Application Center - Maplesoft

App Preview:

The Three Reservoir Problem

You can switch back to the summary page by clicking here.

Learn about Maple
Download Application




The Three Reservoir Problem

Introduction

Three reservoirs at different elevations are connected through a piping network at a single point, with an outflow from the common junction.  This application will calculate the flowrates, flow directions and head at the common junction.  This is a classic problem in hydraulic engineering. Through an understanding of the concepts associated therein, many hydraulic challenges can be solved.

 

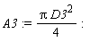
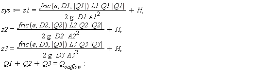
The Bernoulli equation (ignoring the losses associated with pipe fittings) for Reservoir 1 is

 

 ,  

 

where z1 is the resevoir elevation, f1 is the friction factor, L1 and D1 are the pipe length and diameter, V1 is the liquid velocity and H is the head at the common junction.  However, since flow can be either into or out of a reservoir (i.e. a positive or negative velocity), we rewrite the Bernoulli equation thus

 

.

 

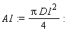
Similar equations can be defined for the other reservoirs.  These equations, along with the continuity equation,

 

,

 

 and a correlation for the friction factor, can be used to find the flowrates, flow directions and the head at the junction.

 

Parameters

Liquid viscosity and density

Reservoir elevations

Lengths, diameters and cross-sectional areas of pipes connecting reservoirs to junction

Relative roughness of pipe

Outflow from junction

Gravitional constant

Friction Factor

This procedure will return the laminar friction factor if the Reynolds number is below 2500, or the turbulent friction factor otherwise (with the Haaland equation)

Bernoulli Equations for the Three Reservoir System

Bernoulli analysis of system

Calculations of flowrates, flow directions and head at junction

Positive flowrates indicate flow out of a reservoir, while negative flowrates indicate flow into a reservoir.

(5.1)