Application Center - Maplesoft

App Preview:

Visualizing a Parallel Field in a Curved Manifold

You can switch back to the summary page by clicking here.

Learn about Maple
Download Application


 

Visualizing a Parallel Field in a Curved Manifold 

Robert J. Lopez 

 

 

It was 1992 when Mel Maron and I had just published the third edition of Numerical Analysis: A Practical Approach.  One of our editors made the suggestion that a Maple version of an advanced engineering math book should be written. For the next five years I steadfastly resisted the challenge.  Finally, in 1997 I signed a contract with Addison Wesley for a 1000-page AEM text, the manuscript due in two years. 

 

Rose-Hulman Institute of Technology where I was teaching in the math department is on the quarter system, and math faculty normally teach twelve contact hours.  Calculus classes are five hours per week, so for each calculus course taught, a faculty member picks up an extra hour.  To minimize prep time, I wrangled three courses all the same, but they had to be calculus courses, so I was teaching fifteen contact hours and writing what turned out to be a 1200-page text. 

 

After the first two quarters of academic year 1997, I needed to come up for air, so I set aside the project and spent several months putting together a Maple-based tensor calculus course. Happily, I even got to teach it in the following school year. One of the high points for me was animating a parallel vector field along a latitude on a sphere. 

 

My PhD thesis was in relativistic cosmology, a study that took me into differential geometry, continuous group theory, and tensor calculus. One of the most difficult concepts in all this was the notion of parallel transport of a vector from one tangent space to another. Of course, the image I had in my head was a basketball for a manifold, and a vector in a tangent plane on this (unit) sphere.  The manifold sat in an enveloping , and I struggled mightily to visualize the difference between the transported field appearing parallel to the surface observer and Euclidean parallelism as seen by an external observer.  The Kantian imperative is true - it's natural to imagine the vectors in , but devilishly difficult to visualize the difference between Euclidean parallelism and parallel transport in an intrinsically curved space. 

 

The animation in Figure 1 shows the parallel transport of the vector along the latitude , where is the colatitude in spherical coordinates. (Thus, is measured downward from the positive -axis.)  The parallel field remains in the tangent plane along this curve, so is a surface vector, but the view is what the external observer sees. 

 

Plot_2d 

Figure 1   Parallel field along a latitude on the unit sphere 

 

The animation in Figure 1 was originally computed with the now-deprecated tensor package in which the equally deprecated linalg package is used.  Recently, I dove far enough into Maple's new DifferentialGeometry package to rewrite the RHIT tensor calculus course in Maple 13. In fact, a summary of what I learned can be found in Tensor Calculus with the Differential Geometry Package, originally a Tips and Techniques article in the Maple Reporter, and now an entry in the Maple Application Center. 

 

But the concept the animation in Figure 1 illustrates can be obtained without the machinery of the tensor calculus. We will take a vector field along the latitude, and ask what happens to it as the surface observer moves along the curve. The derivative of the vector field is again a vector field along the curve. If the surface observer sees any nonzero component of this derived field, the field in the surface will not appear to be parallel.  Hence, the surface observer must not see any component of the derivative. The only way for this to happen is for the derivative field to be orthogonal to the tangent plane all along the curve. This condition provides the equations that will determine the parallel transport of the initial vector. 

 

Let's work in the VectorCalculus package, the advantage being that the differentiation operator acts directly on vectors, and does not have to be mapped onto the components of the vector.  

 

 

 

It is always my preference when working in the VectorCalculus package to display vectors as column vectors, which is the effect of the BasisFormat command. With respect to the Euclidean basis vectors , the unit sphere is then given by 

 

 

 

The moving basis vectors for the manifold (the surface of the sphere) are then and . Along the latitude defined by , these basis vectors become 

 

 

 

 

 

 

and 

 

 

 

The general vector field along the latitude is then 

 

 

 

 

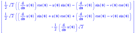
Since this vector is expressed with respect to the Euclidean basis of the enveloping , we can obtain its derivative as 

 

 

 

 

This vector will be orthogonal to the tangent plane on the sphere if it is orthogonal to each of the basis vectors and . Hence, we have the equations 

 

 

 

 

`+`(diff(u(theta), theta), `-`(`*`(`/`(1, 2), `*`(v(theta))))) = 0
`+`(`*`(`/`(1, 2), `*`(u(theta))), `*`(`/`(1, 2), `*`(diff(v(theta), theta)))) = 0
 

 

The solution, for the initial conditions 

 

 

u(0) = 0, v(0) = 1
 

 

is given by 

 

 

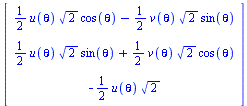
{u(theta) = `+`(`*`(`/`(1, 2), `*`(sin(`+`(`*`(`/`(1, 2), `*`(`^`(2, `/`(1, 2)), `*`(theta))))), `*`(`^`(2, `/`(1, 2)))))), v(theta) = cos(`+`(`*`(`/`(1, 2), `*`(`^`(2, `/`(1, 2)), `*`(theta)))))}
 

 

Consequently, the parallel field along the latitude is given by 

 

 

 

 

This is precisely the field one finds by using the machinery of the tensor calculus, that is, by setting the surface covariant derivative equal to zero and solving the resulting system of differential equations.  Of course, the differential equations are the same ones we obtained using simpler methods. 

 

In the late 1960s when I was grappling with these constructs and concepts as a graduate student, there were no tools like we used here to obtain and visualize a parallel field in a curved manifold.  Had there been such tools available, my life as a graduate student would have been so much easier and more importantly, so much more productive.