Application Center - Maplesoft

App Preview:

Jeans Mass

You can switch back to the summary page by clicking here.

Learn about Maple
Download Application




NULLJeans Mass *

This worksheet provides a derivation of the Jeans mass formula and concludes with a problem making use of the formula.

Problem: Derive  the Jeans-mass formula. Then Calculate the Jeans mass of a typical molecular cloud with a temperature of 10 degrees K, a molecular hydrogen number density of 1010, and a corresponding density of 2mH nH2. This problem sheet draws on information from Mihos (2005) and Pettini (2014).}

 

Solution: A homogeneous gas cloud, undisturbed by affects to the contrary, will collapse under its own weight if its mass exceeds its Jeans mass. Such a cloud is said to be virialized, meaning that the virial theorem applies:

restart

2*K+U = 0

where K is kinetic energy, and U is potential energy. The kinetic energy is

K = (3/2)*k*T*N

where k is Boltzmann's constant, T is the temperature in kelvins, and N is the number of atoms comprising the cloud. And the potential (gravitational) energy is

U = -(3/5)*G*M^2/R

Substituting into the virial theorem gives

3*k*T*N = (3/5)*G*M^2/R

If the cloud obeys this equality, it is virialized and will neither expand nor contract. If the kinetic energy is greater than the potential energy, the cloud will expand. If the potential energy is greater than the kinetic energy, the cloud will contract. So, for contraction, the formula is

  3*k*T*N < (3/5)*G*M^2/R

The number of particles in the cloud is found by dividing the total mass of the cloud by the mass of a particle:

N = M/(mu*m) 

where μ is the mean molecular weight. Assuming that the cloud is roughly spherical, we find its volume by

V = (4/3)*Pi*R^3

where

V = M/rho

where ρ is the density. Substituting:

M/rho = (4/3)*Pi*R^3

NULL

Solve for R:

 

R = ((3/4)*M/(Pi*rho))^(1/3)

(1)

 

Substitute into the inequality, with N = M/μ*m:

 

  3*k*T*M/(mu*m) < (3/5)*G*M^2/((3/4)*M/(Pi*rho))^(1/3)

NULL 

(2)

Solve for M:

 

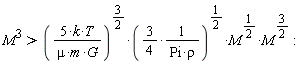
(3/5)*G*M^2/((3/4)*M/(Pi*rho))^(1/3) > 3*k*T*M/(mu*m)

 

M^3 > (5*k*T/(mu*m*G))^(3/2)*((3/4)/(Pi*rho))^(1/2)*M^(1/2)*(M^(3/2))

NULL

M > (5*k*T/(mu*m*G))^(3/2)*((3/4)/(Pi*rho))^(1/2)

 

The expression to the right of the inequality sign is known as the Jeans mass. If the mass of the cloud is greater than the Jeans mass, the cloud will contract, as long as it is not disturbed by external forces such as a nearby supernova explosion or strong magnetic fields within the cloud (Mihos, 2005).

 

restart

NULL

Example: An Interstellar Molecular Cloud

 

Problem: A typical interstellar molecular cloud has a temperature (T) of about 10 degrees K, a molecular hydrogen number density (nH2) of about 1010 /m3, and a corresponding density (ρ) of 2*mH*nH2. The Jeans mass formula can be used to predict whether or not this cloud is likely to collapse under its gravity into a protostar. Calculate the Jeans mass for such a cloud.

NULL

NULL

Hint:

 

A cloud that is more massive than its Jeans mass will collapse into a star.

 

 

Data:

 

with(ScientificConstants)

NULL

k := evalf(Constant(k, units))

0.1380650277e-22*Units:-Unit(('m')^2*('kg')/(('s')^2*('K')))

(3)

G := evalf(Constant(G, units))

0.6673e-10*Units:-Unit(('m')^3/(('kg')*('s')^2))

(4)

T := 10*Unit('K')

10*Units:-Unit('K')

(5)

m[H] := 1.67*10^(-27)*Unit('kg')

0.1670000000e-26*Units:-Unit('kg')

(6)

n[H2] := 10^10/Unit('m')^3

10000000000/Units:-Unit('m')^3

(7)

mu := 2

2

(8)

rho := mu*m[H]*n[H2]

0.3340000000e-16*Units:-Unit('kg')/Units:-Unit('m')^3

(9)

M[sun] := evalf(Constant(M[Sun], units))

0.199e31*Units:-Unit('kg')

(10)

``

``

NULL

NULL

Useful Equation:

 

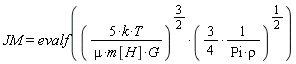
JM = evalf((5*k*T/(mu*m[H]*G))^(3/2)*((3/4)/(Pi*rho))^(1/2)):  #  Jeans mass

 

NULL

NULL

Solution: Put the appropriate values into the formula and evaluate it:

NULL 

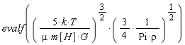
evalf((5*k*T/(mu*m[H]*G))^(3/2)*((3/4)/(Pi*rho))^(1/2))

0.1457342424e32*(Units:-Unit(('m')^2*('kg')/(('s')^2*('K')))*Units:-Unit('K')/(Units:-Unit('kg')*Units:-Unit(('m')^3/(('kg')*('s')^2))))^(3/2)*(Units:-Unit('m')^3/Units:-Unit('kg'))^(1/2)

(11)

simplify(0.1457342424e32*(Units:-Unit('m'^2*'kg'/('s'^2*'K'))*Units:-Unit('K')/(Units:-Unit('kg')*Units:-Unit('m'^3/('kg'*'s'^2))))^(3/2)*(Units:-Unit('m')^3/Units:-Unit('kg'))^(1/2))

0.1457342424e32*Units:-Unit('kg')

(12)

NULL``

Express the Jeans mass in solar masses:

NULL

0.1457342424e32*Units:-Unit('kg')/M[sun]

7.323328764

(13)

NULL

We may safely say that, if the molecular cloud is more massive than about 8 solar masses (the Jeans mass), it will contract. Such a cloud typically has a mass of around 10 solar masses and can, therefore, be expected to contract into a protostar (Pettini, 2014).

 

------------------------------------------------------------------------------

References

Pettini, M. (2014). Lecture 11: How do stars form? Structure and Evolution of Stars. http://www.ast.cam.ac.uk/~pettini/STARS/Lecture11.pdf (Accessed: 2016-03-29).

Mihos, C. (2005). Gravitational Collapse of Gas Clouds. http://burro.astr.cwru.edu/Academics/Astr221/LifeCycle/jeans.html (Accessed 2015-08-20).

 

NULL

NULL

NULL

NULL

NULL

NULL

``

``