(x)+sinh(a*t)/a*sin(x)*exp(y+z)+(1/2*sinh(sqrt(2)*a*t)*a*sqrt(2)*t+cosh(sqrt(2)*a*t)*x^2)*exp(y+z)
sol := (-cos(a*t)/a^2+1/(a^2))*exp(z)*sin(y)*cos(x)+sinh(a*t)/a*sin(x)*exp(y+z)+(1/2*sinh(sqrt(2)*a*t)*a*sqrt(2)*t+cosh(sqrt(2)*a*t)*x^2)*exp(y+z)

Checking the Solution

>    u:=unapply(sol,(x,y,z,t)):

>    simplify(rhs(eq)-lhs(eq));

>    simplify(rhs(ic)-lhs(ic));

>    simplify(rhs(ict)-lhs(ict));

0

0

0

>   

Radial-symmetric solution

For radial-symmetric solutions of linear elliptic equations  see   radsymell.mws

Problem

>    restart;with(linalg,laplacian):

[vlad] 12.38.9.

>    eq:=diff(u(x,y,z,t),t,t)-a^2*laplacian(u(x,y,z,t),[x,y,z])=0;

eq := diff(u(x,y,z,t),`$`(t,2))-a^2*(diff(u(x,y,z,t),`$`(x,2))+diff(u(x,y,z,t),`$`(y,2))+diff(u(x,y,z,t),`$`(z,2))) = 0

>    ic:=u(x,y,z,0)=cos((x^2+y^2+z^2)^(1/2));

ic := u(x,y,z,0) = cos(sqrt(x^2+y^2+z^2))

>    ict:=D[4](u)(x,y,z,0)=cos((x^2+y^2+z^2)^(1/2));

ict := D[4](u)(x,y,z,0) = cos(sqrt(x^2+y^2+z^2))

Solving problem

>    eqn:=diff(u(r,t),t,t)-a^2*expand(laplacian(u(r,t),[r,theta,phi],coords=spherical));

eqn := diff(u(r,t),`$`(t,2))-a^2*(2/r*diff(u(r,t),r)+diff(u(r,t),`$`(r,2)))

Solution we search in form   u(r,t) = v(r,t)/r  :

>    subs(u(r,t)=v(r,t)/r,eqn);

diff(v(r,t)/r,`$`(t,2))-a^2*(2/r*diff(v(r,t)/r,r)+diff(v(r,t)/r,`$`(r,2)))

>    eq1:=simplify(%*r);

eq1 := diff(v(r,t),`$`(t,2))-a^2*diff(v(r,t),`$`(r,2))

>    ic1:=v(r,0)=r*cos(r);

ic1 := v(r,0) = r*cos(r)

>    ict1:=D[2](v)(r,0)=r*cos(r);

ict1 := D[2](v)(r,0) = r*cos(r)

>    phi:=unapply(rhs(ic1),r);

phi := proc (r) options operator, arrow; r*cos(r) end proc

>    psi:=unapply(rhs(ict1),r);

psi := proc (r) options operator, arrow; r*cos(r) end proc

By  d'Alembert's  formula :

>    v(r,t)=(phi(r+a*t)+phi(r-a*t))/2+Int(psi(xi),xi=r-a*t .. r+a*t)/2/a;

v(r,t) = 1/2*(r+a*t)*cos(r+a*t)+1/2*(r-a*t)*cos(-r+a*t)+1/2*Int(xi*cos(xi),xi = r-a*t .. r+a*t)/a

>    value(rhs(%))/r;

(1/2*(r+a*t)*cos(r+a*t)+1/2*(r-a*t)*cos(-r+a*t)+1/2*(cos(r+a*t)+sin(r+a*t)*r+sin(r+a*t)*a*t-cos(-r+a*t)+sin(-r+a*t)*r-sin(-r+a*t)*a*t)/a)/r
(1/2*(r+a*t)*cos(r+a*t)+1/2*(r-a*t)*cos(-r+a*t)+1/2*(cos(r+a*t)+sin(r+a*t)*r+sin(r+a*t)*a*t-cos(-r+a*t)+sin(-r+a*t)*r-sin(-r+a*t)*a*t)/a)/r

>    expand(%);

cos(r)*cos(a*t)-1/r*a*t*sin(r)*sin(a*t)-1/r/a*sin(r)*sin(a*t)+1/a*cos(r)*sin(a*t)+1/r*t*sin(r)*cos(a*t)

>    collect(%,{sin(r),cos(r)});

(1/a*sin(a*t)+cos(a*t))*cos(r)+(1/r*t*cos(a*t)-1/r*a*t*sin(a*t)-1/r/a*sin(a*t))*sin(r)

>    applyop(collect,[1,1],%,r):applyop(collect,[2,1],%,r);

(1/a*sin(a*t)+cos(a*t))*cos(r)+(t*cos(a*t)-a*t*sin(a*t)-1/a*sin(a*t))/r*sin(r)

Solution

>    sol:=subs(r=sqrt(x^2+y^2+z^2),%);

sol := (1/a*sin(a*t)+cos(a*t))*cos(sqrt(x^2+y^2+z^2))+(t*cos(a*t)-a*t*sin(a*t)-1/a*sin(a*t))/(x^2+y^2+z^2)^(1/2)*sin(sqrt(x^2+y^2+z^2))

>   

Checking the Solution

>    u:=unapply(sol,(x,y,z,t)):

>    simplify(rhs(eq)-lhs(eq));

>    simplify(rhs(ic)-lhs(ic));

>    simplify(rhs(ict)-lhs(ict));

0

0

0

>   

While every effort has been made to validate the solutions in this worksheet, Waterloo Maple Inc. and the conevibutors are not responsible for any errors contained and are not liable for any damages resulting from the use of this material.

Back to contents