Application Center - Maplesoft

App Preview:

Calculus I: Lesson 3: Continuity and Limits at Infinity II

You can switch back to the summary page by clicking here.

Learn about Maple
Download Application


 

L3-continuity2.mws

Calculus I

Lesson 3: Continuity and Limits at Infinity II

Example 1
Plot
f(x) = x*sin(1/x) . Determine the limit of f(x) as x goes to infinity .

> restart:

> a:= x * sin(1/x) ;

a := x*sin(1/x)

> plot(a(x), x = 100..1000);

[Maple Plot]

From the graph, we conjecture that the limit of f(x) as x goes to infinity is 1.

Example 1b
Plot
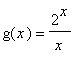
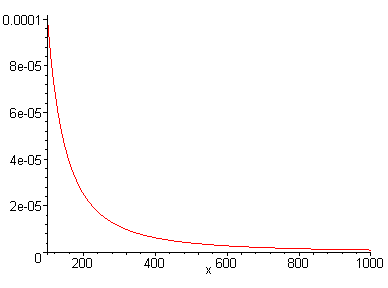
g(x) = 2^x/x . Determine the limit of g(x) as x goes to infinity .

> b:= 2^x / x;

b := 2^x/x

> plot(b(x), x = 10..100);

[Maple Plot]

From the graph we conjecture that the limit of g(x) as x goes to infinity is infinity .

Example 2
Plot
sin(1/x)/x . Is this function continuous at 0? Does the limit of

this function exist as x goes to zero? What about the limit as x goes to infinity ?

Where is the function continuous?

> c:= (1/x)*sin(1/x);

c := sin(1/x)/x

> plot(c(x), x = 0.01..1);

[Maple Plot]

> plot(c(x), x = -0.01..-1);

[Maple Plot]

> plot(c(x), x = 100..1000);

[Maple Plot]

Conclusions : The function is NOT continuous at x = 0 since the limit

of the function as x goes to zero does not exist. However, the limit of

the function as x goes to infinity is 0. The function is continuous everywhere

except at x = 0.

Example 3

a) Let s(x) = x^2-4*x and t(x) = 4*x-x^2 . Graph s(x) and t(x) on the same

axes with different colors.

b) Suppose that s(x) < f(x) < t(x) for all x. Find the limit of f(x) as x goes to 4.

> s:= x^2 - 4*x;

s := x^2-4*x

> t:= 4*x - x^2;

t := 4*x-x^2

> plot([s(x),t(x)], x= 2..6, color=[magenta, brown]);

[Maple Plot]

answer to (3b): limit of f(x) as x goes to 4 is zero.

Example 4

a) Let u(x) = (4*x-1)/x and v(x) = (4*x^2+3*x)/(x^2) . Plot u(x) and v(x) on

the same axes with different color.

b) Suppose that u(x) < f(x) < v(x) for all x > 5. Find limit of f(x) as x goes to infinity.

> u:= (4*x - 1)/x;

u := (4*x-1)/x

> v(x):= (4*x^2 + 3*x)/(x^2);

v(x) := (4*x^2+3*x)/(x^2)

> plot([u(x),v(x)],x = 10..100, color=[magenta,brown]);

[Maple Plot]

> plot([u(x),v(x)],x = 1000..10000, color=[magenta,brown]);

[Maple Plot]

a nswer to (4b) : From the graph, limit of f(x) as x goes to infinity is 4.

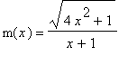
Example 5
Let m(x) = sqrt(4*x^2+1)/(x+1) . Plot m(x) to obtain the limit

of m(x) as x goes to negative infinity. Compute the limit without using Maple.

> m:= (sqrt(4*x^2 + 1)) /(x + 1);

m := sqrt(4*x^2+1)/(x+1)

> plot(m(x), x = -10..-100);

[Maple Plot]

> plot(m(x), x = -100..-1000);

[Maple Plot]

> limit(m(x), x = -infinity);

limit(sqrt(4*x(x)^2+1)/(x(x)+1),x = -infinity)

> evalf(%);

-2.000000000