Application Center - Maplesoft

App Preview:

Pole Locations and Performance Characteristics

You can switch back to the summary page by clicking here.

Learn about Maple
Download Application




Pole Locations & Performance Characteristics

 

The location of a pole in the s-plane can be mapped out in either rectangular coordinates (x+I*y), or polar coordinates r*exp(I*theta).  The figure below show graphically how the position of a pole (or zero) is typically labeled:

 

NULL

The behaviour of a system is determined by the position of the poles and zeros.

Second Order System

 

Consider the standard second order system

tf := omega[n]^2/(s^2+2*xi*omega[n]*s+omega[n]^2)

omega[n]^2/(s^2+2*xi*omega[n]*s+omega[n]^2)

(1.1)

The roots of the system can be written using the polar elements as

s = -xi*omega[n]+`&+-`(I*omega[n]*sqrt(1-xi^2)) and -xi*omega[n]+`&+-`(I*omega[n]*sqrt(1-xi^2)) = omega[n]*exp(arctan(`&+-`(sqrt(1-xi^2)/xi)))

or the rectangular elements as

s = -sigma+`&+-`(I*omega[d])

We can transition between the two sets of variables using the pair of equations:

realEqn := sigma = xi*omega[n]

sigma = xi*omega[n]

(1.2)

dampedFreqEqn := omega[d] = omega[n]*sqrt(1-xi^2)

omega[d] = omega[n]*(1-xi^2)^(1/2)

(1.3)

Time Domain Specifications

 

There are several specifications that are of interest to the controls engineer.

peakEqn := t[p] = Pi/omega[d]

t[p] = Pi/omega[d]

(2.1)

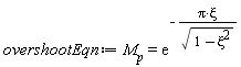
overshootEqn := M[p] = exp(-Pi*xi/sqrt(1-xi^2))

M[p] = exp(-Pi*xi/(1-xi^2)^(1/2))

(2.2)

settlingEqn := t[s] = 4.6/sigma

t[s] = 4.6/sigma

(2.3)

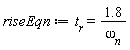
riseEqn := t[r] = 1.8/omega[n]

t[r] = 1.8/omega[n]

(2.4)

``NULL

Complex Plane and Time Domain Response

 

``

``

NULL

``

sigma =   omega[d] =

Zeta =   omega[n] =

 

NULL

Rectangular Performance Specs

Polar Performance Specs

Settling Time t[s](sigma)

``

Rise Time t[r](omega[n])

``

Time to Peak t[p](omega[d])

``

Overshoot M[p](Zeta)

``

 

NULL

``

 

© Copyright 2009, Maplesoft, a Division of Waterloo Maple Inc

This application or example has been developed for software evaluation purposes only. It may not be used for any purpose, commercial or otherwise, other than evaluating Maplesoft products with Maplesoft's express permission.   Maplesoft retains all copyright and rights to use this content in the future for any purpose including, but not limited to, marketing and promotion, commercialization, and as service to other clients.

 

NULL