Saturated Inductor with Hysteresis – Multibody, Multi-Domain Physical Model in MapleSim – Maplesoft

Saturated Inductor with Hysteresis

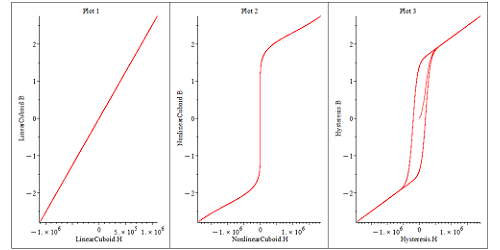
This model demonstrates the effects of the magnetization characteristic of soft magnetic material as used in an inductor.
There are 3 models to compare the approaches with linear, nonlinear or hysteresis characteristics.

This model was created with MapleSim 2022.2
Close

Download this MapleSim model

This model requires MapleSim. If you do not have MapleSim, contact us for a live demonstration.

  • How this model works and how it was developed
  • How this model can be modified to fit your requirements
  • How we can assist you in developing your own models to solve your engineering design problems

Let Maplesoft Engineering Solutions provide you with the expertise and tools you need to meet your project requirements quickly and effectively. Ask our experts today!

Contact us today


If you have MapleSim, download the model here:

Download the Model

Close

Request an S-Function

MapleSim Models can be readily exported as royalty-free S-functions. To request the S-function corresponding to this model, please fill in the form below.


Model: Saturated Inductor with Hysteresis
Industry:

Submitting form...

Thank you for requesting the S-Function. Your request has been received and you can expect to hear from us shortly. Close Window
Oops! There was a problem. Try again later Close Window
Model Images
  • model A model diagram of the system
  • plots Results