Do not display this message again
Close window
Classroom Tips and Techniques: Branch Cuts for a Product of Two Square-Roots - Maple Application Center
Contact Maplesoft
Request Quote
Products
Maple
Powerful math software that is easy to use
• Maple for Academics
• Maple for Students
• Maple Learn
• Maple Calculator App
• Maple for Industry and Government
• Maple for Individuals
Maple Add-Ons
• E-Books & Study Guides for Students
• Maple Toolboxes
• MapleNet
• Free Maple Player
Math Success Platform
Improving Retention Rates
Maple Flow
Engineering calculations & documentation
• Maple Flow
• Maple Flow Migration Assistant
MapleSim
Advanced System Level Modeling
• MapleSim
• MapleSim for Web Converting Systems
• MapleSim for Digital Twins
• MapleSim for Education
• Add-on Libraries and Connectors
• MapleSim Insight
Consulting Services
• Engineering Services
• Training
• Turnkey Solutions
Maple T.A. and Möbius
Looking for Maple T.A. or Möbius?
DigitalEd, a Maplesoft technology partner, now offers these products. Learn more.
Solutions
Education
• Mathematics Education
• Engineering Education
• High Schools & Two-Year Colleges
• Students
• Remote Learning Resources
Industries
Automotive and Aerospace
• Electric & Hybrid-Electric Vehicles
• Powertrain
• Vehicle Dynamics
• Heavy Mobile Machinery
• Aircraft Systems
• Space Systems
Robotics
• Robotics Research
• Motion Control/Mechatronics
Machine Design & Industrial Automation
• Machine Design
• Manufacturing
• Mining & Oil Production Equipment
• Web Handling
Other
• Power Industries
• Finance
• Medical Devices
• Life Sciences
Application Areas
• Power Systems Engineering
• Electrical Engineering Calculations
• Mechanical Engineering Calculations
• System Simulation & Analysis
• Virtual Commissioning
• Battery Modeling and Design
• Heat Transfer Modeling
• Dynamic Analysis of Mechanisms
• Calculation Management
• Model development for HIL
• Vibration Analysis & Attenuation
Purchase
Product Pricing
• Maple
• Maple Flow
• MapleSim
• Add-Ons and Connectors
• Request a Quote
Purchasing
• Purchase & Download Immediately
• Upgrade to the Latest Version
• Contact Sales
Institutional Student Licensing
• Virtualization
• Student Licensing & Distribution Options
Maplesoft Elite Maintenance (EMP)
• EMP Overview
• EMP FAQ
Support & Resources
Support
• Tech Support & Customer Service
• Frequently Asked Questions
• Product Documentation
• Download Product Updates
Product Training
• Student Help Center
• Online Product Training
• On-Site Training
Online Product Help
• Maple Online Help
• MapleSim Online Help
Webinars & Events
• Live Webinars
• Recorded Webinars
• Upcoming Events
Publications
• Technical Whitepapers
• E-Mail Newsletters
• Maple Books
• Math Matters
Content Hubs
• Teacher Resource Center
• Student Help Center
• Remote Learning Resources
Examples & Applications
• Maple Application Center
• MapleSim Model Gallery
• User Case Studies
• Exploring Engineering Fundamentals
• Teaching Concepts with Maple
Community
• MaplePrimes
• MapleCloud
• Maple Conference
Company
About Maplesoft
• Company Overview
• Management
• Customers
• Partnerships and OEM Opportunities
Media Center
• Media Releases
• User Case Studies
• Media Coverage
User Community
• MaplePrimes
• Maple Ambassador Program
• Maple Conference
Contact
• Global Contact Details
• Careers
Home
Products
Maple
Maple Add-Ons
Maple Learn
Maple Calculator App
Maple Flow
MapleSim
MapleSim Add-Ons
Consulting Services
Online Education Products
Solutions
Education
Industries
Application Areas
Purchase
Product Pricing
Purchasing
Institutional Student Licensing
Maplesoft Elite Maintenance (EMP)
Support & Resources
Support
Product Training
Online Product Help
Webinars & Events
Publications
Content Hubs
Examples & Applications
Community
Company
About Maplesoft
Media Center
User Community
Contact
Toggle navigation
Sign in
Register
Submit your work
Application Center
Applications
Classroom Tips and Techniques: Branch Cuts for a Product of Two Square-Roots
Classroom Tips and Techniques: Branch Cuts for a Product of Two Square-Roots
Author
:
Dr. Robert Lopez
0
Download
PDF Preview
This Application runs in Maple.
Don't have Maple? No problem!
Try Maple free for 15 days!
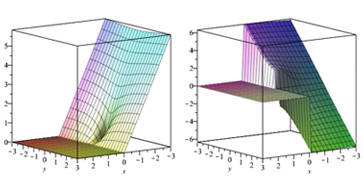
Naive simplification of f(z) = sqrt(z - 1) sqrt(z + 1) to F(z) = sqrt(z
2
- 1) results in a pair of functions that agree on only part of the complex plane. The enhanced ability of Maple 18 to find and display branch cuts of composite functions is used in this article to explore the branch cuts and regions of agreement/disagreement of f and F.
Application Details
Publish Date
:
November 11, 2014
Created In
:
Maple 18
Language
:
English
Share
Copy URL
Tweet
This application is in the following
Collection
:
Maple Tips & Techniques
Add to a Collection
You must be logged in to add to a collection
Tags
complex-analysis
More Like This
Classroom Tips and Techniques: Roles for the Laplace Transform's Shifting Laws
Dr. Robert Lopez
2
calculus
Classroom Tips and Techniques: Norm of a Matrix
Dr. Robert Lopez
4
algebra
precalculus
relativity
economics
calculus
Classroom Tips and Techniques: Fitting Circles in Space to 3-D Data
Dr. Robert Lopez
1
optimization
optimization
calculus
linear-algebra
Classroom Tips & Techniques: A First Look at Convolution
Dr. Robert Lopez
4
calculus
Classroom Tips and Techniques: Estimating Parameters in Differential Equations
Dr. Robert Lopez
3
geometry
Classroom Tips and Techniques: Fixed-Point Iteration
Dr. Robert Lopez
3
relativity
calculus
Classroom Tips and Techniques: Linear ODEs and the Method of Undetermined Coefficients
Dr. Robert Lopez
5
Classroom Tips and Techniques: Multiple Integrals in Maple
Dr. Robert Lopez
12
relativity
calculus
calculus
Classroom Tips and Techniques: Line Integrals for Work, Circulation, and Plane Flux
Dr. Robert Lopez
7
relativity
calculus
vector-calculus
Classroom Tips and Techniques: Fitting an Ellipse to Noisy Data
Dr. Robert Lopez
5
Classroom Tips and Techniques: Formal Series Solutions of ODEs
Dr. Robert Lopez
3
Classroom Tips & Techniques: Dot and Cross Products
Dr. Robert Lopez
1
calculus
×
Create a Collection
Name:
Description (optional):
Collections
×
Collections are user-defined, publicly available groups of applications. Add applications to your own Collections, and share them with other Maple users.