Taylor and Maclaurin Series
Juergen Gerlach Radford University October 12th, 2017
formal
This tutorial was written using Maple 2017.
1. Evaluation of Power Series
The evaluation of power series is straightforward, if the series converges for all , i.e when . Here are some examples:
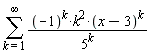
If the power series does not converge everywhere, we have to make assumptions about the interval of convergence. For instance,
does not yield a result. However using
leads to
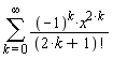
This is a little hard to read, but the tilde means that we made assumptions about the range of the variable. Here are more examples, beginning with the geometric series (the assumption that is still active)
Previous versions of maple had the formulas, such as the geometric series, built in - without the "assume" requirement. This lead to absurd results when series that obviously did not converge by the Divergence Test all of a sudden had finite values.
2. Formal Series Expansions
This is straightforward. Examples follow
3. The taylor and the series Commands
3.a We can display the first few terms of a taylor series with the taylor command.
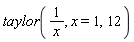
Example: We wish to find the Taylor expansion of at
The last expression means "terms of order ". is the default, and we have control over the order with an additional input argument.
Now terms of order up to 11 are displayed, the remaining terms are hidden in .
Note, that the third input argument controls order of the expansion, and not the number of terms. Example:
We get the same response for 5 and 6 (why?), but using 7 in the last argument we have
3.b The series command works in a similar way, but it can also be used at singularities, when the taylor command fails.
Examples.
(a) The commands work the same when there are no singularities
(b) The taylor command fails for , because we have a vertical asymptote at the origin,
Error, invalid function arguments
but series works
(c) Another example with a vertical asymptote:
4. Direct Construction of Taylor Polynomials
The Taylor polynomial of order N for a function taken at is given by . The coeftayl command has the formula for the coefficient built in.
Example: We use with and compute the coefficient for .
Direct calculation
In the construction we proceed without the coeftayl command (it's a matter of preference).
The following steps yield the Taylor polynomial. The example finds the 10th degree polynomial for expanded at the origin.
Graphical illustration:
Example: One more for variety.