Application Center - Maplesoft

App Preview:

Coon's Patch Examples

You can switch back to the summary page by clicking here.

Learn about Maple
Download Application




Coon's Patch Examples

 

Hakan Tiftikci
Turkey
htiftik@yahoo.com

Introduction

 

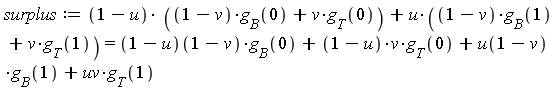
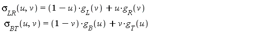
Coon's patch defines a surface by 4 curve segments that are connected in end-to-end, forming a closed curve chain. For left, right, bottom, top boundary curves denoted by  , convex sum (blending) defines two lofting surfaces from  to  and  to  .

First patch  interpolates  and second patch   interpolates  Adding two patches

 

and evaluating at boundaries yields


 

this shows that left boundary curve of   , which is sought to be has extra term that can be modelled by Expanding yields

 

from symmetry, there is no need to perform same procedure for other direction (~ bottom,right). The final form of patch to interpolate all four curves is

 

Initialization

 

 

Definitions

 

3D Coon's Patch Example

 

Define control points for 4 boundary curves

Define 4 Bezier curves

(3.1)

plot corner curves

 

Plot control points for four corner curves

Define Coon's patch

(3.2)

Plot defined Coon's patch

 

 

 

2D Coons Patch example-1

 

 

Define control points

Define corner curves

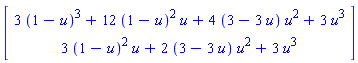
(4.1)

Define Coon's patch

(4.2)

plot 2D patch

plot corner curves

plot corner curves and surface

 

 

 

 

 

2D Coons Patch example-2 : square net with equally rotationg tangents

 

Define control points

Define corner curves

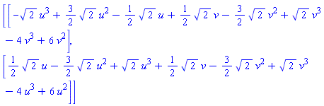
(5.1)

Define Coon's patch

(5.2)

 

 

(5.1.1)

plot corner curves

plot corner curves and surface

 

plot 2D patch

 

animation for the sweep of tangent angle

 

 

 

2D Coon's Patch example-3 : grid generation for nozzle like geometry

 

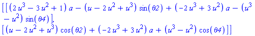
Define control points



(6.1)

Define corner curves

(6.2)

Define Coon's patch

(6.3)

plot 2D patch

 

 

 

Legal Notice: © Maplesoft, a division of Waterloo Maple Inc. 2009. Maplesoft and Maple are trademarks of Waterloo Maple Inc. Neither Maplesoft nor the authors are responsible for any errors contained within and are not liable for any damages resulting from the use of this material.  This application is intended for non-commercial, non-profit use only. Contact the authors for permission if you wish to use this application in for-profit activities.