Application Center - Maplesoft

App Preview:

Classroom Tips and Techniques: Yet More Gems from the Little Red Book of Maple Magic

You can switch back to the summary page by clicking here.

Learn about Maple
Download Application




 

Classroom Tips and Techniques:  Yet More Gems from the Little Red Book of Maple Magic

Robert J. Lopez

Emeritus Professor of Mathematics and Maple Fellow

Maplesoft

Introduction

Each of the previous two articles contained five "gems" from my Little Red Book of Maple Magic, a red ring-binder in which I record those wonderful bits of Maple functionality that I glean from interacting with the Maple programmers in the building. This month, I'm sharing yet another five gems.

Gem 11 - Picard Iterates

A basic existence and uniqueness theorem for the initial value problem , is based on the convergence of the Picard iterates . For example, the initial value problem


 

whose solution is

has Picard iterates given by the task template in Table 1.

Tools_Tasks_Browse

Differential Equations_ODEs_Picard Iterates

Picard Iterates for the IVP  

The function 

(2.1)

Set   

(2.2)

Set

(2.3)

Number of iterates

(2.4)

Picard Iterates



(2.5)

 

Table 1   Picard iterates for  

The limit of these iterates is not easy to deduce. However, the guessgf function in the gfun package provides the following resolution, which is the essence of this gem.

 

Experiment shows that  is the first iterate for which guessgf can determine the exact solution.

Gem 12 - Combining Radicals

The task template in Table 2 implements the command interface(imaginaryunit=i); that sets  in place of the default . Clicking the OK button collapses the display.

 

Tools_Tasks_Browse

Algebra_Complex Arithmetic_Set Imaginary Unit

Notation for Imaginary Unit  

Table 2   Task template for setting the imaginary unit

 

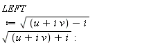
For real , is an identity. One way to verify this algebraically in Maple is

 

 =

because evalc treats all names as real, even though throughout the rest of Maple names are assumed to be complex. However, it is not obvious that this equation is an identity over a certain portion of the complex plane. Figures 1 and 2 demonstrate one method of determining this region. Figure 1 is a graph of the real part of the difference between

 


and


while Figure 2 is a graph of the imaginary part of the difference.

 

Figure 1   Real part

Figure 2   Imaginary part

 

Aligning Figures 1 and 2 show that the real and imaginary parts of the difference between the left and right sides of the equation are zero over the "T-shaped" region that is the union of the right-half plane (open along the imaginary axis), the semi-infinite strip , the line  and the line .

 

The gem is the use of graphs of the real and imaginary parts of a complex expression to determine its behavior over the complex plane. In this instance, because the validity of an equality is being tested, a single graph of magnitude of the difference  would lead to the same conclusion.

Gem 13 - A Factoring Trick

By hand, it is trivial to factor  as . Simply factor the first three terms, ignoring the additive . In fact, my first attempts at this amounted to subtracting the , factoring, then adding back the . However, my colleagues provided the gem

 

 =

The collect command admits as an argument, a function that is to be applied to the coefficients after collection takes place. Using collect to apply factor to the first three terms is, indeed, a gem.

Gem 14 - A Sum-to-Product Trig Identity

For a basic trig identity such as

 

 

Maple converts the left side to the right via

 

 =

and the right side to the left via

 

 =

However, for the identity

 

Maple converts the right side to the left via

 

 =

but struggles to convert the left side to the right. Table 3 summarizes calculations suggested for the conversion of the sum to the product.

 

Table 3   Conversion of a trig sum to a product

Alternatives I hope my readers explore include applyrule and simplify (with side relations). I'll be sure to include (with attribution and admiration), the best of these in my Little Red Book.

 

Gem 15 - Sort Strategies

Over the years, I've dabbled with the sort command, using it to sort lists or real numbers, polynomials, and lists containing both real and complex numbers. Here's a summary of what I've learned about sort.

 

By default, sort can sort real numbers that are of type numeric. A number such as  is not of type numeric! (The following command verifies this assertion.)

 

 =

 

Hence, sort will not work on a list containing such exact expressions. Table 4 shows two lists, one with, and one without numbers that are all of type numeric. The sort command works naively on the first, but requires an auxiliary function for the second. For the second list, the second argument to sort must be a function that returns true if a comparison between two elements is ordered "correctly" and false if not.

Table 4   Sorting lists of real numbers

Sorting a list containing both real and complex numbers presents more of a challenge. Of course, the complex field is not ordered, but if, say, the zeros of an equation are both real and complex and a unique ordering of these zeros is needed for the continuing computations, then some method of sorting the list of zeros has to be devised. Suppose the zeros are to be sorted in ascending order of the real parts, and if there are zeros with the same real part but different imaginary parts, sort these in ascending order of the imaginary part. This would give a unique order of such a list of zeros.

 

The procedure  defined below is a function that implements the appropriate comparisons.


 

If we use this function to sort the list

 

we get

 

Sorting the powers in a polynomial is actually easier than sorting "numbers", as we see in the following example.

 

 

Sorting a list of reciprocal powers of , such as

 

yields to a sort on degree (here, negative integers), as we see from

 

(6.1)

Legal Notice: © Maplesoft, a division of Waterloo Maple Inc. 2011. Maplesoft and Maple are trademarks of Waterloo Maple Inc. This application may contain errors and Maplesoft is not liable for any damages resulting from the use of this material. This application is intended for non-commercial, non-profit use only. Contact Maplesoft for permission if you wish to use this application in for-profit activities.