Application Center - Maplesoft

App Preview:

Calculus II: Lesson 9: Integration by Substitution: Worked Examples

You can switch back to the summary page by clicking here.

Learn about Maple
Download Application


 

L9-intTechSubsPractice.mws

Calculus II

Lesson 9: Integration by Substitution: Worked Examples

  • Here are 20 anti-derivatives. We reduce each of them to a simpler form by means of a substitution. Here are the rules for today's game:

    Use the unevaluated
    Int command throughout the worksheet.

    You may consider that you have "solved" the problem when you have reduced it to one of the standard forms or to a problem which can be done with a known reduction formula, or to a sum of problems of these types.

    Try to find the simplest substitution that will work in each case.

> restart;

  • Remember to load the student package, so that you can use changevar .

> with(student);

[D, Diff, Doubleint, Int, Limit, Lineint, Product, ...
[D, Diff, Doubleint, Int, Limit, Lineint, Product, ...

1. Int(sqrt(9-x^2)/(x^2),x)

> p1 := Int(sqrt(9 - x^2)/x^2, x);

p1 := Int((9-x^2)^(1/2)/x^2,x)

> p2 := changevar(x=3*sin(u), p1, u);

p2 := Int(1/3*(9-9*sin(u)^2)^(1/2)/sin(u)^2*cos(u),...

Unfortunately, simplify doesn't do what we want here:

> simplify(p2);

-Int(csgn(cos(u))*cos(u)^2/(-1+cos(u)^2),u)

The reason is that Maple will not simplify sqrt(a^2) as a unless it knows that a is positive. We must tell it to assume that cos(u) is positive; then simplify works. (Why are we allowed to make this assumption?)

> assume(cos(u) >= 0);

> p3 := simplify(p2);

p3 := -Int(cos(u)^2/(-1+cos(u)^2),u)

> p4 := subs(-1 + cos(u)^2 = -sin(u)^2, p3);

p4 := -Int(-cos(u)^2/sin(u)^2,u)

> p5 := subs(cos(u)^2 / sin(u)^2 = cot(u)^2, p4);

p5 := -Int(-cot(u)^2,u)

> p6 := subs(cot(u)^2 = csc(u)^2 - 1, p5);

p6 := -Int(-csc(u)^2+1,u)

We are down to evaluating Int(csc(u)^2,u) and Int(1,u)

2. Int(1/(x^2*sqrt(x^2+4)),x)

> p1 := Int(1/(x^2 * sqrt(x^2 + 4)), x);

p1 := Int(1/(x^2*sqrt(x^2+4)),x)

> p2 := changevar(x = 2*tan(u), p1, u);

p2 := Int(1/2*(1+tan(u)^2)/tan(u)^2/(4*tan(u)^2+4)^...

> p3 := simplify(p2);

p3 := 1/4*Int((1+tan(u)^2)^(1/2)/tan(u)^2,u)

3. Int(x^2/sqrt(x^2+4),x)

> p1 := Int(x^2 / sqrt(x^2 + 4), x);

p1 := Int(x^2/(x^2+4)^(1/2),x)

> p2 := changevar(x = 2*tan(u), p1, u);

p2 := Int(8*tan(u)^2*(1+tan(u)^2)/(4*tan(u)^2+4)^(1...

> p3 := simplify(p2);

p3 := 4*Int(tan(u)^2*sqrt(1+tan(u)^2),u)

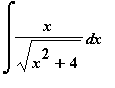
4. Int(x/sqrt(x^2+4),x)

> p1 := Int(x / sqrt(x^2 + 4), x);

p1 := Int(x/(x^2+4)^(1/2),x)

> p2 := changevar(u=x^2 + 4, p1, u);

p2 := Int(1/2*1/(sqrt(u)),u)

> p3 := simplify(p2);

p3 := 1/2*Int(1/(sqrt(u)),u)

5. Int(1/sqrt(x^2-4),x)

> p1 := Int(1/sqrt(x^2 - 4), x);

p1 := Int(1/(sqrt(x^2-4)),x)

> p2 := changevar(x = 2*sec(u), p1, u);

p2 := Int(2/(4*sec(u)^2-4)^(1/2)*sec(u)*tan(u),u)

> p3 := simplify(p2);

p3 := Int(1/cos(u)/(1-cos(u)^2)^(1/2)*sin(u),u)

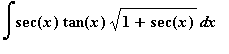
6. Int(sec(x)*tan(x)*sqrt(1+sec(x)),x)

> p1 := Int( sec(x)*tan(x)*sqrt(1 + sec(x)), x);

p1 := Int(sec(x)*tan(x)*sqrt(1+sec(x)),x)

> p2 := changevar(u = 1 + sec(x), p1, u);

p2 := Int(sqrt(u),u)

7. Int(x*sqrt(3*x+1),x)

> p1 := Int(x*sqrt(3*x + 1), x);

p1 := Int(x*sqrt(3*x+1),x)

> p2 := changevar(u = 3*x+ 1, p1, u);

p2 := Int(1/3*(-1/3+1/3*u)*sqrt(u),u)

> p3 := simplify(p2);

p3 := 1/9*Int((-1+u)*sqrt(u),u)

>

8. Int(x^3*sqrt(9-x^2),x)

> p1 := Int(x^3 * sqrt(9 - x^2), x);

p1 := Int(x^3*sqrt(9-x^2),x)

> p2 := changevar(u = 9 - x^2, p1, u);

p2 := Int(-1/2*(9-u)*sqrt(u),u)

> p3 := simplify(p2);

p3 := 1/2*Int((-9+u)*sqrt(u),u)

9. Int(cos(x)^4*sin(x),x)

> p1 := Int(cos(x)^4 * sin(x), x);

p1 := Int(cos(x)^4*sin(x),x)

> p2 := changevar(u = cos(x), p1, u);

p2 := Int(-u^4,u)

> p3 := simplify(p2);

p3 := -Int(u^4,u)

>

10. Int(1/(((x+1)^2+1)^2),x)

> p1 := Int(1/( (x+1)^2 + 1)^2, x);

p1 := Int(1/(((x+1)^2+1)^2),x)

> p2 := changevar(x+1 = tan(u), p1, u);

p2 := Int(1/(1+tan(u)^2),u)

11. Int(x^3*sqrt(4-9*x^2),x)

> p1 := Int(x^3 * sqrt(4 - 9*x^2), x);

p1 := Int(x^3*sqrt(4-9*x^2),x)

> p2 := changevar(u = 4 - 9*x^2, p1, u);

p2 := Int(-1/18*(4/9-1/9*u)*sqrt(u),u)

> p3 := simplify(p2);

p3 := 1/162*Int((-4+u)*sqrt(u),u)

>

12. Int(x*sqrt(1+x^4),x)

> p1 := Int(x*sqrt(1 + x^4), x);

p1 := Int(x*sqrt(1+x^4),x)

> p2 := changevar(u = x^2, p1, u);

p2 := Int(1/2*sqrt(1+u^2),u)

> p3 := simplify(p2);

p3 := 1/2*Int(sqrt(1+u^2),u)

> p4 := changevar(u = tan(t), p3, t);

p4 := 1/2*Int((1+tan(t)^2)^(3/2),t)

> p5 := subs(1 + tan(t)^2 = sec(t)^2, p4);

p5 := 1/2*Int((sec(t)^2)^(3/2),t)

> assume(sec(t) > 0);

> p6 := simplify(p5, power);

p6 := 1/2*Int(sec(t)^3,t)

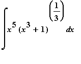
13. Int(x^5*(x^3+1)^(1/3),x)

> p1 := Int(x^5 * (x^3 + 1)^(1/3), x);

p1 := Int(x^5*(x^3+1)^(1/3),x)

> p2 := changevar(u = x^3 + 1, p1, u);

p2 := Int(1/3*(-1+u)*u^(1/3),u)

> p3 := simplify(p2);

p3 := 1/3*Int((-1+u)*u^(1/3),u)

14. Int(x/sqrt(1+2*x),x)

> p1 := Int(x/sqrt(1 + 2*x), x);

p1 := Int(x/(1+2*x)^(1/2),x)

> p2 := changevar(u = 1 + 2*x, p1, u);

p2 := Int(1/2*(-1/2+1/2*u)/u^(1/2),u)

> p3 := simplify(p2);

p3 := 1/4*Int((-1+u)/u^(1/2),u)

15. Int(exp(x)*sqrt(9-exp(2*x)),x)

> p1 := Int( exp(x)*sqrt(9 - exp(2*x)), x);

p1 := Int(exp(x)*sqrt(9-exp(2*x)),x)

> p2 := changevar(u = exp(x), p1, u);

p2 := Int(sqrt(9-u^2),u)

> p3 := changevar(u = 3*sin(theta), p2, theta);

p3 := Int(3*sqrt(9-9*sin(theta)^2)*cos(theta),theta...

> assume(cos(theta) >= 0);

> p4 := simplify(p3);

p4 := 9*Int(cos(theta)^2,theta)

16. Int(arctan(x)/(1+x^2),x)

> p1 := Int(arctan(x)/(1 + x^2), x);

p1 := Int(arctan(x)/(1+x^2),x)

> p2 := changevar(u = arctan(x), p1, u);

p2 := Int(u,u)

17. Int(x^4/sqrt(x^10-4),x)

> p1 := Int(x^4 / sqrt(x^10 - 4), x);

p1 := Int(x^4/(x^10-4)^(1/2),x)

> p2 := changevar(u = x^5, p1, u);

p2 := Int(1/5*1/(sqrt(u^2-4)),u)

> p3 := simplify(p2);

p3 := 1/5*Int(1/(sqrt(u^2-4)),u)

> p4 := changevar(u = 2*sec(phi), p3, phi);

p4 := 1/5*Int(2/(4*sec(phi)^2-4)^(1/2)*sec(phi)*tan...

> assume(tan(phi) > 0);

> p5 := simplify(p4);

p5 := 1/5*Int(1/cos(phi)/(1-cos(phi)^2)^(1/2)*sin(p...

> p6 := subs(1/cos(phi) = sec(phi), p5);

p6 := 1/5*Int(sec(phi)/(1-cos(phi)^2)^(1/2)*sin(phi...

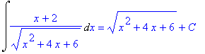
18. Int((x+2)/sqrt(x^2+4*x+6),x)

(This problem and the next two are related; we will use new variables so that we can refer back to this answer without confusion.)

> q1 := Int((x+2)/sqrt(x^2 + 4*x + 6), x);

q1 := Int((x+2)/(x^2+4*x+6)^(1/2),x)

> q2 := changevar(u = x^2 + 4*x + 6, q1, u);

q2 := Int(1/2*1/(sqrt(u)),u)

> q3 := simplify(q2);

q3 := 1/2*Int(1/(sqrt(u)),u)

> q4 := value(q3);

q4 := sqrt(u)

> q5 := subs(u = x^2 + 4*x + 6, q4);

q5 := sqrt(x^2+4*x+6)

> q1 = q5 + C;

Int((x+2)/(x^2+4*x+6)^(1/2),x) = sqrt(x^2+4*x+6)+C

19. Int(2/sqrt(x^2+4*x+6),x)

> r1 := Int(2/sqrt(x^2 + 4*x + 6), x);

r1 := Int(2*1/(sqrt(x^2+4*x+6)),x)

> r2 := simplify(r1);

r2 := 2*Int(1/(sqrt(x^2+4*x+6)),x)

> cs := completesquare(x^2 + 4*x + 6);

cs := (x+2)^2+2

> r3 := subs(x^2 + 4*x + 6 = cs, r2);

r3 := 2*Int(1/(sqrt((x+2)^2+2)),x)

> r4 := changevar(x+2 = sqrt(2)*tan(u), r3, u);

r4 := 2*Int(2^(1/2)*(1+tan(u)^2)/(2+2*tan(u)^2)^(1/...

> r5 := simplify(r4);

r5 := 2*Int(sqrt(1+tan(u)^2),u)

> assume(sec(u) > 0);

> r6 := subs(1 + tan(u)^2 = sec(u)^2, r5);

r6 := 2*Int(sqrt(1+tan(u)^2),u)

> r7 := simplify(r6, power);

r7 := 2*Int(sqrt(1+tan(u)^2),u)

> r8 := value(r7);

r8 := 2*arcsinh(tan(u))

> r9 := subs(tan(u) = (x+2)/sqrt(2), sec(u) = sqrt((x^2 + 4*x + 6)/2), r8);

r9 := 2*arcsinh(tan(u))

> r10 := simplify(r9);

r10 := 2*arcsinh(tan(u))

> r1 = r10 + C;

Int(2*1/(sqrt(x^2+4*x+6)),x) = 2*arcsinh(tan(u))+C

20. Int(x/sqrt(x^2+4*x+6),x)

> s1 := Int(x / sqrt(x^2 + 4*x + 6), x);

s1 := Int(x/(x^2+4*x+6)^(1/2),x)

Observe that this anti-derivative is just the difference of the previous two:

> s1 = q5 - r10 + C;

Int(x/(x^2+4*x+6)^(1/2),x) = sqrt(x^2+4*x+6)-2*arcs...